MDstuds

2009 - Основна сесія

2009 - Основна сесія
Питань: 173
173:00
Питання 1 з 173
Питання 1
Під час розглядання під мікроскопом препарату бульби картоплі у клітинах видно включення, які під дією розчину Люголя забарвлюються у синьо- фіолетовий колір. Ці включення:
Питання 2
Зображення до питання
Галактоза відноситься до альдегідоспиртів і подібно альдегідам взаємодіє з синильною кислотою (HCN ) за механізмом:
Питання 3
Для визначення масової частки кальцію в лікарському препараті застосували гравіметричний метод осадження. В якості осаджувача використали розчин амонію оксалату. Гравіметричною формою в даному випадку є:
Питання 4
Пацієнт прийняв велику дозу снодійного препарату ряду барбітуратів (аміталу), який є інгібітором НАД - залежної дегідрогенази дихального ланцюга. Який процес порушиться за цих умов у мітохондріях?
Питання 5
Протизапальна дія ряду препаратів зумовлена гальмуванням вивільнення арахідонової кислоти. Ця кислота є попередником:
Питання 6
У ефірномасличної рослини, що визначається, стебло чотиригранне, квітки з двогубим вінчиком, плід - ценобій, що характерно для родини:
Питання 7
Поверхнево-активні речовини широко використовуються у технології вироблення ліків. Вкажіть поверхнево активну речовину для межі розділу водний розчин - повітря:
Питання 8
Кількісний вміст кальцію хлориду визначають методом прямого комплексонометричного титрування. Оберіть індикатор для фіксування кінцевої точки титрування:
Питання 9
Пацієнту призначено препарат L- карнітину. Трансмембранне перенесення якої з перелічених речовин забезпечує цей препарат?
Питання 10
Після пологової травми у новонародженої дитини відзначається обмеження рухів правої верхньої кінцівки, гіпорефлексія, м’язова атрофія. До якого виду рухових порушень відносяться дані зміни?
Питання 11
До хірургічного кабінету звернулася потерпіла, яку покусав невідомий собака. Широкі рвані рани локалізовані на обличчі. Яку лікувально- профілактичну допомогу потрібно надати для профілактики сказу?
Питання 12
При запальних процесах в жовчному міхурі порушуються колоїдні властивості жовчі. Це може призвести до утворення жовчних каменів. Кристалізація якої речовини є однією з причин їх утворення?
Питання 13
Зараження куриних ембріонів є основним методом виділення вірусу грипу. Для пригнічення супутньої бактеріальної флори у досліджуваному матеріалі (змиві з носоглотки) до нього попередньо додають:
Питання 14
Колоїдний захист використовують при виготовленні лікарських препаратів. Як називається колоїдний препарат срібла, захищений білками?
Питання 15
Яка з наведених речовин при додаванні розчину FeCl3 дає темно- фіолетове забарвлення?
Питання 16
Ефіроолійні залозки, що складаються з 8-ми секреторних клітин, розташованих в два ряди і чотири яруси, виявлені у більшості рослин родини:
Питання 17
Першими лейкоцитами, що з’являються у вогнищі запалення, є:
Питання 18
Зображення до питання
При якому атомі вуглецю знаходиться глікозидний (напівацетальний) гідроксил у молекулі α-D- глюкозопіранози?
Питання 19
Щоб зберегти життєздатність та стабільність еубіотиків, мікроорганізми висушують із заморожуваного стану під глибоким вакуумом. Яку назву має цей метод?
Питання 20
При зменшенні у харчовому раціоні вітаміну B6 спостерігаються порушення обміну білків. Зниження активності яких біохімічних процесів буде спостерігатися в організмі хворого?
Питання 21
У хворого відмічається послаблення гальмівних процесів у ЦНС, що пов’язано з порушенням утворення гамма-аміномасляної кислоти. Яка речовина є попередником ГАМК?
Питання 22
Температурний коефіцієнт швидкості реакції дорівнює 2. У скільки разів зміниться швидкість цієї реакції при зміні температури на 40°C?
Питання 23
У берези суцвіття складні, мають пониклу головну вісь, яка несе дихазії з одностатевих квіток. Отже, суцвіттям берези є:
Питання 24
При додаванні розбавленого розчину хлороводневої кислоти до розчину, що аналізується, утворився білий сирнистий осад. Про присутність яких іонів це свідчить?
Питання 25
При дихроматометричному визначенні вмісту FeSO у розчині з потенціометричною фіксацією точки еквівалентності як індикаторний використовують такий електрод:
Питання 26
У хірургічній практиці для розслаблення скелетних м’язів при проведенні складних операцій використовуються курареподібні речовини. Яку структуру блокують ці речовини?
Питання 27
Після вживання фенацетину пацієнт скаржиться на біль в горлі, неможливість ковтання. Отоларинголог діагностував некротичну ангіну. В крові: Hb- 130 г/л, ер.- 4, 5 · 1012/л, лейк.- 3, 0 · 109/л, серед них лімф.- 75%, нейтр.- 10%, еозин.- 5%, мон.- 10%. Визначте порушення білої крові у пацієнта:
Питання 28
Нітритометричне визначення кількісного вмісту сполук, що мають первинну ароматичну аміногрупу, відбувається за умови:
Питання 29
Посилення секреції хлористоводневої кислоти в шлунку можна викликати підшкірним введенням тварині такого гастроінтестинального гормону:
Питання 30
В експерименті застосували препарат, який пригнічує синтез АТФ в клітині. Який вид трансмембранного транспорту буде порушено внаслідок цього?
Питання 31
Потенціометричний метод визначення рН як найбільш універсальний занесений до Державної фармакопеї України. Який з електродів використовують у якості електроду порівняння?
Питання 32
Зображення до питання
Яку назву має зазначена реакція:
Питання 33
Міцелярні розчини поверхнево- активних речовин (ПАР) застосовують у фармацевтичному виробництві як стабілізатори і солюбілізатори. Для якого з розчинів колоїдних ПАР можна очікувати найбільшого значення кри- тичної концентрації міцелоутворення?
Питання 34
Альфа-клітинами підшлункової залози синтезується гормон глюкагон, який бере участь у обміні вуглеводів. Вкажіть, на який процес у печінці він впливає:
Питання 35
Із досліджених представників родини Пасльонові плід ягода характерний для:
Питання 36
Яким буде число ступенів свободи у системі салол-камфора, якщо з розплаву одночасно виділяються кристали обох компонентів?
Питання 37
Донором метильної групи для метилювання лікарських речовин може служити активна форма однієї із сульфурвмісних амінокислот. Оберіть її:
Питання 38
Хлорофіл - зелений пігмент рослин, є комплексною сполукою. Вкажіть іонкомплексоутворювач у хлорофілі:
Питання 39
Ферменти (біологічні каталізатори) застосовують як фармакологічні препарати. Який механізм дії ферментів в біохімічних реакціях?
Питання 40
При перевірці стану повітря в аптечному приміщенні, де виготовляються ін’єкційні форми ліків, седиментаційним методом виявлено 5 дрібних округлих колоній, навколо яких чітко видно зону гемолізу. На яке середовище зроблено посіви?
Питання 41
Водорозчинні вітаміни в організмі перетворюються у коферментні форми. Коферментною формою якого вітаміну є тіаміндифосфат (ТДФ)?
Питання 42
Зображення до питання
Бромування якої із наведених сполук буде перебігати із найбільшою швидкістю?
Питання 43
Пацієнт скаржиться на збільшення частоти серцевих скорочень, появу підвищеної пітливості, дратівливості, безсоння. Зазначені симптоми виникли в останні півроку. Про підвищену функцію якої ендокринної залози це свідчить?
Питання 44
На фармацевтичному виробництві процеси синтезу лікарських препаратів відбуваються за різних умов. У якому процесі ентропія не змінюється?
Питання 45
При хроматографуванні новокаїну в тонкому шарі сорбенту, після проявлення пластинки, одержали пляму, відстань до якої від лінії старту 3 см, а відстань фронту розчинників - 10 см. Яке значення Rf новокаїну?
Питання 46
У приміщенні підвищений вміст вуглекислого газу у повітрі. Як зміниться дихання (глибина і частота) у людини, що увійшла в це приміщення?
Питання 47
Від хворого із сепсисом виділена чиста культура стафілококів, які проукують бета-лактамазу. При яких обставинах слід враховувати цю властивість?
Питання 48
Вкажіть стандартні речовини, які використовують для стандартизації розчинів-титрантів (NaOH, KOH) метода алкаліметрії:
Питання 49
Етіологічними факторами інфекційних захворювань можуть бути мікроорганізми з різною ультраструктурою. Які з нижче перерахованих груп мікробів відносяться до еукаріот?
Питання 50
Яка з наведених сполук має ацидофобні властивості?
Питання 51
У мокротинні хворого з підозрою на пневмонію виявлено грампозитивні диплококи, трохи подовжені, з дещо загостреними протилежними кінцями. Які мікроорганізми виявлені у мокротинні?
Питання 52
При дослідженні лікарської рослини встановлено, що її підземні органи мають вузли, меживузля, лускоподібні листки, бруньки та придаткові корені, тобто цей підземний орган:
Питання 53
У хворого встановлено підвищення в плазмі крові вмісту загального білірубіну за рахунок непрямого, в калі та сечі - високий вміст стеркобіліну, рівень прямого білірубіну в крові в межах норми. Про яку жовтяницю слід думати?
Питання 54
Зображення до питання
Реакція перетворення толуолу в бензойну кислоту відбувається за умов:
Питання 55
У хворого після резекції шлунка з’явилися слабкість, блідість шкірних покривів, одутлість обличчя, збільшення печінки та селезінки. У периферичній крові виявлені мегалобласти і мегалоцити, гіперхромія (колірний показник 1,3). Який вид анемії спостерігається у хворого?
Питання 56
Зображення до питання
Оберіть реагент для отримання гідразиду оцтової кислоти з етилацетату:
Питання 57
Зображення до питання
Серед наведених сполук вкажіть сукцинімід (імід янтарної кислоти):
Питання 58
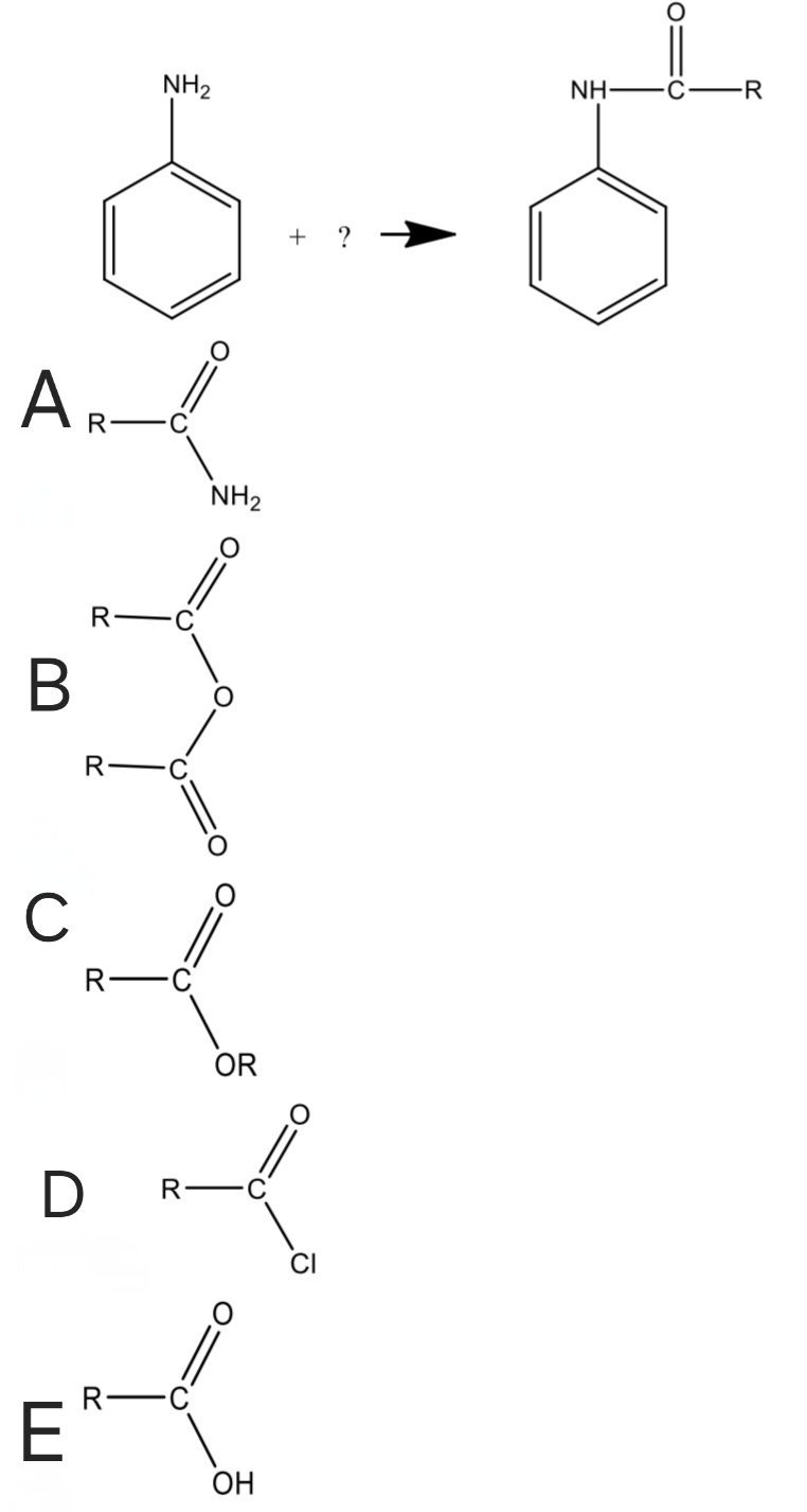
Зображення до питання
Яка сполука утворюється при нагріванні аніліну з концентрованою сірчаною кислотою?
Питання 59
У хворого з ознаками гострого менінгіту для дослідження було взято спинномозкову рідину. В мазках з неї виявлені грамнегативні диплококи в лейкоцитах та поза ними. Який мікроорганізм найбільш вірогідно є причиною захворювання?
Питання 60
Оберіть реагент, який можна використати для отримання пропанола-2 з ацетону:
Питання 61
На фармацевтичне підприємство надійшла партія сировини рослинного походження для виготовлення фітопрепаратів. Для оцінки якості цієї сировини необхідно визначити:
Питання 62
У хворого 50-ти років внаслідок тривалого нераціонального харчування розвинувся гіповітаміноз C . Зниження активності якого ферменту лежить в основі ураження сполучної тканини при цій патології?
Питання 63
Вітамін A швидко окислюється на повітрі, що зумовлює втрату біологічної активності. Який компонент харчових продуктів головним чином запобігає окисненню вітаміну?
Питання 64
Під впливом вазопресину зменшився діурез. Причиною цього є збільшена реабсорбція води у таких канальцях нирок:
Питання 65
У хворого дихання Куссмауля, запах ацетону з рота, зниження тонусу очних яблук, зіниці вузькі, шкіра суха, поліурія, глюкозурія, гіперглікемія. Для якої коми характерний цей симптомокомплекс?
Питання 66
Хворому 3 роки тому був поставлений діагноз хронічний гломерулонефрит. Впродовж останніх 6-ти місяців з’явилися набряки. Що лежить в основі їх розвитку?
Питання 67
Зображення до питання
Який вид таутомерії характерний для наведеної сполуки:
Питання 68
Загальна формула алкінів CnH2n−2. Який клас сполук є ізомерними алкінами?
Питання 69
Після вірусного гепатиту для запобігання жирового переродження печінки хворому слід призначити ліпотропні фактори. Вкажіть один з них:
Питання 70
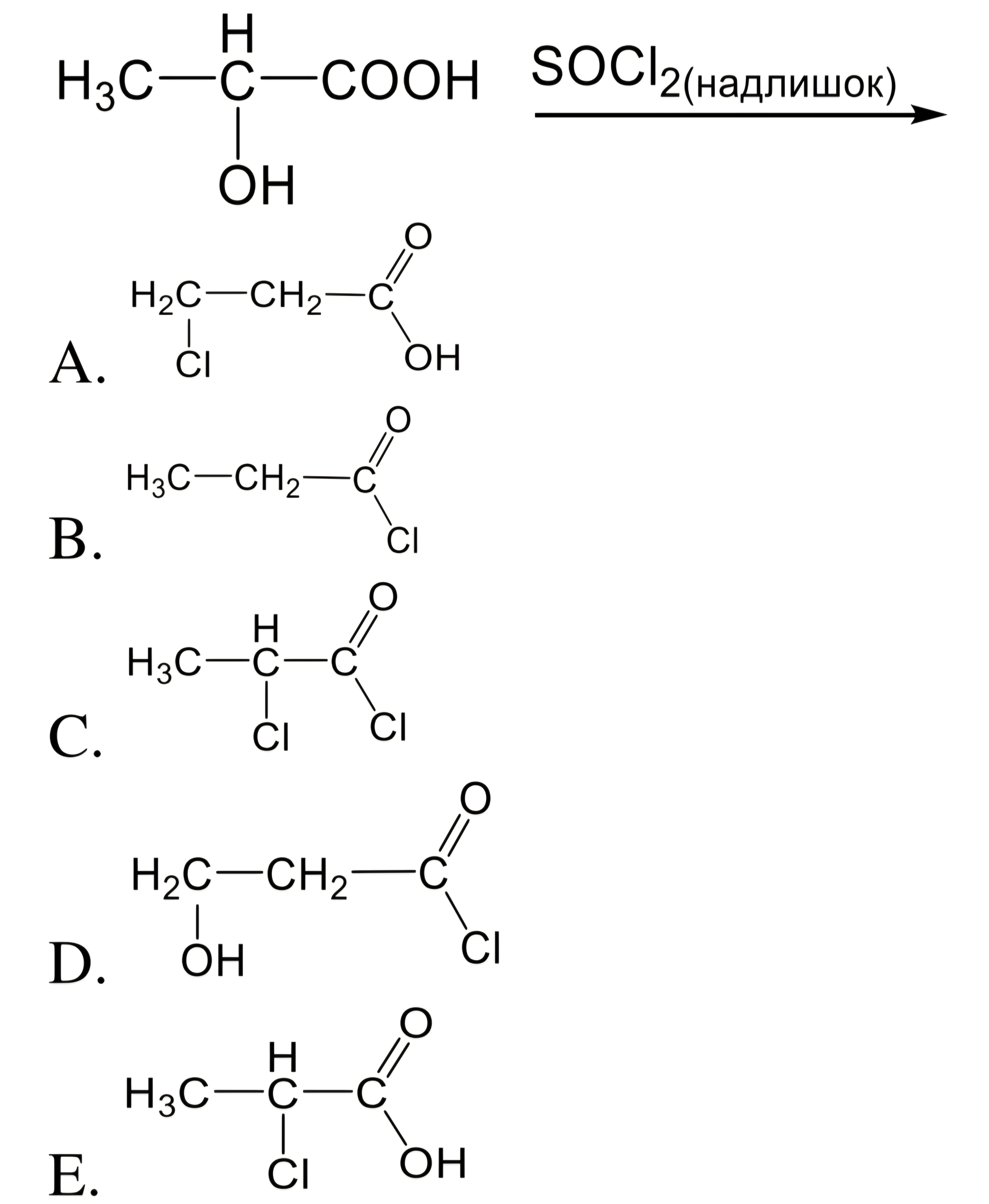
Зображення до питання
Вкажіть сполуку, що утворюється при взаємодії молочної кислоти з надлишком SOCl2:
Питання 71
Під час фізичного навантаження збільшується теплоутворення за рахунок підвищення теплопродукції, перш за все, в:
Питання 72
Зображення до питання
У реакції ацилювання аніліну найактивнішим буде:
Питання 73
Згідно до вимог Фармакопеї лікарські препарати для місцевого застосування повинні контролюватися на "мікробіологічну чистоту". Виявлення яких мікроорганізмів свідчить про непридатність цієї групи препаратів у медичній практиці?
Питання 74
При високій температурі навколишнього середовища вентилятор полегшує перебування в приміщенні, оскільки його робота збільшує тепловіддачу, перш за все, шляхом:
Питання 75
Таблетований лікарський препарат після бактеріологічного дослідження був визнаний непридатним для використання, хоча його загальне мікробне обсіменіння не перевищувало норму. Виявлення яких мікроорганізмів у препараті дозволило зробити такий висновок?
Питання 76
Плід, що аналізується, псевдомонокарпний із здерев’янілим оплоднем і однією насіниною, шкірка якої не зростається з оплоднем. Такий плід носить назву:
Питання 77
Біогенні аміни у тканинах піддаються окисному дезамінуванню. За участю якого ферменту це відбувається?
Питання 78
Пацієнт зробив максимальний вдих. Як називається об’єм повітря, який знаходиться в легенях за цих умов?
Питання 79
Йодоформ під час зберігання самодовільно розпадається з утворенням йоду. Яка з термохімічних функцій є критерієм спрямування цього процесу при постійності V і T ?
Питання 80
Досліджуваний розчин лікарського препарату містить катіони магнію (II) і алюмінію (III). За допомогою розчину якого реагенту можна розділити вказані катіони при аналізі цього препарату?
Питання 81
Хворий страждає на атеросклероз судин головного мозку. Аналіз крові виявив гіперліпопротеїнемію. Вміст якого класу ліпопротеїнів плазми крові, найбільш вірогідно, збільшений в цьому випадку?
Питання 82
Зображення до питання
За яким механізмом відбувається реакція приєднання етанолу до оцтового альдегіду?
Питання 83
У хворого на кістково-мозкову форму променевої хвороби визначили такі зміни гемограми: лейк.- 2 · 109/л, лімфопенія, ер.- 3, 0 · 1012/л, Hb- 52 г/л, тромб.- 105 · 109/л, згортання крові знижено. Якому періоду променевої хвороби відповідають зазначені зміни?
Питання 84
У вищої безсудинної рослини чітко виражено чергування поколінь - домінуючого статевого (гаметофіту) і редукованого безстатевого (спорофіту). Це свідчить, що рослина належить до відділу:
Питання 85
В експерименті виміряли концентрацію різних іонів в цитоплазмі нервової клітини. Найбільшою виявилася концентрація іонів:
Питання 86
Пацієнту призначено конкурентний інгібітор ацетилхолінестерази. Назвіть його:
Питання 87
Чоловіка 37-ми років госпіталізовано до клініки з нападом бронхіальної астми. Який тип дихання буде спостерігатися у хворого?
Питання 88
Під час огляду у доярки виявлено ураження опорно-рухового апарату, порушення зору, нервової і інших систем. Для підтвердження діагнозу призначено серологічне обстеження - реакція Райта і постановка шкірно-алергічної проби Бюрне. Який попередній діагноз встановив лікар?
Питання 89
Наявність патогенних мікроорганізмів у повітрі можна передбачити за присутністю санітарно-показових бактерій. Оберіть серед перерахованих бактерії ті, які є показником безпосередньої епідеміологічної небезпеки:
Питання 90
Зображення до питання
Серед наведених проміжних активних часточок оберіть карбокатіон:
Питання 91
Виникла підозра, що серед працівників підприємства з виготовлення сироваткових препаратів обласної станції переливання крові поширене носійство патогенного золотистого стафілококу. На яке середовище слід висіяти матеріал з носоглотки працівників для виявлення стафілококового носійства?
Питання 92
У дорослої людини системний артеріальний тиск становить 160/100 мм рт.ст. Підвищена концентрація у крові якого гормону може бути причиною цього?
Питання 93
В аптеці виготовлено партію флаконів з розчином глюкози для ін’єкційного введення. Який спосіб слід застосувати для їх стерилізації?
Питання 94
До розчину, що містить аніони другої аналітичної групи, долили розчин аргентуму нітрату. Утворився блідо- жовтий осад, нерозчинний в азотній кислоті та частково розчинний в розчині амоніаку. Які аніони присутні в розчині?
Питання 95
Під час збору лікарської сировини на плантаціях виявлено велику кількість рослин із мозаїчним забарвленням листя. Який імовірний агент спричинив таке ураження рослин?
Питання 96
Результати мікробіологічних досліджень настою із листя м’яти перцевої встановили його невідповідність вимогам Фармакопеї - виявлена патогенна мікрофлора. Вкажіть, наявність якої мікрофлори є підставою для такого висновку?
Питання 97
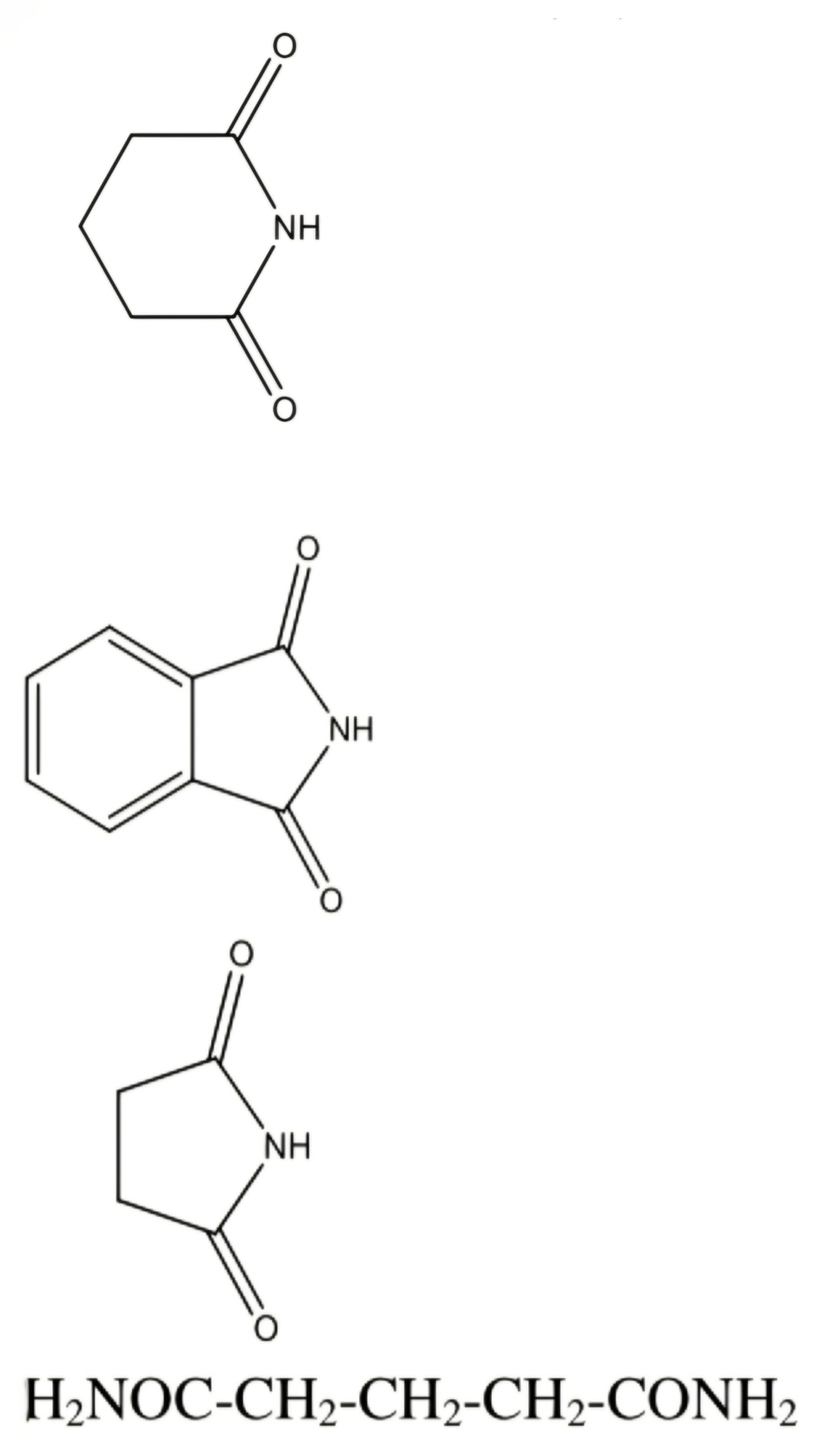
Під час голодування нормальний рівень глюкози у крові підтримується за рахунок стимуляції глюконеогенезу. Яка з перелічених речовин може використовуватися як джерело для синтезу глюкози при цьому?
Питання 98
Відомо, що інфекційний гепатит В - системне захворювання, що викликане вірусом гепатиту В та характеризується переважним ураженням печінки. З запропонованого нижче списку оберіть препарати для етіотропної терапії цієї інфекції:
Питання 99
При мікроскопічному дослідженні первинної кори кореня у всисній зоні виявлено, що основну її масу складає багатошарова жива пухка паренхіма з крохмальними зернами. Це:
Питання 100
Зображення до питання
Вкажіть продукт взаємодії оцтового альдегіду з етиловим спиртом:
Питання 101
Під час розглядання лікарської сировини було виявлене листя, що прорізане до основи листової пластинки, а сегменти розташовані віялоподібно. Ці листки :
Питання 102
Травлення білків у шлунку відбувається під дією пепсину, який виділяється у вигляді неактивного пепсиногену. Перетворення пепсиногену на пепсин здійснюється шляхом відщеплення N-кінцевого пептиду під дією:
Питання 103
Чоловік 42-х років, що хворіє на хронічний калькульозний холецистит, скаржиться на різкий біль у правому підребер’ї, свербіж і жовтяничність шкірних покривів, множинні дрібноточкові крововиливи, омилений і знебарвлений кал (стеаторея). Який тип жовтяниці спостерігається у хворого?
Питання 104
У жінки 55-ти років з нирковою недостатністю артеріальний тиск 170/100 мм рт.ст. Надмірна активація якої з нижчезазначених систем обумовлює стійке підвищення артеріального тиску?
Питання 105
Жінка звернулася до лікаря зі скаргами на біль у ногах, який з’являється надвечір, набряклість стоп і гомілок. Об’єктивно: шкіра на ногах синюшного кольору, холодна на дотик. Яки тип порушення периферичного кровообігу має місце у даної хворої?
Питання 106
Серце має властивість автоматизму за рахунок наявності атипових кардіоміоцитів, які утворюють провідну систему серця. Який відділ цієї системи є "водієм ритму"серця I порядку?
Питання 107
Необхідно визначити кількість саліцилату натрію у розчині. Який метод титриметричного аналізу можна використати для кількісного визначення ароматичних сполук?
Питання 108
Під епідермою стебла виявлено декілька шарів живих паренхімних клітин, що містять хлоропласти, і мають потовщені по кутах целюлозні оболонки. Ця тканина:
Питання 109
Перед зануренням у воду досвідчені нирці роблять декілька глибоких вдихів. Вони роблять це для:
Питання 110
Фітопатогенні мікроорганізми відносяться до різних груп. Яка з них найчастіше викликає захворювання лікарських рослин?
Питання 111
В контрольно-аналітичній лабораторії хіміку необхідно провести стандартизацію розчину гідроксиду натрію. Який первинний стандартний розчин він може для цього використати?
Питання 112
Відомо, що непрямий білірубін, який утворюється при розпаді гема, знешкоджується в печінці. Яка сполука бере участь у детоксикації білірубіну в гепатоцитах?
Питання 113
Зображення до питання
Для одержання етеру фенолу на феноксид натрію треба подіяти:
Питання 114
Який медіатор забезпечує передачу інформації з нервових закінчень мотонейронів на волокна скелетних м’язів?
Питання 115
Жінка 56-ти років скаржиться на затвердіння в молочній залозі, яке з’явилось місяць тому та швидко збільшується в розмірах. Об’єктивно: утворення пов’язане з оточуючими тканинами, горбисте, малорухоме. Назвіть особливості, які сприяють інфільтративному росту злоякісної пухлини:
Питання 116
В якому з наведених розчинників желатина набрякатиме найкраще?
Питання 117
Вкажіть число ступенів свободи перетинання лінії ліквідусу з віссю ординат діаграми стану двокомпонентної системи:
Питання 118
Як називається емульсія, частинки дисперсної фази якої є деформованими і мають вигляд поліедрів?
Питання 119
Для кількісного визначення лікарських речовин використовують метод алкаліметрії, у якому титрантом є 0,1 М розчин гідроксиду натрію. Точну концентрацію гідроксиду натрію встановлюють за:
Питання 120
Який первинний стандарт застосовують для стандартизації розчину Hg2(NO3)2?
Питання 121
Вкажіть спосіб титрування, при якому до досліджуваного розчину речовини поступово додають стандартний розчин титранту до встановлення кінцевої точки титрування:
Питання 122
Відомо, що гідроліз білків, жирів та вуглеводів здійснюється за допомогою, відповідно, протеаз, ліпаз та амілаз. У якому із травних соків містяться всі три групи ферментів у достатній для травлення кількості?
Питання 123
Аміак утворюється в різних тканинах і органах та знешкоджується у печінці, перетворюючись у сечовину. Яка амінокислота переносить його з скелетних м’язів до печінки?
Питання 124
Зображення до питання
Дією якого реагенту з бензолу можна одержати дифенілметан?
Питання 125
Більшість технологічних процесів у фармації відбувається в гетерогенних системах. Яка кількість фаз міститься у суміші евтектичного складу при евтектичній температурі двохкомпонентної системи?
Питання 126
Який з показників зовнішнього дихання характеризує найбільший об’єм повітря, який людина може видихнути після максимального глибокого вдиху?
Питання 127
Мікроскопія епідерми листа конвалії травневої показала, що продихи мають чотири побічні клітини, з яких дві - бокові, а дві - полярні. У такому випадку тип продихового апарату:
Питання 128
У місті епідемія грипу. Який препарат з перерахованих нижче можна рекомендувати людям для неспецифічної профілактики захворювання?
Питання 129
Який аналітичний ефект спостерігається під час визначення катіону калію розчином натрій гексанітрокобальтату (III)?
Питання 130
В якісному аналізі при певних умовах специфічним реагентом на катіони Fe3+ є K4[Fe(CN)6]. Якого кольору утворюється осад при їх взаємодії?
Питання 131
У хворого спостерігається брадикардія, помірно виражені гіпотензія, зниження основного обміну, набряки. Що з наведеного може бути причиною цього?
Питання 132
В результаті обробки рослинного мікропрепарату розчином Судан ІІІ оболнки клітин забарвилися у рожевий колір, що свідчить про наявність них
Питання 133
Для якої з наведених сполук можлива оптична ізомерія?
Питання 134
З метою ранньої діагностики вагітності досліджується сеча жінки. Наявність якого з гормонів буде вірогідно свідчити про вагітність?
Питання 135
Велика морська водорість бурого кольору зі стовбурком, ризоїдами і листоподібною частиною, багатою на альгінати і йод, віднесена до роду:
Питання 136
У хворого в сечі виявили підвищений вміст сечової кислоти. Лікар призначив алопуринол. Вкажіть біохімічний механізм дії цього препарату:
Питання 137
Один з соковитих плодів, що аналізується, має ефіроолійний екзокарпій, губчастий мезокарпій, та розрослий ендокарпій, який складається з сокових мішечків. Який плід аналізували?
Питання 138
Укажіть стандартні розчини, які в йодометрії використовують для прямого і зворотнього титрування відновників:
Питання 139
Обробка рослинного мікропрепарату флороглюцином з концентрованою хлористоводневою кислотою призвела до малиново-червоного забарвлення клітинних оболонок, що вказує на наявність:
Питання 140
Зображення до питання
Яка з наведених сполук у результаті лужного гідролізу (H2O, OH−) утворює пропіоновий альдегід?
Питання 141
До досліджуваного розчину додали 1М розчин сірчаної кислоти. Випав осад білого кольору, який розчиняється в лугах. Це свідчить про присутність у розчині:
Питання 142
Яким методом титриметричного аналізу можна провести кількісне визначення сірчаної кислоти розчином калію гідроксиду?
Питання 143
У хворої на гіпертонічну хворобу спостерігаються підвищення артеріального тиску до 180/110 мм рт.ст., задишка, ціаноз, тахікардія; межі серця розширені вліво, у легенях - вологі хрипи. Які ознаки термінової компенсації серцевої недостатності мають місце в хворої?
Питання 144
Кінетичні методи використовуються для визначення стабільності лікарських препаратів. Визначте порядок реакції, якщо константа швидкості її має розмірність c−1:
Питання 145
При розрахунках кількості допоміжних речовин, необхідних для ізотонування рідких лікарських форм, використовують значення ізотонічних коефіцієнтів. Чому він дорівнює для сульфату цинку за умови його повної дисоціації у водному розчині?
Питання 146
Золь Al(OH)3 одержали обробкою свіжовиготовленого осаду Al(OH)3 невеликою кількістю розчину HCl. Яке явище лежить в основі одержання золю?
Питання 147
При хроматографуванні новокаїну в тонкому шарі сорбенту, після проялення пластинки, одержали пляму, відстань до якої від лінії старту 3 см, а відстань фронту розчинників - 10 см. Яке значення Rf новокаїну?
Питання 148
У сечі пацієнта збільшилася концентрація іонів Na+ та зменшилася - іонів K + . Зниження секреції якого гормону може бути причиною цього?
Питання 149
При алергічних реакціях негайного типу виникає дегрануляція тканинних базофілів, які виділяють біологічно активні речовини. Однією з таких речовин є:
Питання 150
У суцвіття багна звичайного головна вісь значно вкорочена, вузли наближені, квітконіжки майже однакової довжини. Виходячи з цього, це суцвіття:
Питання 151
На польовій практиці студент виявив рослину, що має суцвіття з дископодібно розрослою віссю, сидячими квітками і листковою обгорткою, тобто це суцвіття:
Питання 152
При виготовленні деяких рідких лікарських форм необхідно враховувати величину їх осмотичного тиску. 0,1М розчин якої з наведених речовин має найбільший осмотичний тиск?
Питання 153
Значна частина випадків аліментарного голодування супроводжується розвитком виражених набряків. Який із патогенетичних механізмів розвитку набряків є провідним у даному випадку?
Питання 154
Хворий 47-ми років з травмою руки госпіталізований у стані больового шоку. Об’єктивно: стан важкий, свідомість сплутана, шкірні покриви вологі, бліді з акроціанозом. Відзначається тахіпное, тахікардія, зниження артеріального тиску. Який вид гіпоксії переважає у хворого?
Питання 155
У хворого на плеврит під час плевральної пункції отримано прозору рідину без запаху. Який тип ексудату отримано під час пункції?
Питання 156
Чоловік 45-ти років впродовж 10- ти років хворіє на цукровий діабет. У важкому стані доставлений до лікарні. На другий день перебування у стаціонарі його стан різко погіршився: розвинулася кома, з’явилося шумне глибоке дихання, при якому глибокі вдихи змінювалися посиленими видихами за участю експіраторних м’язів. Яка форма порушення дихання спостерігається у хворого?
Питання 157
Зображення до питання
За допомогою якого реагенту можна довести наявність альдегідної групи у молекулі фурфуролу?
Питання 158
Людини змастили кінчик язика розчином анестетика. Сприйняття якого смаку в неї буде відсутнє?
Питання 159
Під час дослідження гербарних зразків лікарських рослин визначили, що одна з них належить до сімейства Asteraceae. Ця рослина:
Питання 160
Для лікування захворювань серця застосовують препарат кокарбокислаза. Коферментною формою якого вітаміну є даний препарат?
Питання 161
У фармацевтичній промисловості міцелярні розчини поверхнево- активних речовин використовуються для виготовлення водорозчинних препаратів із нерозчинних у воді речовин, наприклад, вітамінів A і E. В розчинах яких речовин критична концентрація міцелоутворення має найменше значення?
Питання 162
При мікроскопічному дослідженні листка фікуса в деяких клітинах епідерми виявлено внутрішній виріст клітинної оболонки зі скупченням кристалів, які при дії хлористоводневої кислоти розчиняються з виділенням вуглекислого газу. Ця структура:
Питання 163
Зображення до питання
Трифенілметан відноситься до:
Питання 164
30-ти річному чоловікові, який хворіє на туберкульоз легень, призначено ізоніазид. Недостатність якого вітаміну може розвинутися внаслідок тривалого вживання даного препарату?
Питання 165
В експерименті на собаці під час подразнення симпатичного нерва відбувається зміна кількості і якісного складу слини. Які зміни відбуваються?
Питання 166
Для кількісного визначення лікарських речовин використовують метод ацидиметрії, титрантом якого є вторинний стандартний розчин хлоридної кислоти. За якою сполукою встановлюють точну концентрацію хлоридної кислоти?
Питання 167
Підберіть відповідні індикатори для фіксування кінцевої точки титрування у методі нітритометрії:
Питання 168
Серед рослин листяного лісу переважали однодомні високі дерева, вкриті товстою темно-сірою корою з глибокими тріщинами. Листя короткочерешкові, перистолопатеві. Плоди - жолуді. Отже, домінуючий вид:
Питання 169
У фармацевтичній практиці широко використовують виготовлення ліків у вигляді колоїдно-дисперсних систем. Який з методів одержання золів базується на явищі фізичної конденсації?
Питання 170
Процес, при якому відбувається хімічна взаємодія між адсорбатом і адсорбентом, називається:
Питання 171
Необхідно зменшити нагнітальну функцію серця у людини. Для цього їй доцільно призначити блокатори таких мембранних циторецепторів:
Питання 172
В аптечній практиці застосовують мікрогетерогенні системи з рідким дисперсійним середовищем і твердою дисперсною фазою. Така лікарська форма є:
Питання 173
При досліджені п’яти гербарних зразків лікарських рослин було визначено, що одна з них належить до родини бобові, а саме: