MDstuds

2010 - Основна сесія

2010 - Основна сесія
Питань: 178
178:00
Питання 1 з 178
Питання 1
Осмотичний тиск є важливою характеристикою біологічних рідин. В якому з наведених розчинів осмотичний тиск з часом буде змінюватися?
Питання 2
У хворого виявлено почервоніння слизової оболонки порожнини рота; в кутах рота і на губах тріщини, лущення шкіри; на обличчі шкіра суха; запалення кон’юнктиви, проростання судинної сітки в рогівку. Імовірною причиною даної патології є нестача вітаміну:
Питання 3
Скляний електрод широко використовується для вимірювання pH в біологічних середовищах, рідинних лікарських формах тощо. До якого типу відноситься скляний електрод?
Питання 4
При вивченні рослинної клітини під електронним мікроскопом виявлені структури у вигляді стопки плескатих мембранних цистерн і пухирців. Що це за органоїди?
Питання 5
Бактерії можуть містити поряд з хромосомними також позахромосомні спадкові елементи - плазміди. Наявність плазмідних генів може проявлятися:
Питання 6
Фітопатогенні мікроорганізми відносяться до різних груп. Яка з них найчастіше викликає захворювання лікарських рослин?
Питання 7
Шестичленні нітрогенвмісні гетероциклічні сполуки проявляють основні властивості. Вкажіть сполуку, що має найбільш сильні основні властивості:
Питання 8
Більшість технологічних процесів у фармації відбувається в гетерогенних системах. Яка кількість фаз міститься у суміші евтектичного складу при евтектичній температурі двохкомпонентної системи?
Питання 9
Яку речовину можна визначити методом кислотно-основного титрування та методом окисно-відновного титрування?
Питання 10
Віночок квітки материнки зигоморфний, зрослопелюстковий, складається з трубки і двох частин відгину - верхньої дволопасної і нижньої - трилопасної. Цей віночок називається:
Питання 11
Зображення до питання
Яка з наведених сполук у результаті лужного гідролізу (H2O, OH−) утворює пропіоновий альдегід?
Питання 12
У фармацевтичній практиці широко використовується ізотонічний розчин натрію хлориду. Яку масу натрію хлориду потрібно взяти для приготування 100 г ізотонічного розчину?
Питання 13
На зрізі коренеплоду буряку виділяється декілька шарів камбію, що формують додаткові провідні пучки. Яка будова у даного коренеплоду?
Питання 14
Відомо, що інфекційний гепатит В - системне захворювання, викликане вірусом гепатиту В, яке характеризується переважним ураженням печінки. З запропонованого нижче списку оберіть препарат для етіотропної терапії цієї інфекції:
Питання 15
Чоловіка 37-ми років госпіталізовано до клініки з нападом бронхіальної астми. Який тип дихання буде спостерігатися у хворого?
Питання 16
Зображення до питання
Вкажіть моносахарид, із залишків якого складається полісахарид целюлоза:
Питання 17
Міцелярні розчини ПАР застосовують у фармацевтичному виробництві як стабілізатори і солюбілізатори. Для якого з розчинів колоїдних ПАР можна очікувати найбільшого значення критичної концентрації міцелоутворення?
Питання 18
Присутність якого з іонів d-елементів у розчинах можна встановити за допомогою K4[Fe(CN)6]?
Питання 19
Запропонуйте редокс-метод кількісного визначення солей феруму (II) у розчині, що містить хлороводневу кислоту:
Питання 20
У вищої безсудинної рослини чітко виражено чергування поколінь - домінуючого статевого (гаметофіту) і редукованого безстатевого (спорофіту). Це свідчить, що рослина належить до відділу:
Питання 21
У технології фармацевтичних препаратів важливу роль відіграють: тиск, температура, концентрація. Зниження температури якого з процесів прискорює його?
Питання 22
Зображення до питання
Оберіть реагент, який можна використати для отримання ціангідрину ацетону:
Питання 23
У результаті декарбоксилювання амінокислоти гістидину у клітинах утворюється гістамін. За рахунок якого ферменту забезпечується знешкодження даного біогенного аміну?
Питання 24
До аптеки надійшов препарат, який широко використовується для лікування багатьох вірусних захворювань, тому що він не має вірусоспецифічності. Назвіть цей препарат:
Питання 25
Відомо, що травлення білків, жирів та вуглеводів здійснюється за допомогою, відповідно, протеаз, ліпаз та амілаз. В якому із травних соків містяться всі три групи ферментів у достатній для травлення кількості?
Питання 26
Водорозчинні вітаміни в організмі перетворюються у коферментні форми. Коферментною формою якого вітаміну є тіаміндифосфат (ТДФ)?
Питання 27
При обстеженні хворого встановлено діагноз - алкаптонурія. Дефіцитом якого ферменту зумовлена ця патологія?
Питання 28
При проходженні профілактичного медичного огляду у одного із обстежуваних лікар виявив значне послаблення колінного сухожилкового рефлексу. Який відділ ЦНС можливо вражений?
Питання 29
Вкажіть сполуку, якісне визначення якої супроводжується появою синього забарвлення ефірного шару:
Питання 30
Кінетичні методи використовуються для визначення стабільності лікарських препаратів. Визначте порядок реакції, якщо константа швидкості її має розмірність c−1 :
Питання 31
Під час анаеробного гліколізу синтез АТФ відбувається шляхом субстратного фосфорилювання, в процесі якого використовується енергія інших макроергічних сполук. Вкажіть одну з таких сполук:
Питання 32
Під час морської хитавиці у пасажира розвинулася морська хвороба. Із збудження яких рецепторів починаються рефлекси, що зумовили розвиток хвороби?
Питання 33
При визначенні багаторічної трав’янистої рослини родини Ranunculaceaе розчину FeSO4 у присутності виявлено: квітки верхівкові, до 6 см у діаметрі, правильні, чашолистків 5, опушених, фіолетово-зелених, нерівномірно-зубчастих; пелюсток до 20, яскраво-жовтих, блискучих, без медової ямки. Що це за рослина?
Питання 34
Деякі лікарські препарати є колоїдними розчинами. До колоїдно- дисперсних відносяться системи, розмір частинок яких знаходиться у межах:
Питання 35
Характерна особливість механічних тканин рослин полягає в тому, що вони складаються в основному із мертвих клітин, але існує один тип механічних тканин, який складається із живих клітин. Які клітини з перелічених типів механічних тканин містять живий протопласт?
Питання 36
Виражений дефіцит аскорбінової кислоти призводить до розвитку цинги. Порушення синтезу якого білку сполучної тканини полягає в основі даної патології?
Питання 37
У хворого, який страждає на пневмосклероз, pH крові складає 7,34. Аналіз газового складу крові показав наявність гіперкапнії. Дослідження сечі показало підвищення її кислотності. Яка форма порушення кислотно-лужного стану має місце у хворого?
Питання 38
Високомолекулярні речовини за певних умов утворюють драглі, які широко використовуються при виготовленні лікарських форм. Яке явище відбувається при старінні драглів?
Питання 39
При систематичних інтенсивних фізичних навантаженнях вміст жиру в жировій тканині зменшується. Він виходить із клітин у кров у формі:
Питання 40
В експерименті у тварин після перев’язки загальної жовчної протоки припиняється надходження жовчі до 12-палої кишки. Гідроліз яких речовин буде порушуватися при цьому?
Питання 41
При аналізі суміші катіонів IV аналітичної групи катіони Zn при певних умовах можна визначити дрібним методом з таким реагентом:
Питання 42
Після перенесеного вірусного гепатиту для запобігання жирового переродження печінки хворому слід призначити ліпотропні фактори. Вкажіть один з них:
Питання 43
Ферменти (біологічні каталізатори) застосовують як фармакологічні препарати. Який механізм дії ферментів в біохімічних реакціях?
Питання 44
Зображення до питання
Для одержання етеру фенолу на феноксид натрію треба подіяти:
Питання 45
З якою із наведених сполук реагує пропан при заданих умовах?
Питання 46
Оберіть пару титрантів для кількісного визначення амоніаку у розчині методом зворотного титрування:
Питання 47
Хворий 45-ти років висловлює скарги на нудоту, відрижку "тухлим", періодичне блювання, метеоризм. При фракційному дослідженні секреторної функції шлунка виявлена відсутність хлоридної кислоти, ферментів. Яка патологія шлунково-кишкового тракту має місце у хворого?
Питання 48
Пацієнту призначено конкурентний інгібітор ацетилхолінестерази. Назвіть його:
Питання 49
Дисперсні системи використовуються у фармацевтичній практиці. Методом підтвердження колоїдного стану є проходження світла через систему. При цьому пучок світла:
Питання 50
У хворої на гіпертонічну хворобу спостерігаються підвищення артеріального тиску до 180/110 мм рт.ст., задишка, ціаноз, тахікардія; межі серця розширені вліво, у легенях - вологі хрипи. Які ознаки термінової компенсації серцевої недостатності мають місце в хворої?
Питання 51
До розчину, що містить аніони другої аналітичної групи, додали розчин аргентуму нітрату. Утворився чорний осад, нерозчинний в розчині амоніаку, але розчинний при нагріванні в розведеній нітратній кислоті. Які аніони присутні в розчині?
Питання 52
У однієї з досліджених рослин квітка зигоморфна, віночок метеликового типу. Ця рослина має назву:
Питання 53
Визначено, що в насінні без ендосперму і перисперму поживні речовини нагромаджені в:
Питання 54
Вкажіть реагент, що дозволяє при лужному гідролізі жирів (омиленні) отримати "рідке мило":
Питання 55
В гострому досліді на ізольованому серці видно, що воно продовжує скорочуватись навіть після видалення з організму. Через наявність якої властивості міокарда має місце цей ефект?
Питання 56
При морфологічному дослідженні суцвіття встановлено, що його квітки прикріплені до однієї вісі на різних рівнях, але за рахунок різної довжини квітконіжок розташовані в одній площині і утворюють:
Питання 57
Укажіть стандартні розчини, які в йодометрії використовують для прямого і зворотного титрування відновників:
Питання 58
При фармацевтичному синтезі застосовують прості і складні реакції. Вкажіть порядок простої реакції виду 2A + B = 3D:
Питання 59
Під час мікроскопії покривної тканини гілочки виявлені корок і фелодерма. Це похідні:
Питання 60
Біохімічна функція водорозчинних вітамінів залежить від їх здатності перетворюватися у коферментні форми. В яку коферментну форму може перетворюватися вітамін B2 (рибофлавін)?
Питання 61
При мікроскопічному дослідженні первинної кори кореня у всисній зоні виявлено, що основну її масу складає багатошарова жива пухка паренхіма з крохмальними зернами. Це:
Питання 62
Водно-спиртові суміші широко застосовуються в медичній та фармацевтичній практиці. Вони відносяться до азеотропів. Яка особливість азеотропних сумішей?
Питання 63
У досліджуваного, який виходить з тривалого голодування, визначали обмін азоту. Який найбільш імовірний результат можна очікувати?
Питання 64
У хворого 50-ти років внаслідок тривалого нераціонального харчування розвинувся гіповітаміноз C. Зниження активності якого ферменту лежить в основі ураження сполучної тканини при цій патології?
Питання 65
Хворий скаржиться на біль за грудниною, потовиділення та посилене серцебиття. Які з перелічених ферментів слід визначити в крові для підтвердження діагнозу інфаркту міокарда?
Питання 66
Ферум (II) сульфат входить до складу засобів, які застосовують при лікуванні ферумдефіцитної анемії. З якою з наведених сполук реагує FeSO4?
Питання 67
Для лікування виразкового процесу рогівки хворому призначили антибіотик тваринного походження. Як називається цей препарат?
Питання 68
У досліді подразнюють симпатичний нерв, який іннервує серце. Які зміни в роботі серця будуть реєструватися?
Питання 69
Реакція перетворення толуолу в бензойну кислоту відбувається за умов:
Питання 70
Етіологічними факторами інфекційних захворювань можуть бути мікроорганізми з різною ультраструктурою. Які з нижче перерахованих груп мікробів відносяться до еукаріот?
Питання 71
Розчин арсенату натрію можна відрізнити від розчину арсеніту за допомогою наступного реактиву:
Питання 72
У корені виявлена тканина, яка має кореневі волоски; продихи і кутикула відсутні. Що це за тканина
Питання 73
При дослідженні антибіотикограми чистої культури бактерій сальмонел виявлено множинну резистентність до антибіотиків. Який фактор міг спричинити це явище?
Питання 74
Сполука складу С7H8O до похідних ароматичних вуглеводів та не утворює забарвлення з FeCl3 , при окисненні вона утворює бензойну кислоту. Що це за сполука?
Питання 75
Зображення до питання
При сульфуванні нафталіну концентрованою сульфатною кислотою при температурі вищій за 160oC утворюється:
Питання 76
Який з адсорбентів найбільш ефективний при абсорбції речовини з водного розчину?
Питання 77
Яким методом титриметричного аналізу можна провести кількісне визначення сірчаної кислоти розчином калію гідроксиду?
Питання 78
Перед зануренням у воду досвідчені нирці роблять декілька глибоких вдихів. Вони роблять це для:
Питання 79
Утворення первинної сечі в нирках відбувається внаслідок фільтрації у ниркових тільцях. Які компоненти плазми крові відсутні у первинній сечі?
Питання 80
Під час санітарно-біологічного дослідження повітря аптеки у ньому був виявлений санітарно-показовий мікроорганізм. Назвіть його:
Питання 81
При йодиметричному визначенні формальдегіду у формаліні застосовують зворотне титрування. Надлишок йоду відтитровують стандартним розчином:
Питання 82
При дії диметилгліоксиму на розчин, що містить катіони VI аналітичної групи (кислотно-основна класифікація) спостерігали малинове забарвлення осаду. Який катіон обумовив цей аналітичний ефект?
Питання 83
Технологія виготовлення лікарських препаратів широко використовує явища адсорбції та іонного обміну. Який з іонів вибірково адсорбується з водного розчину на кристалі хлориду срібла?
Питання 84
До клініки був доставлений пацієнт з діагнозом "гострий живіт". Лікар припустив наявність гострого апендициту і призначив терміновий аналіз крові. Який показник підтвердить наявність гострого запалення у хворого?
Питання 85
Хлорофіл - зелений пігмент рослин, є комплексною сполукою. Вкажіть іон-комплексоутворювач у хлорофілі:
Питання 86
У фармацевтичній практиці при виготовленні ряду препаратів потрібен стерильний ізотонічний розчин. Оберіть оптимальний метод для його стерилізації:
Питання 87
Який осмотичний тиск розчинів ліків, що застосовують в медицині як ізотонічні до крові?
Питання 88
Якщо кількість високомолекулярної речовини, що додана до золю дуже мала, то можливе не підвищення, а зниження його стійкості. Це явище одержало назву:
Питання 89
Серце має властивість автоматизму за рахунок наявності атипових кардіоміоцитів, які утворюють провідну систему серця. Який відділ цієї системи є "водієм ритму"серця I порядку?
Питання 90
Чоловік 42-х років, що хворіє на хронічний калькульозний холецистит, скаржиться на різкий біль у правому підребер’ї, свербіж і жовтяничність шкірних покривів, множинні дрібноточкові крововиливи, омилений і знебарвлений кал (стеаторея). Який тип жовтяниці спостерігається у хворого?
Питання 91
При дії на зріз насіння соняшника розчину Судан III з’явилося рожево- помаранчеве забарвлення, що свідчить про наявність у цьому насінні:
Питання 92
При мікроскопічному дослідженні листка фікуса в деяких клітинах епідерми виявлено внутрішній виріст клітинної оболонки зі скупченням кристалів, які при дії хлористоводневої кислоти розчиняються з виділенням вуглекислого газу. Ця структура:
Питання 93
У результаті тривалого перебування на свіжому повітрі в дуже теплому одязі у дитини підвищилася температура тіла, розвинулася загальна слабкість. Яка форма порушення терморегуляції спостерігається у даному випадку?
Питання 94
У хворого спостерігається брадикардія, помірно виражені гіпотензія, зниження основного обміну, набряки. Яке із порушень може спричинити такий синдром?
Питання 95
Відібраний монокарпний однонасінний плід, у якого ендокарпій твердий, склерифікований, а мезокарпій - соковитий. Це:
Питання 96
У хворого після автомобільної катастрофи артеріальний тиск становить 70/40 мм рт.ст., добовий діурез - близько 300 мл. Який механізм розвитку олігурії в даному випадку?
Питання 97
Зараження куриних ембріонів є основним методом виділення вірусу грипу. Для пригнічення супутньої бактеріальної флори у досліджуваному матеріалі (змиві з носоглотки) до нього попередньо додають:
Питання 98
Дитина 5-ти років, повернувшись з дитячого садочку, відчула слабкість, головний біль; підвищилась температура до 37, 5oC. Який це період розвитку хвороби?
Питання 99
Оберіть вихідну сполуку для синтезу фталевої кислоти в одну стадію:
Питання 100
У хворого з гострою пневмонією має місце набряк і ущільнення легеневої тканини. Які клітини першими інфільтрують зону запалення і забезпечують ефективний захист від бактеріальної інфекції?
Питання 101
При взаємодії аніліну з надлишком бромної води утворюється осад білого кольору. Яка речовина утворилася?
Питання 102
Монооксигеназна система мембран ендоплазматичного ретикулуму гепатоцитів включає флавопротеїн НАДФ-цитохром, Р-450-редуктазу і цитохром Р-450. Вона сприяє інактивації біологічно-активних речовин або знешкодженню токсичних сполук, каталізуючи реакції:
Питання 103
У пологовому будинку новонародженим для профілактики туберкульозу ввели вакцину. Яка вакцина була використана?
Питання 104
Нестероїдні протизапальні засоби використовують у медичній практиці для лікування ревматоїдного артриту, остеоартрозу, запальних захворювань сполучної тканини. Активність якого ферменту гальмують ці препарати?
Питання 105
Досліджувана суміш містить іони Cl-,Br- та І- в еквімолярних калькотях.Послідовність утворення осадів при аргентометричному титруванні буде визначатися:
Питання 106
У відповідності з вимогами Державної Фармакопеї стерильними мають бути засоби: очні, для парентерального застосування, а також субстанції і допоміжні речовини, що використовуються для їх виготовлення. Який метод використовують для контролю їх сте- рильності?
Питання 107
Зображення до питання
Який продукт утворюється за умов реакції Вагнера при оксидації алкенів перманганатом калію у водному середовищі?
Питання 108
Який іонний механізм забезпечує розвиток фази деполяризації потенціалу дії?
Питання 109
Жінка похилого віку скаржиться на погіршення зору в сутінках. Який з перелічених вітамінів доцільно призначити в даному випадку?
Питання 110
Студенти, розглядаючи будову кореня, звернули увагу на ділянку, поверхневі клітини якого утворили вирости - кореневі волоски. Про яку зону кореня йдеться?
Питання 111
Зображення до питання
Серед наведених структурних формул гетероциклічних сполук виберіть бензо-1,4-діазепін:
Питання 112
Під час дослідження гербарних зразків лікарських рослин визначили, що одна з них належить до сімейства Asteraceae. Ця рослина:
Питання 113
Біохімічний сенс трансамінування полягає у тому, що аміногрупи від різних амінокислот збираються у вигляді однієї з амінокислот. Яка це амінокислота?
Питання 114
Виберіть вид рослини, верхівкові пагони якого використовують в медичній практиці для отримання заспокійливих засобів:
Питання 115
До I аналітичної групи катіонів за кислотно-основною класифікацією належать такі катіони:
Питання 116
При запальних процесах в жовчному міхурі порушуються колоїдні властивості жовчі. Це може призвести до утворення жовчних каменів. Кристалізація якої речовини є однією з причин їх утворення ?
Питання 117
Титрант методу комплексонометрії - розчин трилону Б - утворює з катіонами металів, незалежно від їх валентності, комплексні сполуки у молярному співвідношенні:
Питання 118
Амінотрансферази є ферментами, які переносять амінну групу з однієї сполуки на іншу. Вкажіть, яка сполука є акцептором аміногруп:
Питання 119
Під мікроскопом на зубчиках листка виявлені секреторні структури, які виділяють краплі рідини. Яку назву мають ці структури?
Питання 120
Дитині 6-ти місяців лікар призначив лікарський препарат для прийому всередину. Яка максимальна кількість бактерій і грибів допустима у 1 г цього препарату у відповідності з вимогами ВООЗ і Фармакопеї?
Питання 121
В експерименті спостерігається стійке скорочення міофібрил м’язових клітин за рахунок накопичення в цитоплазмі іонів:
Питання 122
3-амінопропанова кислота входить до складу пантотенової кислоти - компоненту коферменту А. Визначить тип реакції, яка має місце при нагріванні цієї кислоти?
Питання 123
У пацієнтки щорічно в період цвітіння трав виникає гостре катаральне запалення кон’юнктиви очей та слизової оболонки порожнини носа, що є проявом алергії. До якого типу алергійних реакцій можна віднести ці симптоми?
Питання 124
При проведенні реакції нітрування аніліну його попередньо ацилюють з метою захисту аміногрупи від процесів окиснення. Який з нижче перерахованих реагентів при цьому використовують?
Питання 125
Зображення до питання
Наведена реакція називається реакцією:
Питання 126
30-ти річному чоловікові, який хворіє на туберкульоз легень, призначено ізоніазид. Недостатність якого вітаміну може розвинутися внаслідок тривалого вживання даного препарату?
Питання 127
З лікарської рослини виділений фітопатогенний мікроорганізм, що утворює на поживному середовищі колонії у вигляді "яєчні-глазун’ї". Вкажіть найбільш імовірного збудника
Питання 128
Розділення катіонів V і VI аналітичних груп (кислотно-основна класифікація) в систематичному ході аналізу проводять при дії надлишку:
Питання 129
Для вибору індикатора у методі кислотно-основного титрування будують криву титрування, яка відображає залежність:
Питання 130
Під час дослідження крові у групи альпіністів, які беруть участь у сходженні на вершину, було відзначено еритроцитоз, збільшення кількості гемоглобіну. Який тип гіпоксії призвів до стимуляції еритропоезу у кістковому мозку?
Питання 131
У хворого 40-ка років з ішемічною хворобою серця і захворюванням судин (облітеруючий ендартеріїт) під час огляду нижніх кінцівок виявлені блідість і дистрофічні зміни шкіри, зниження місцевої температури, порушення чутливості, біль. Яке порушення периферичного кровообігу має місце у хворого?
Питання 132
Собаці під час досліду ввели препарат, який зменшив секрецію і моторику шлунка. Який це препарат?
Питання 133
Слизова структура, яка щільно пов’язана з клітинною стінкою бактерій і має чітко відокремлену зовнішню межу, може бути виявлена під час забарвлення мазка за методом Бурі-Гінса. Як називається цей елемент бактеріальної клітини?
Питання 134
У квітці розглянутий андроцей, що складається з двох довгих і двох коротких тичинок. Отже, андроцей квітки:
Питання 135
З метою ранньої діагностики вагітності досліджується сеча жінки. Наявність якого гормону буде вірогідно свідчити про вагітність?
Питання 136
Пацієнту при психозі призначено нейролептик аміназин. Основним шляхом біотрансформації цього препарату в організмі є індукція реакцій мікросомального окиснення. Вкажіть головний компонент цієї системи:
Питання 137
Приготована емульсія лікарської речовини має розмір частинок дисперсної фази 10−6 м. До якого типу дисперсних систем (класифікація за ступенем дисперсності) слід віднести дану лікарську форму?
Питання 138
Необхідно визначити кількість саліцилату натрію у розчині. Який метод титриметричного аналізу можна використати для кількісного визначення ароматичних сполук?
Питання 139
Нітритометричне визначення кількісного вмісту сполук, що мають первинну ароматичну аміногрупу, відбувається за умови:
Питання 140
Таблетований лікарський препарат після бактеріологічного дослідження був визнаний непридатним для використання, хоча його загальна мікробна заселеність не перевищувала норму. Виявлення яких мікроорганізмів у препараті дозволило зробити такий висновок?
Питання 141
Фільтрувальний папір, просякнутий розчином кобальту (II) нітрату і досліджуваним розчином після спалювання утворює попіл синього кольору. Це доводить наявність іонів:
Питання 142
Для виявлення іонів Сo2+ в присутності Fe3+ для маскування іонів Fe3+ до розчину додають:
Питання 143
Транспортною формою ліпідів у крові є ліпопротеїни. У вигляді якого комплексу переважно транспортується холестерин до печінки?
Питання 144
За допомогою якого реагенту можна відрізнити пропін (CH3 − C ≡ CH) від пропена (CH3 − CH = CH2)?
Питання 145
Зображення до питання
Яка сполука утворюється в результаті реакції:
Питання 146
При визначенні хлориду натрію за методом Фольгарда застосовують такі методи:
Питання 147
Внаслідок ушкодження хребта у хворої спостерігається відсутність довільних рухів у ногах. Виявлені порушення носять назву:
Питання 148
Аміди є слабкими NH-кислотами. Під час взаємодії з яким з наведених реагентів вони утворюють солі?
Питання 149
Зображення до питання
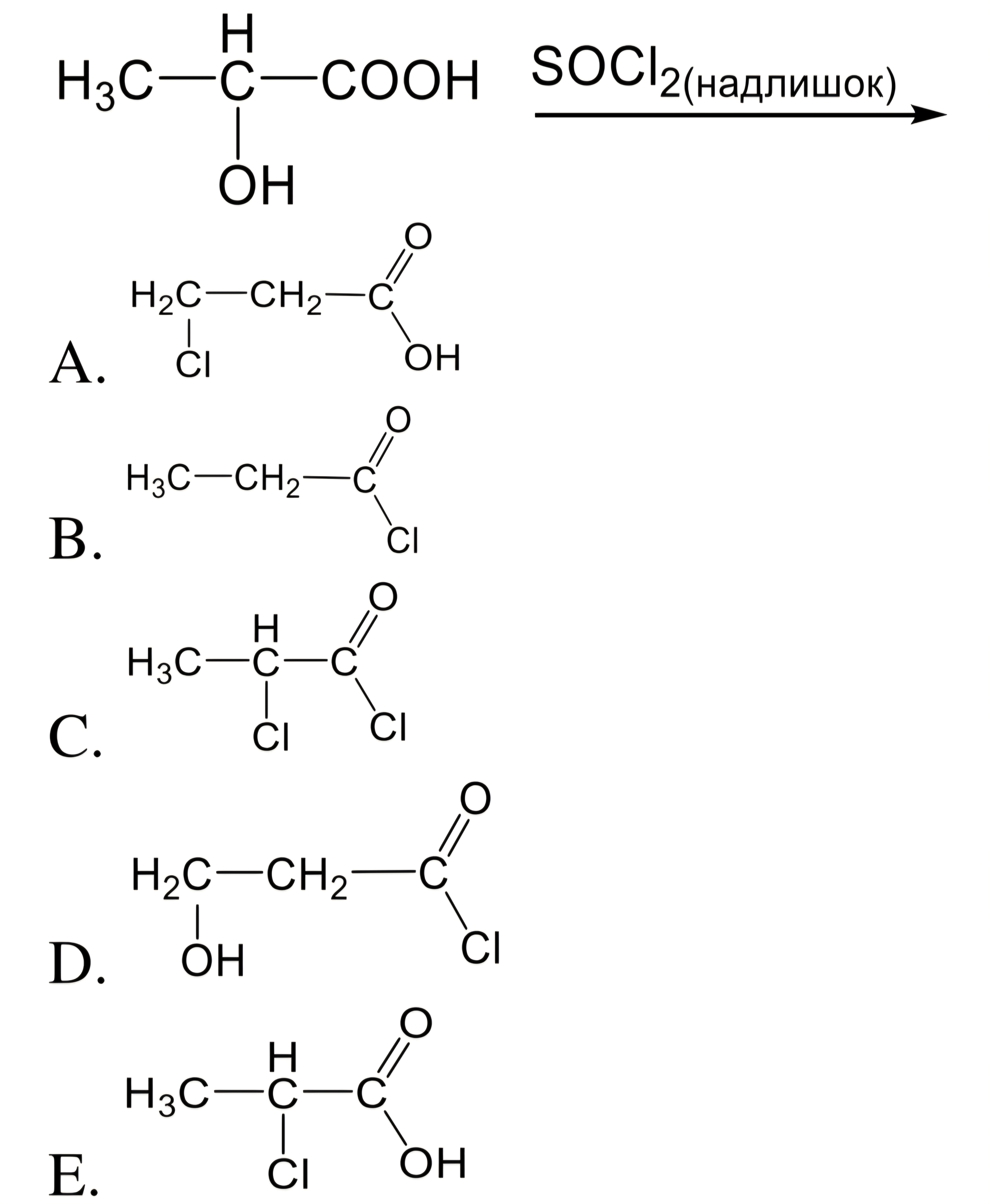
Вкажіть сполуку, що утворюється при взаємодії молочної кислоти з надлишком SOCl2:
Питання 150
Людині ввели курареподібну речовину, що викликає розслаблення всіх скелетних м’язів. Що є причиною цього?
Питання 151
Зображення до питання
Вкажіть вид ізомерії, характерний для олеїнової кислоти:
Питання 152
Гепарин - антикоагулянт прямої дії, який знижує швидкість згортання крові та протидіє тромбоутворенню. Його дія заснована на явищі:
Питання 153
Вкажіть кінцевий продукт хлорування метану:
Питання 154
При обстеженні у хворого виявлено підвищення вмісту ліпопротеїнів низької густини в сироватці крові. Наявність якого захворювання можна чекати у цього хворого?
Питання 155
У дитини з вираженою гіпотрофією виникли набряки на нижніх кінцівках, асцит. Якою є провідна ланка патогенезу кахектичного набряку у дитини?
Питання 156
Нефрон є структурною і функціональною одиницею нирки. У якій його частині здійснюється процес фільтрації?
Питання 157
З харкотиння хворого з високою температурою, ознобом, кашлем виділили грамнегативні палички овоїдної форми з біполярним забарвленням, що мають ніжну капсулу. Який діагноз можна припустити?
Питання 158
Для визначення лікарських засобів, які містять катіони магнію та кальцію, застосовують трилонометричне титрування. Який тип хімічної реакції при цьому відбувається?
Питання 159
Лікарська рослина, що визначається, має плід коробочку з молочниками, яка розкривається маленькими отворами. Ця рослина називається:
Питання 160
Зображення до питання
Трифенілметан відноситься до:
Питання 161
У резус-позитивної дитини, народженої від резус-негативної жінки (вагітність II), спостерігаються жовте забарвлення шкіри, патологічні рефлекси, судоми. Вміст непрямого білірубіну в крові збільшений. Жовтяниця якого типу має місце у дитини?
Питання 162
У хірургічній практиці при проведенні складних операцій для розслаблення скелетних м’язів використовуються курареподібні речовини. Які структури блокують ці речовини?
Питання 163
Іони якого хімічного елементу впливають на електролітний баланс тканин мозку і яка сіль цього елемента використовується для лікування психічних захворювань?
Питання 164
Як називається емульсія, частинки дисперсної фази якої є деформованими і мають вигляд поліедрів?
Питання 165
За яких умов обмежене набрякання желатини переходить у необмежене?
Питання 166
Плід цитрусових характеризується залозистим екзокарпієм, губчастим мезокарпієм і ендокарпієм, що розрісся і складається з сокових мішечків. Цей плід називається:
Питання 167
В експерименті на собаці з фістулою шлунку необхідно збільшити секрецію шлункового соку. Що з наведеного для цього доцільно ввести у шлунок?
Питання 168
Метод "прискореного старіння ліків", який застосовується для дослідження термінів придатності лікарських засобів, грунтується на:
Питання 169
Через клітинну мембрану здійснюється пасивний і активний транспорт речовин. Назвіть вид активного транспорту, при якому мембрана змінює свою структуру:
Питання 170
Підшлункова залоза виділяє фермент, який здатний гідролізувати α-1,4- глікозидні зв’язки в молекулі глікогену. Вкажіть цей фермент:
Питання 171
У відповідності з вимогами ВООЗ та Фармакопеї України у вушних краплях кількість мікроорганізмів в 1 мл препарату не повинна перевищувати такої кількості мікробних клітин (бактерій та грибів):
Питання 172
Щитоподібна залоза синтезує гормон, що знижує рівень Ca2+ в крові, що сприяє відкладенню його у кістках. Який це гормон?
Питання 173
Лікар запідозрив у пацієнта черевний тиф. Який метод лабораторної діагностики найбільш доцільно використати для підтвердження діагнозу у перший тиждень захворювання?
Питання 174
Робітник асфальтового заводу 57- ми років скаржиться на слабкість, кашель з виділенням харкотиння з домішкою крові, біль у грудній клітці. Встановлено діагноз: рак легень. Назвіть перший етап канцерогенезу:
Питання 175
На практичному занятті студенти помістили ізольоване серце жаби в розчин. Внаслідок цього відбулась зупинка серця в діастолі. В який розчин було занурено серце?
Питання 176
У жінки 45-ти років часті маткові кровотечі, спостерігається загальна слабкість, задишка, тахікардія, біль у ділянці серця. У крові: ер.- 3 · 109/л, Hb- 70 г/л, КП- 0,7. В мазку переважають гіпохромні еритроцити, мікроцити. Який тип анемії за механізмом розвитку у хворої?
Питання 177
У студента після гіпервентиляції виникло запаморочення. Які зміни у крові, перш за все, зумовлюють цей ефект?
Питання 178
Якість лікарських препаратів оцінюють за рядом показників, включаючи "мікробіологічну чистоту". Укажіть лікарські форми, в яких допускається значно більша, у порівнянні з іншими формами, кількість сапрофітних бактерій: