MDstuds

2008 - Основна сесія

2008 - Основна сесія
Питань: 194
194:00
Питання 1 з 194
Питання 1
Хворий 56-ти років скаржиться на біль суглобів кистей рук, в основному у нічний час, обмеження рухів. Об’єктивно: має місце деформуюча, болюча припухлість уражених суглобів. В крові і сечі виявлено підвищений вміст сечової кислоти. Яке захворювання розвинулось у хворого?
Питання 2
Який ступінь окиснення центрального атому в сполуці H[AuCl4]?
Питання 3
Під час надування повітряних кульок хлопець робив максимально глибокі та тривалі вдихи і видихи. Через деякий час в нього виникло легке запаморочення. Яка вірогідна причина цього явища?
Питання 4
Перетравлення білків у травному трактікомплексний процес їх гідролізу до пептидів і вільних амінокислот. Назвіть ферменти, що розщеплюють білки в дванадцятипалій кишці:
Питання 5
Встановлено, що у залежності від pH клітинного соку, синє-фіолетове забарвлення пелюсток квітки змінюється до рожевого чи блідо-рожевого, що зумовлено наявністю:
Питання 6
Чому дорівнює максимальна валентність нітрогену з урахуванням донорно-акцепторного механізму утворення ковалентного зв’язку?
Питання 7
При виробництві лікарських препаратів їх вихід можна підвищити при правильному виборі температурного режиму. Яке рівняння встановлює залежність константи рівноваги від температури при постійному тиску?
Питання 8
Зображення до питання
Наведена реакція називається реакцією:
Питання 9
До інфекційного відділення госпіталізовано хворого з попереднім діагнозом "гострий гастроентерит". При посіві випорожнень на вісмут-сульфітний агар виросли чорні колонії з металевим блиском. Який збудник висіяний найбільш вірогідно?
Питання 10
Під час дослідження гербарних зразків лікарських рослин визначили, що одна з них належить до сімейства Asteraceae. Ця рослина:
Питання 11
У хворого обструктивний тип дихальної недостатності. Назвіть захворювання, при якому настає така дихальна недостатність:
Питання 12
Пацієнт зробив максимальний вдих. Як називається об’єм повітря, який знаходиться в легенях за цих умов?
Питання 13
Зображення до питання
За замісниковою номенклатурою IUPAC дана сполука має назву:
Питання 14
При дії диметилгліоксиму на розчин, що містить катіони VI аналітичної групи (кислотно-основна класифікація) спостерігали малинове забарвлення осаду. Який катіон обумовив цей аналітичний ефект?
Питання 15
Зображення до питання
Серед наведених сполук вкажіть сіль діазонію:
Питання 16
Приготували 0,05 М розчин Трилону Б. Вкажіть речовину-стандарт для стандартизації цього розчину:
Питання 17
У фармацевтичній практиці широко використовують виготовлення ліків у вигляді колоїдно-дисперсних систем. Який метод одержання золів відноситься до фізичної конденсації?
Питання 18
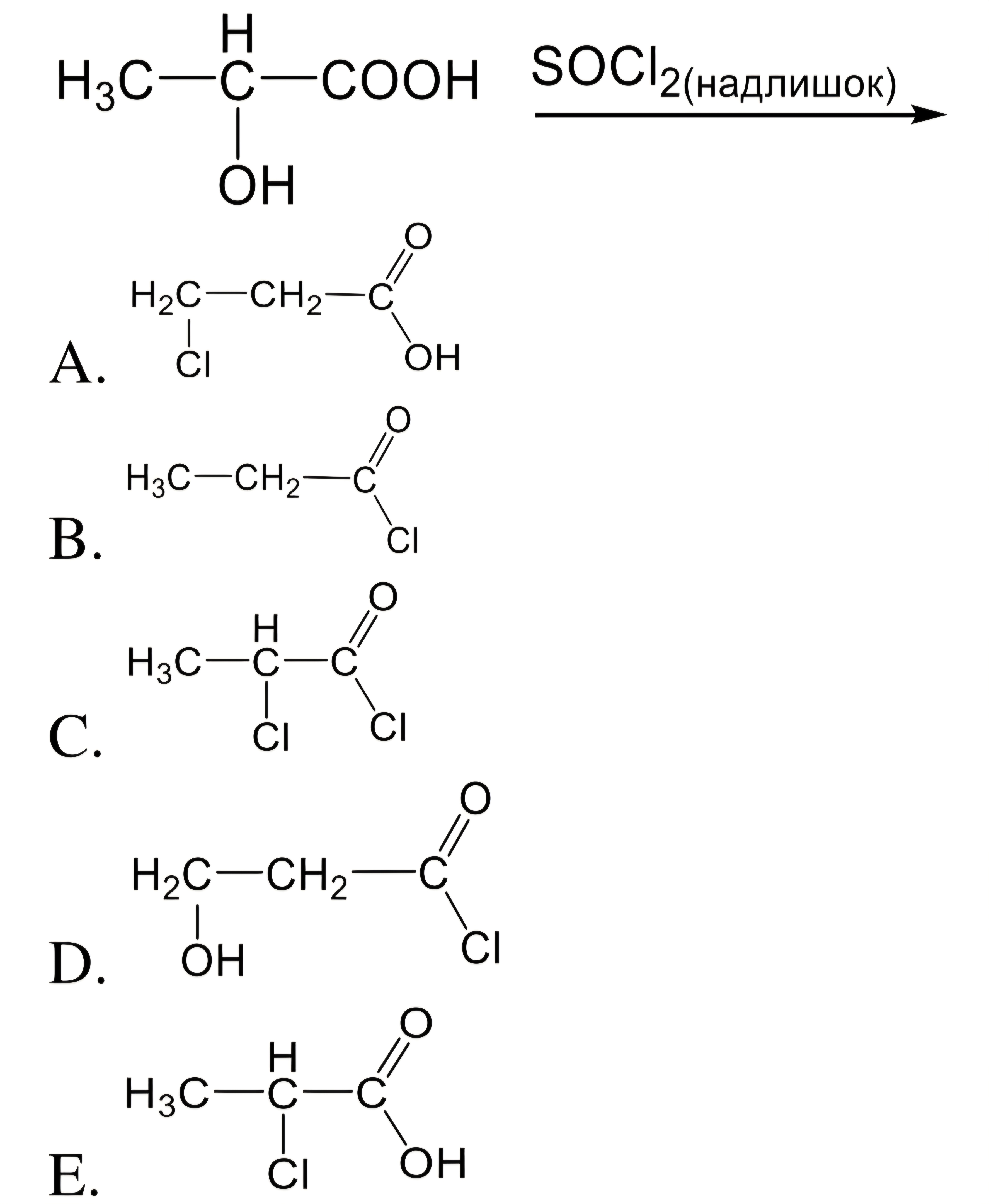
Зображення до питання
Вкажіть сполуку, що утворюється при взаємодії молочної кислоти з надлишком SOCl2:
Питання 19
Зображення до питання
Яка назва відповідає наведеній формулі?
Питання 20
Синтез гормонів стероїдної природи відбувається з попередника, що містить циклопентанпергідрофенантренове кільце. Назвіть цей попередник:
Питання 21
Для визначення нітрат-аніонів до досліджуваного розчину додали дифеніламін. При цьому спостерігається:
Питання 22
За правилом Шульце-Гарді на коагулюючу дію іона-коагулянта впливає:
Питання 23
Який медіатор забезпечує передачу інформації з нервових закінчень мотонейронів на волокна скелетних м’язів?
Питання 24
У людини у складі шлункового соку знижений вміст ферментів. Функція яких секреторних клітин шлунка порушена?
Питання 25
При високій температурі зовнішнього середовища в сухому кліматі посилюється тепловіддача шляхом:
Питання 26
У дитини в ділянці опіку спостерігається гіперемія шкіри, невеличкі пухирці, заповнені прозорою рідиною. Якого характеру рідина в пухирцях?
Питання 27
У перетравленні жирної їжі беруть участь декілька травних соків. Який з них забезпечує емульгування жирів?
Питання 28
У досліджуваній суміші знаходяться катіони феруму (III) та купруму (II). Дією якого групового реагенту можна розділити названі катіони:
Питання 29
Серед перелічених водних розчинів лікарських речовин, моляльність яких складає 0,1 моль/кг, максимальне збільшення температури кипіння відповідає розчину:
Питання 30
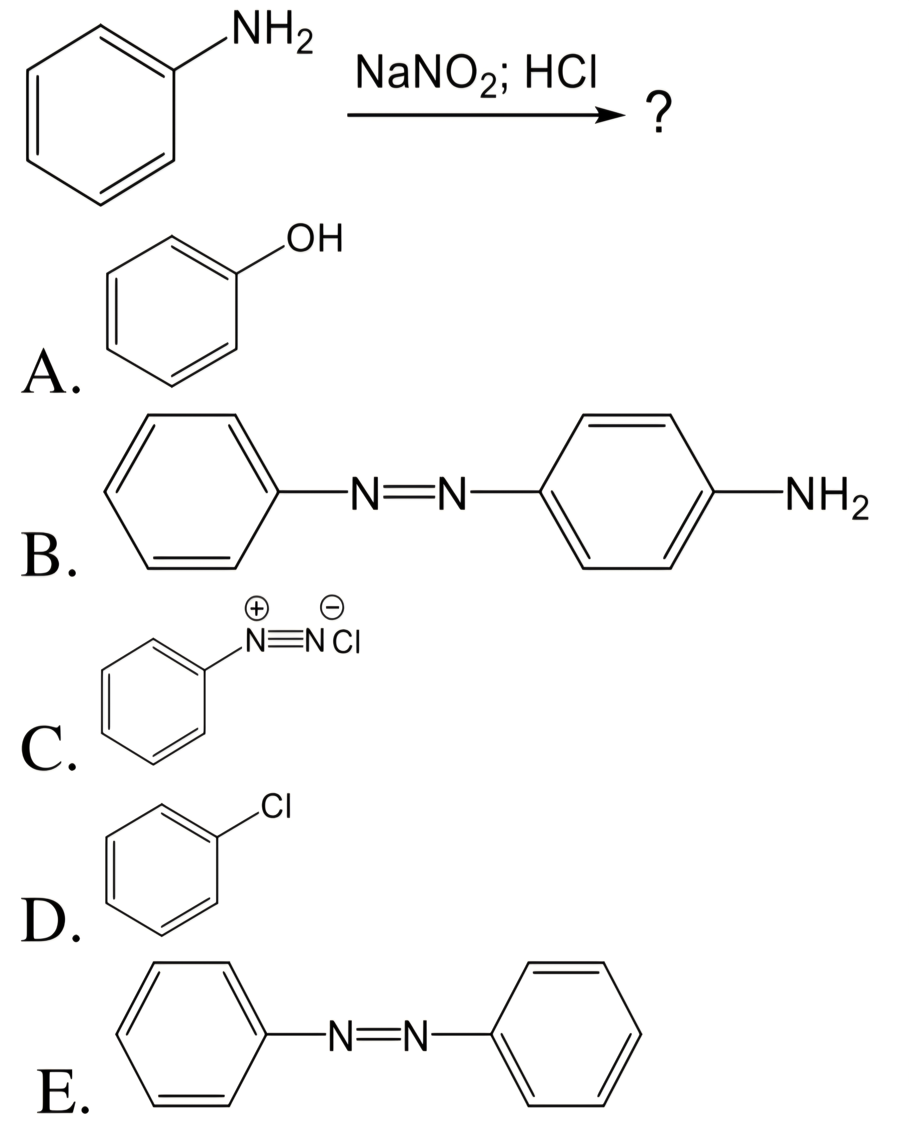
Зображення до питання
Яка сполука утворюється при взаємодії аніліну з нітритною кислотою?
Питання 31
В результаті реакції надлишку меркурію з розведеною нітратною кислотою виділяється газ:
Питання 32
Відомо, що травлення білків, жирів та вуглеводнів здійснюється за допомогою, відповідно, протеаз, ліпаз та амілаз. У якому із травних соків містяться всі три групи ферментів у достатній для травлення кількості?
Питання 33
У хворого, що тривало хворіє на виразкову хворобу шлунка, відзначається різке виснаження, блідість шкіри, слабкість, втрата апетиту, відраза до м’ясної їжі. При біопсії слизової шлунка виявлений клітинний атипізм. Для якої патології характерні дані симптоми ?
Питання 34
Класифікація антибіотиків здійснюється за різними принципами. До якої з перерахованих груп, за механізмом дії, відносяться цефалоспорини?
Питання 35
Оберіть реагент, який можна використати для отримання пропанолу - 2 з ацетону
Питання 36
При морфологічному аналізі суцвіття встановлено, що його квітки прикріплені до однієї вісі на різних рівнях, але за рахунок різної довжини квітконіжок розташовані в одній площині і утворюють:
Питання 37
Зображення до питання
Яка сполука утворюється при відновленні метилетилкетону?
Питання 38
Перманганатометрично визначають H2O2 у сильно кислому середовищі. За допомогою якої кислоти можна створювати середовище при перманганатометричному визначенні?
Питання 39
Зараження куриних ембріонів є основним методом виділення вірусу грипу. Для пригнічення супутньої бактеріальної флори у досліджуваному матеріалі (змиві з носоглотки) до нього попередньо додають:
Питання 40
У хворого жовтяницею встановлено: підвищення у плазмі крові вмісту непрямого (вільного) білірубіну, в калі і сечі - високий вміст стеркобіліну, рівень прямого (зв’язаного) білірубіну в межах норми. Який вид жовтяниці має місце у хворого?
Питання 41
При мікроскопічному дослідженні первинної кори кореня у всисній зоні виявлено, що основну її масу складає багатошарова жива пухка паренхіма з крохмальними зернами. Це:
Питання 42
Введення хворому глюкокортикоїдів призводить до підвищення рівня глюкози в крові. Який з наведених процесів активується при цьому в печінці?
Питання 43
До досліджуваного розчину додали розчин хромату калію. Випав осад жовтого кольору, який не розчиняється в оцтовій кислоті. Це свідчить, що у досліджуваному розчині присутні катіони:
Питання 44
В якісному аналізі при дії надлишку групового реагенту (розчин гідроксиду натрію) на катіони IV аналітичної групи, іони хрому (III) утворюють:
Питання 45
При фармацевтичному синтезі застосовують прості і складні реакції. Вкажіть порядок простої реакції виду 2A + B = 3D:
Питання 46
Фермент гіалуронідаза розщеплює гіалуронову кислоту, в результаті чого підвищується міжклітинна проникність. Який вітамін сприяє укріпленню стінок судин і гальмує активність гіалуронідази?
Питання 47
Піддослідному собаці через зонд у порожнину шлунка ввели 150 мл м’ясного бульйону. Вміст якого гормону швидко збільшиться у крові тварини внаслідок цього?
Питання 48
Позитивно заряджений золь гідроксиду феруму отриманий методом гідролізу. Який з іонів-коагулянтів матиме найменший поріг коагуляції?
Питання 49
Які розлади можливі при недостатності функції щитоподібної залози в ранньому дитячому віці?
Питання 50
Під час мікроскопії листа на зубчиках виявлені водяні вічка, які є пристосуванням для виділення крапельно- рідкої вологи, тобто здійснюють процес:
Питання 51
Трав’яниста рослина, що досліджується, має членисті молочники з анастомозами, заповнені білим латексом, що характерно для:
Питання 52
Під час санітарно-бактеріологічного дослідження повітря в приміщенні аптеки встановлено підвищений вміст санітарно-показових мікроорганізмів. Які це мікроорганізми?
Питання 53
Під час електронної мікроскопії в клітині зафіксовано деструкцію мітохондрій. Про порушення яких процесів це свідчить?
Питання 54
До якого класу органічних сполук можна віднести продукт повного ацетилювання гліцерину?
Питання 55
До якого типу відноситься електрод, складений за схемою Au3+| Au?
Питання 56
Зображення до питання
Назвіть продукт складноефірної конденсації ацетальдегіду (реакції Тищенка):
Питання 57
Дихромат калію K2Cr2O7 використовують у якості окислювача у кислому середовищі. Вкажіть продукт відновлення дихромат-іону Cr2O2− у цих умовах:
Питання 58
На фармацевтичному виробництві процеси синтезу лікарських препаратів відбуваються за різних умов. У якому процесі ентропія не змінюється?
Питання 59
У хворого на хронічну форму серцевої недостатності з’явились набряки м’яких тканин гомілок. Який із патогенетичних факторів набряку є провідним у даному випадку?
Питання 60
У однорічної рослини родини Asteraceae листки трироздільні, кошики верхівкові з трубчастими квітками, сім’янки пласкі, чіпкі, завдяки наявності 2-3-х щетинистих зубців. Це:
Питання 61
При високій температурі навколишнього середовища вентилятор полегшує перебування в приміщенні, оскільки збільшує тепловіддачу шляхом:
Питання 62
Вкажіть пару речовин, які можна застосовувати для стандартизації 0,1 М розчину KMnO4:
Питання 63
За яких умов обмежене набрякання желатину переходить у необмежене (утворення розчину)?
Питання 64
До колоїдно-дисперсних відносяться системи, розмір частинок яких знаходиться у межах:
Питання 65
Пацієнт 54-х років після значного психоемоційного напруження раптово відчув сильний біль за грудниною з іррадіацією в ліву руку, лівий бік шиї, страх смерті, він вкрився холодним потом. Прийом нітрогліцерину вгамував біль. Назвіть розлад місцевого крово- обігу в серці, який найбільш вірогідно розвинувся в даному випадку:
Питання 66
На плантації лікарських рослин поширилося захворювання, при якому на листях утворюються жовті плями і ділянки некрозу. Сік хворих рослин зберігає інфекційність під час проходження через бактеріальний фільтр, але при його посіві на поживні середовища ріст збудника не виявляється. До якої групи фітопатогенних мікроорганізмів, найбільш вірогідно, належить збудник цього захворювання?
Питання 67
Катіони третьої аналітичної групи (кислотно-основна класифікація) відокремлюють у систематичному ході аналізу за допомогою такого групового реагенту:
Питання 68
Лист з плівчастим розтрубом захоплює основу міжвузля і є видозміненням прилистків, що може бути діагностичною ознакою родини:
Питання 69
У пагона апікальна брунька рано припиняє свій розвиток, а ріст забезпечують дві бічні бруньки, розміщені супротивно під верхівковою. Таке галуження пагона:
Питання 70
При дослідженні лікарських речовин застосовується потенціометричний метод визначення pH. Який з електродів можна використовувати як індикаторний при вимірюванні pH розчину?
Питання 71
Золь - одна з лікарських форм. Що відбувається при зливанні золів з протилежно зарядженими гранулами?
Питання 72
Гем (складова частина гемоглобіну ) є комплексною сполукою феруму. До якого типу комплексних сполук він належить?
Питання 73
Рослинну сировину слід обстежити на наявність в ній дріжджеподібних грибів. Яке середовище слід використати для того, щоб забезпечити розвиток даного виду мікроорганізму, але щоб при цьому супутня мікрофлора не виростала або росла дуже повільно?
Питання 74
Встановлено, що у лікарському препараті, що призначений для прийому всередину, міститься більше 1 млрд. живих мікробних клітин в 1 мл, але препарат був визнаний придатним для використання. До якої групи препаратів він відноситься?
Питання 75
Для кількісного визначення лікарських речовин використовують метод ацидиметрії, титрантом якого є вторинний стандартний розчин хлоридної кислоти. За якою сполукою встановлюють точну концентрацію хлоридної кислоти?
Питання 76
При зменшенні у харчовому раціоні вітаміну B6 спостерігаються порушення в обміні білків. Зниження активності яких біохімічних процесів буде спостерігатися в організмі хворого?
Питання 77
Зображення до питання
Трифенілметан відноситься до:
Питання 78
Дитина 13-ти років скаржиться на поганий апетит, біль у правому підребер’ї. При мікроскопічному дослідженні дуоденального вмісту виявлені грушоподібні великі клітини з двома ядрами. Який мікроорганізм виявлено?
Питання 79
Людині для покращення травлення жирної їжі призначено препарат жовчі. Які компоненти даного препарату зумовлять емульгування жирів?
Питання 80
Анатомо-гістохімічний аналіз черешка показав, що під епідермою над пучком розташовані живі паренхімні клітини з целюлозними оболонками, які потовщені по кутах клітин. Це характерно для:
Питання 81
Фітопатогенні мікроорганізми відносяться до різних груп. Яка з них найчастіше викликає захворювання лікарських рослин?
Питання 82
Яка з наведених основ є слабким електролітом?
Питання 83
На зрізі кореня Helianthus annuus виявлена вторинна пучкова будова, це означає, що зріз зроблено в зоні:
Питання 84
Перманганат калію KMnO4 використовують у медичній практиці як бактерицидний засіб. Вкажіть, які хімічні властивості KMnO4 обумовлюють його бактерицидність:
Питання 85
Зображення до питання
Вкажіть, у присутності якого з замісників Х бромування перебігає з утворенням трибромпохідного?
Питання 86
Тиреоїдні гормони належать до похідних амінокислот. Яка з амінокислот лежить в основі структури цих гормонів?
Питання 87
При перевірці стану повітря в аптечному приміщенні, де виготовляються ін’єкційні форми ліків, седиментаційним методом виявлено 5 дрібних округлих колоній, навколо яких чітко видно зону гемолізу. На яке середовище зроблено посіви?
Питання 88
Водорозчинні вітаміни в організмі перетворюються у коферментні форми. Коферментною формою якого вітаміну є тіаміндифосфат (ТДФ)?
Питання 89
Аналітичною ознакою дії розчину йодиду калію на безбарвні аніони- окисники у присутності хлороформу є:
Питання 90
Який осмотичний тиск повинен мати розчин, що використовується в медицині як ізотонічний розчин?
Питання 91
Один з соковитих плодів, що аналізується, має ефіроолійний екзокарпій, губчастий мезокарпій, та розрослий ендокарпій, який складається з сокових мішечків. Який плід аналізували?
Питання 92
При альбінізмі в організмі не відбувається утворення пігменту меланіну. З порушенням метаболізму якої амінокислоти пов’язано виникнення цього захворювання?
Питання 93
При визначенні хлоридів у питній воді застосовують метод меркуриметрії. Як титрант використовують розчин:
Питання 94
Біологічна система (живий організм) обмінюється з навколишнім середовищем речовиною і енергією. До яких систем вона може бути віднесена?
Питання 95
За допомогою якого реагенту можна відрізнити гліцерин від етанолу ?
Питання 96
Встановлено, що у кореневищі і коренях Inula helenіum мають місце порожнини без чітких внутрішніх меж, заповнені ефірними оліями. Це:
Питання 97
Хворий скаржиться на кровоточивість ясен, точкові крововиливи. Який вітамінний препарат можна рекомендувати у даному випадку?
Питання 98
До інфекційної лікарні надійшов пацієнт з діагнозом "ботулізм". Який препарат слід застосувати для лікування у першу чергу?
Питання 99
Які катіони з розчином йодиду калію утворюють оранжево-червоний осад, що розчиняється у надлишку реагенту з утворенням безбарвного розчину?
Питання 100
При додаванні розбавленого розчину хлороводневої кислоти до розчину, що аналізується, утворився білий сирнистий осад. Про присутність яких іонів це свідчить?
Питання 101
У чоловіка біль у правому підребер’ї, калахолічний. Знебарвлення калових мас у даного пацієнта зумовлене відсутністю в них:
Питання 102
Вкажіть тип реакції, яка застосовується для виявлення катіона Fe3+:
Питання 103
Відібраний монокарпний однонасінний плід, у якого ендокарпій твердий, склерифікований, а мезокарпій - соковитий. Це:
Питання 104
Якісною реакцією для визначення сполук Cr(V I) є утворення оксиду-дипероксиду хрому, що забарвлює шар ефіру в блакитний колір. Вкажіть формулу цієї сполуки хрому:
Питання 105
Як називається емульсія, частинки дисперсної фази якої є деформованими і мають вигляд поліедрів?
Питання 106
Оберіть відповідний індикатор для фіксування кінцевої точки титрування в методі броматометрії:
Питання 107
У дитини внаслідок попадання гарячої води на руку виник опік. Шкіра на місці опіку яскраво-червона. Яке порушення місцевого кровообігу виникло на місці опіку?
Питання 108
До розчину FeSO4 концентрованої H2SO4 додали розчин, що досліджується. Утворення бурого кільця вказує на присутність у розчині:
Питання 109
Який метод забезпечує надійну стерилізацію біологічних рідин (сироваток, розчинів ферментів, вітамінів тощо), які не витримують високих температур ?
Питання 110
У крові хворого виявлено підвищення активності ЛДГ1, ЛДГ2, АсАТ, креатинфосфокінази. В якому органі відзначається порушення біохімічних процесів ?
Питання 111
Дослідження суцвіття аїру болотного показало, що воно оточено криючим листом (покривалом), а дрібні сидячі квітки компактно розташовані на потовщеній м’ясистій вісі, тобто це:
Питання 112
У дитини з вираженою гіпотрофією виникли набряки на нижніх кінцівках, асцит. Якою є провідна ланка патогенезу кахектичного набряку?
Питання 113
До досліджуваного розчину додали концентровану нітратну кислоту та кристалічний диоксид плюмбуму. Розчин набув малинового кольору. На присутність якого катіону вказує цей аналітичний ефект?
Питання 114
У рослинницькому господарстві вирощуються лікарські ефіроолійні рослини, які дико в Україні не ростуть, а саме: Mentha piperita, Ortosiphon stamineus, а також:
Питання 115
У хворого після крововиливу у мозок стали неможливими активні рухи лівих руки і ноги. Тонус м’язів цих кінцівок підвищений, їх спинальні рефлекси різко посилені, розширені зони рефлексів. Назвіть вид розладу центральної нервової системи у хворого:
Питання 116
Які з нижче перерахованих методів стерилізації при одноразовій термічній обробці об’єкта забезпечують повну загибель мікроорганізмів і їх спор?
Питання 117
У фізико-хімічній лабораторії були приготовані водні розчини сечовини, глюкози, сульфату натрію, сульфату алюмінію і бензоату натрію однакової молярної концентрації. Який з перелічених розчинів має найбільший осмотичний тиск при 298oK?
Питання 118
Яка з зазначених нижче досліджених рослин має плід - яблуко ?
Питання 119
Досліджуваний розчин лікарського препарату містить катіони магнію (II) і алюмінію (III). За допомогою якого реагенту можна розділити вказані катіони при аналізі цього препарату?
Питання 120
Під час бактеріологічного дослідження розчинів, виготовлених в аптеці, на середовищі Ендо виросли червоні колонії з металевим блиском. Які це можуть бути мікроби?
Питання 121
У чоловіка, який страждає на хронічну непрохідність кишечнику, посилюється гниття білків у товстому кишечнику. Яка токсична речовина утворюється у цьому випадку з триптофану?
Питання 122
У ефіроолійної рослини, що визначається, стебло чотиригранне, квітки з двогубим вінчиком, плід - ценобій. Ці ознаки характерні для сімейства:
Питання 123
Під час іспиту в студента підвищився артеріальний тиск та прискорилося серцебиття. Вкажіть можливу причину такого явища:
Питання 124
Чоловік 40-ка років скаржиться на загальну слабкість, головний біль, підвищення температури тіла, кашель з виділенням харкотиння, задишку. Після огляду і обстеження встановлений діагноз: вогнищева пневмонія. Який тип гіпоксії спостерігається у хворого?
Питання 125
Які зміни з боку ізольованого серця можна очікувати після введення в перфузійний розчин адреналіну?
Питання 126
У хлопчика 4-х років вміст глюкози в плазмі крові складає 12 ммоль/л. Дефіцит якого гормону може бути причиною цього?
Питання 127
Бактеріологічний контроль нестерильних лікарських засобів передбачає можливість присутності незначної кількості груп мікроорганізмів. Яких саме?
Питання 128
Потрапляння поживних речовин до бактеріальної клітини здійснюється за допомогою різних механізмів. Одним з них є полегшена дифузія, котра здійснюється особливими мембранними білками-переносниками. Як вони звуться?
Питання 129
Після повторного введення хворому пеніциліну через декілька хвилин у нього з’явилися ядуха, затерплість язика, запаморочення, гіперемія, а потім блідість шкіри. Що зумовило такий важкий стан хворого?
Питання 130
Після тривалого лікування антибіотиками у хворої в мазках із вагінального секрету виявлено клітини овальної форми з чітко диференційованим ядром, деякі клітини брунькуються. Які препарати слід застосувати для лікування у випадку підтвердження діагнозу кандидоз?
Питання 131
Сечовина є похідним карбонатної кислоти. Серед наведених назв оберіть ту, яка відповідає сечовині:
Питання 132
В процесі декарбоксилювання 5- гідрокситриптофану утворюється біогенний амін, що має судинозвужуючу дію. Назвіть даний біогенний амін:
Питання 133
Для виявлення CO2 у повітрі можна використати:
Питання 134
До підкисленого сульфатною кислотою розчину, що містить аніони третьої аналітичної групи, додали розчин йодиду калію. Спостерігається виділення вільного йоду. Які аніони присутні в розчині?
Питання 135
У хворої з хронічним гломерулонефритом при дослідженні сечі виявлені протеїнурія, гематурія, лейкоцитурія. Про порушення якого процесу у нирках свідчить протеїнурія?
Питання 136
Зображення до питання
За допомогою якого реагенту можна розрізнити наступну пару сполук?
Питання 137
В експерименті спостерігається стійке скорочення міофібрил м’язових клітин за рахунок накопичення в цитоплазмі іонів:
Питання 138
У хворого 50-ти років внаслідок тривалого нераціонального харчування розвинувся гіповітаміноз C. Зниження активності якого ферменту лежить в основі ураження сполучної тканини при цій патології?
Питання 139
За допомогою якого із реагентів можна виявити фенольний гідроксил?
Питання 140
У 0,1 М розчині якої з наведених кислот найбільша концентрація іонів гідрогену?
Питання 141
Хворому після операції призначили глікозаміноглікан, що має антикоаглянтну дію. Назвіть дану речовину:
Питання 142
Більшість технологічних процесів у фармації відбувається в гетерогенних системах. Яка кількість фаз міститься у суміші евтектичного складу при евтектичній температурі двохкомпонентної системи?
Питання 143
Суглоби хворого збільшені за розміром, мають вигляд потовщених деформованих вузлів. У крові - підвищений вміст сечової кислоти та її солей. Порушення обміну яких речовин є причиною такого стану?
Питання 144
З яким з наведених реагентів бензойна кислота вступає в реакцію по бензольному кільцю?
Питання 145
В контрольно-аналітичній лабораторії хіміку необхідно провести стандартизацію розчину гідроксиду натрію. Який первинний стандартний розчин він може для цього використати?
Питання 146
Під час проходження профілактичного медичного огляду, в одного із обстежуваних, лікар виявив значне послаблення колінного сухожилкового рефлексу. Який відділ центральної нервової системи можливо уражений?
Питання 147
Жінка 40-ка років протягом тривалого часу страждає на рясні маткові кровотечі. У крові: Hb- 90 г/л, ер.- 3, 9 · 1012/л, КП- 0,69. Яка головна причина розвитку гіпохромної анемії?
Питання 148
У хворого спостерігається брадикардія, помірно виражені гіпотензія, зниження основного обміну, набряки. Яке із порушень може спричинити такий синдром?
Питання 149
При бактеріологічному обстеженні працівників аптеки на бактеріоносійство у одного із провізорів з носоглотки були виділені бактерії роду Staphylococcus. Які морфологічні особливості розташування мікробних клітин притаманні цьому роду?
Питання 150
У пацієнта порушений сутінковий зір при збереженому денному. Яка причина вказаної аномалії зору?
Питання 151
Хворий впродовж 10-ти років хворіє на цукровий діабет. У важкому стані доставлений до лікарні. На другий день перебування у стаціонарі його стан різко погіршився: розвинулася кома, з’явилося шумне глибоке дихання, при якому глибокі вдихи змінювалися посиленими видихами за участю експіраторних м’язів. Яка форма порушення дихання спостерігається у хворого?
Питання 152
Яка речовина може бути в окисно- відновних реакціях як окисником, так і відновлювачем?
Питання 153
Хворий 58-ми років звернувся зі скаргами на стійке зростання артеріального тиску. При клінічному обстеженні у нього виявлена хронічна хвороба нирок з порушенням ренального кровотоку. Активація якої системи регуляції функцій стала причиною зростання артеріального тиску в цього хворого?
Питання 154
Один з препаратів для масового застосування одержують способом інактивації бактеріального екзотоксину формаліном. З якою метою використовують цей препарат?
Питання 155
Людина приймає блокатор М- холінорецепторів нервово-органних парасимпатичних синапсів. Як зміниться діяльність серця внаслідок цього?
Питання 156
Міцелярні розчини ПАР застосовують у фармацевтичному виробництві як стабілізатори і солюбілізатори. Для якого з розчинів колоїдних ПАР можна очікувати найбільшого значення критичної концентрації міцелоутворення?
Питання 157
Моноподіальні суцвіття подорожника (колос) і кукурудзи (початок) об’єднує те, що у них квітки сидять на добре розвиненій головній вісі. Це властиве для суцвіть:
Питання 158
Із досліджених представників родини Пасльонові плід ягода характерний для:
Питання 159
Під час хвилювання в людини зменшується слиновиділення й виникає відчуття пересихання в роті. Який медіатор при цьому виділяється з нервових закінчень, що іннервують слинні залози?
Питання 160
У людини внаслідок зменшення реабсорбції води у канальцях нефрону добовий діурез збільшився до 10 літрів. Зниження секреції якого гормону може бути причиною цього?
Питання 161
Зображення до питання
Визначте, яка з наведених циклічних сполук відноситься до карбоциклічних:
Питання 162
Вкажіть тип зв’язку, що утворюється між комплементарними основами:
Питання 163
Вам необхідно приготувати аміачний буферний розчин. Для цього до водного розчину амоніаку необхідно додати:
Питання 164
Утворення первинної сечі в нирках відбувається внаслідок фільтрації у ниркових тільцях. Які компоненти плазми крові відсутні у первинній сечі?
Питання 165
Під час мікробіологічного контролю лікарської сировини виявлені капсульні бактерії. Який метод використали для виявлення капсули?
Питання 166
На якому явищі, характерному для дисперсних систем, заснована фармакологічна дія ентеросгелю (гідрогель метилкремнієвої кислоти)?
Питання 167
Вміст дихромату калію в розчині визначали йодометричним методом. Вкажіть титрант методу йодометрії при визначенні сильних окисників:
Питання 168
У чоловіка є ознаки атеросклеротичного ураження серцево-судинної системи. Збільшення якого з показників біохімічного аналізу крові, найбільш вірогідно, для цього стану?
Питання 169
Зображення до питання
Для одержання етеру фенолу на феноксид натрію треба подіяти:
Питання 170
Яка форма гіпоксії розвивається під час шоку та колапсу ?
Питання 171
Чоловік 42-х років, що хворіє на хронічний калькульозний холецистит, висловлює скарги на різкий біль у правому підребер’ї, свербіж і жовтяничність шкірних покривів, множинні дрібноточкові крововиливи, омилений і знебарвлений кал (стеаторея). Який тип жовтяниці спостерігається у хворого?
Питання 172
Алкадієнами називають вуглеводні аліфатичного ряду, що містять два подвійні зв’язки. Оберіть загальну формулу гомологічного ряду алкадієнів:
Питання 173
Вкажіть комплексну сполуку, що виявляє протипухлинну активність:
Питання 174
У хворого в крові підвищений вміст хіломікронів, особливо після вживання їжі збагаченої жирами, виявлено гіперліпопротеїнемію I типу, яка пов’язана з дефіцитом такого ферменту:
Питання 175
Необхідно зменшити нагнітальну функцію серця у людини. Для цього їй доцільно призначити блокатори таких мембранних циторецепторів:
Питання 176
Фармацевтичний препарат коларгол - це колоїдний розчин аргентуму, до складу якого входить високомолекулярна сполука. Яку функцію виконує ця сполука?
Питання 177
Визначення хлоридів натрію та калію в медичних препаратах здійснюють методом:
Питання 178
Зображення до питання
При окисненні ментолу дихроматом калію у сульфатній кислоті (хромова суміш) утворюється:
Питання 179
IЕТ білку дорівнює 8,3. При якому значенні рН електрофоретична рухливість макромолекули білку дорівнюватиме нулю?
Питання 180
Під час мікроскопічного дослідження поперечного зрізу кореня була виявлена покривна тканина, що складається з тонкостінних, щільно замкнених клітин з кореневими волосками. Це:
Питання 181
Який з перерахованих розчинів однакової моляльності кипить при найбільшій температурі?
Питання 182
При гравіметричному визначенні масової частки сульфат-іонів у лікарському препараті сульфат магнію осадження проводять розчином хлориду барію. Осаджену форму сульфату барію слід промивати:
Питання 183
М’якоть голкоподібного листа складає жива тканина з внутрішніми петльоподібними виростами оболонки, вздовж якої розташовані хлоропласти. Який вид має паренхіма цього листа?
Питання 184
В методі тіоціанатометрії використовують вторинний стандартний розчин тіоціанату калію, який стандартизують за стандартним розчином:
Питання 185
Під час голодування важливу роль у підтримці нормального рівня глюкози в крові відіграє процес глюконеогенезу. Вкажіть основний субстрат цього процесу:
Питання 186
При додаванні до розчину, що аналізується, надлишку аміаку він забарвився у яскраво-синій колір. Це вказує на присутність у розчині іонів:
Питання 187
Для якого з наведених нижче циклоалканів притаманні реакції приєднання, що супроводжуються розкриттям циклу:
Питання 188
У хворого неврастенічний синдром, проноси, дерматит. З недостатністю якого вітаміну це пов’язано?
Питання 189
Присутність якого із іонів d- елементів у розчинах можна встановити за допомогою K4[Fe(CN)6]?
Питання 190
У хворого 38-ми років, який переніс гепатит і продовжував вживати алкоголь, розвинулись ознаки цирозу печінки з асцитом і набряками на нижніх кінцівках. Які зміни складу крові стали вирішальними в розвитку набряків?
Питання 191
Яка з наведених сполук утворена за рахунок неполярного ковалентного типу хімічного зв’язку?
Питання 192
У клініці для парентерального білкового харчування, використовують фармпрепарати гідролізату білків. Повноцінність гідролізатів визначається за наявністю незамінних амінокислот. Вкажіть, яка із перерахованих амінокислот відноситься до незамінних:
Питання 193
Зображення до питання
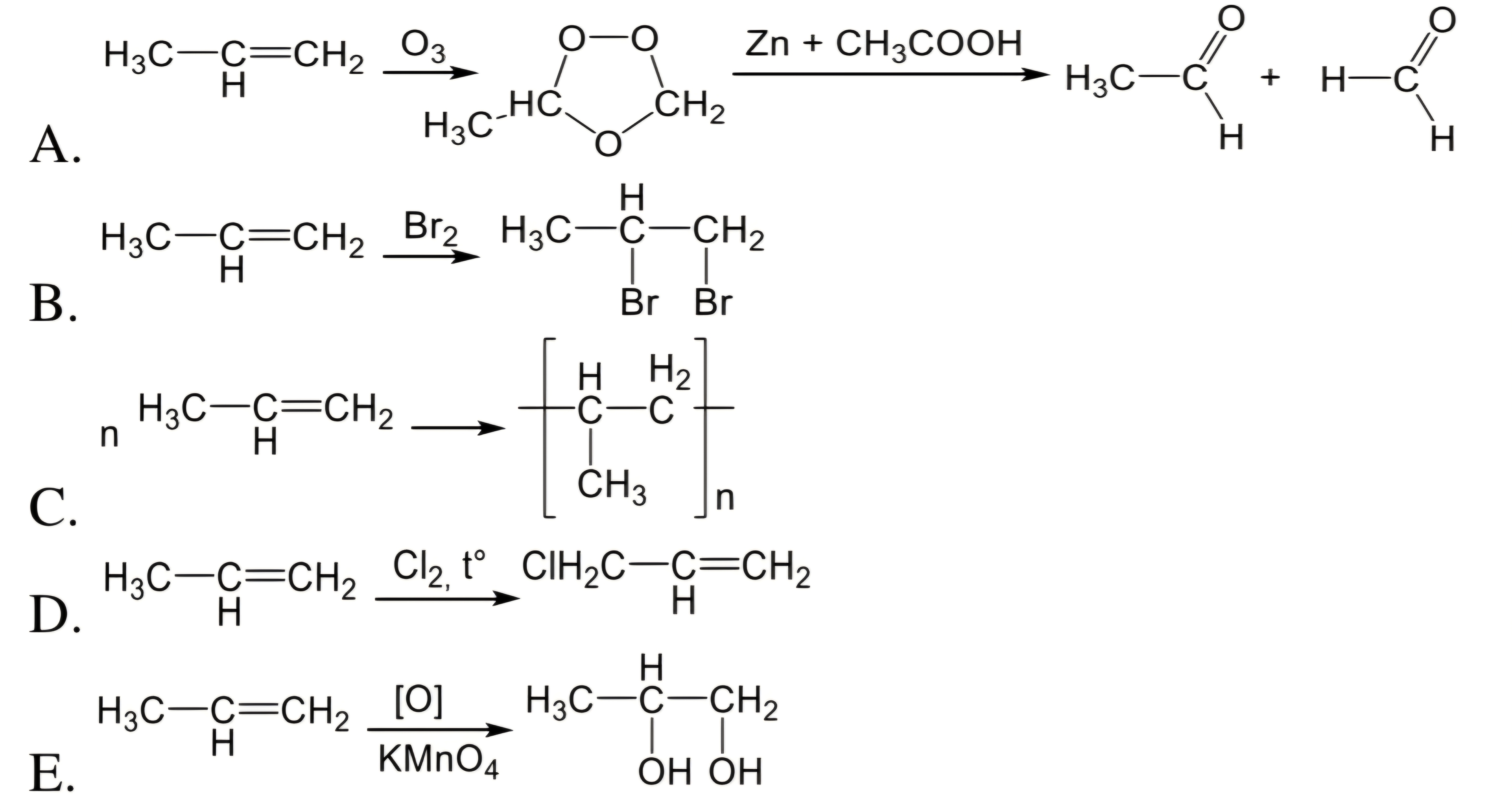
Яка з наведених реакцій є реакцією приєднання?
Питання 194
Натрій гідрогенарсенат Na2HAsO4· 7H2O використовують у медичній практиці як загальноукріплюючий та тонізуючий засіб. До якого типу солей він належить?