MDstuds

2011 - Основна сесія

2011 - Основна сесія
Питань: 182
182:00
Питання 1 з 182
Питання 1
У розчині, що містить катіони міді (II) і цинку, катіони міді можна визначити за допомогою надлишку такого реагенту:
Питання 2
У квітці розглянутий андроцей, що складається з двох довгих і двох коротких тичинок. Отже, андроцей квітки:
Питання 3
До лікаря звернувся пацієнт зі скаргами на сонячні опіки, зниження гостроти зору. Волосся, шкіра і очі не мають пігментації. Встановлений діагноз - альбінізм. Дефіцит якого ферменту має місце у пацієнта?
Питання 4
Серце має властивість автоматизму за рахунок наявності атипових кардіоміоцитів, які утворюють провідну систему серця. Який відділ цієї системи є "водієм ритму"серця I порядку?
Питання 5
Груповим реактивом на катіони VI аналітичної групи (кислотно-основна класифікація) Co2+, Ni2+, Cd2+, Cu2+, Hg2+ є надлишок концентрованого амонію гідроксиду. При цьому спостерігається утворення:
Питання 6
У розчині присутні катіони цинку і алюмінію. Вкажіть реагент, який дозволяє виявити в цьому розчині катіони цинку:
Питання 7
Вкажіть число ступенів свободи перетинання лінії ліквідусу з віссю ординат діаграми стану двокомпонентної системи:
Питання 8
Для зняття бронхоспазму препаратами вибору є такі, що активують:
Питання 9
Згідно з вимогами ВООЗ та Фармакопеї в різних лікарських формах нестерильних препаратів допускається певна кількість бактерій та грибів. Яка кількість сапрофітних бактерій та грибів у 1 г (мл) перорального препарату гарантує його безпеку?
Питання 10
Хворому 3 роки тому був поставлений діагноз хронічний гломерулонефрит. Протягом останніх 6-ти місяців з’явились набряки. Що лежить в основі їх розвитку?
Питання 11
До звукових зовнішніх проявів роботи серця відносяться серцеві тони. Що є причиною виникнення II тону?
Питання 12
Значна частина випадків аліментарного голодування супроводжується розвитком виражених набряків. Який із патогенетичних механізмів розвитку набряків є провідним у даному випадку?
Питання 13
На занятті студентам видані гербарні зразки рослин, серед яких вони визначили ту, що належить до родини Brassicaceae. Це:
Питання 14
Який осмотичний тиск мають розчини, що використовуються в медицині як ізотонічні або кровозамінники?
Питання 15
Людині ввели курареподібну речовину, що викликає розслаблення всіх скелетних м’язів. Що є причиною цього?
Питання 16
В експерименті виміряли концентрацію різних іонів в цитоплазмі нервової клітини. Найбільшою виявилася концентрація іонів:
Питання 17
Вкажіть порядок і молекулярність реакції гідролізу сахарози: C12H22O11 + H2O = C6H12O6 (фруктоза) + C6H12O6 (глюкоза):
Питання 18
Висока токсичність амоніаку для нейронів ЦНС зумовлюється гальмуванням циклу трикарбонових кислот. Причиною є зв’язування амоніаку з наступним компонентом циклу:
Питання 19
У результаті декарбоксилювання амінокислоти гістидину у клітинах утворюється гістамін. За рахунок якого ферменту забезпечується знешкодження даного біогенного аміну?
Питання 20
Одним з важливих етапів у вивченні фізико-хімічних властивостей води є аналіз її діаграми стану. Які фази знаходяться у рівновазі у потрійній точці на діаграмі стану води?
Питання 21
При дослідженні складу сечі виявили зменшення концентрації іонів натрію. Який з гормонів забезпечує посилення реабсорбції іонів натрію у звивистих канальцях нефрону?
Питання 22
Зображення до питання
Вкажіть продукт наступної взаємодії:
Питання 23
У відповідності до вимог ВООЗ і Фармакопеї України деякі лікарські форми мають бути стерильними. Які з нижче перерахованих відносяться до таких форм?
Питання 24
Хворий скаржиться на поліурію (5 л сечі на добу) і спрагу. Вміст глюкози в крові - 5,1 ммоль/л, питома вага сечі 1,010. Глюкоза та кетонові тіла в сечі відсутні. Для якого стану характерні вказані показники?
Питання 25
У хворого діагностований рак правої легені і призначено оперативне лікування. Після операції (правобічна пульмонектомія) у хворого з’явилась виражена задишка. Яка форма дихальної недостатності розвинулась у хворого?
Питання 26
При виготовленні деяких лікарських форм необхідно враховувати величину осмотичного тиску. Який з перерахованих 0,01 М розчинів має найбільший осмотичний тиск?
Питання 27
Під час профілактичного обстеження у жінки встановлено збільшення щитоподібної залози, екзофтальм, підвищення температури тіла, збільшення частоти серцевих скорочень до 110/хв. Вміст якого гормону в крові доцільно перевірити?
Питання 28
Нітритометричне визначення кількісного вмісту сполук, що мають первинну ароматичну аміногрупу, відбувається за умови:
Питання 29
Визначення кінцевої точки титрування в редокс-методах здійснюють: безіндикаторним методом, за допомогою специфічних індикаторів та редокс-індикаторів. Як визначають кінцеву точку титрування у йодометрії?
Питання 30
Для кількісного визначення лікарських речовин використовують метод ацидиметрії, титрантом якого є вторинний стандартний розчин хлоридної кислоти. Точну концентрацію хлоридної кислоти встановлюють за:
Питання 31
Зображення до питання
Яка з наведених сполук у результаті лужного гідролізу (H2O, OH−) утворює пропіоновий альдегід?
Питання 32
Сульфаніламіди широко використовуються як бактеріостатичні засоби. Механізм протимікробної дії сульфаніламідних препаратів ґрунтується наст руктурній подібності їх з:
Питання 33
При обстеженні хворого встановлено діагноз - алкаптонурія. Дефіцитом якого ферменту зумовлена ця патологія?
Питання 34
Зображення до питання
За яким механізмом буде бромуватись ароматичне ядро толуолу?
Питання 35
Існують два основні види пухлин по відношенню до організму: доброякісні та злоякісні. Яка з перелічених властивостей пухлин відрізняє злоякісні від доброякісних?
Питання 36
Для лікування дисбактеріозу використовують колібактерін. Цей препарат містить кишкову паличку, що здатна виробляти бактеріоцини. Наявністю яких структур це зумовлене?
Питання 37
У хворого встановлено підвищення в плазмі крові вмісту загального білірубіну за рахунок непрямого, в калі та сечі - високий вміст стеркобіліну, рівень прямого білірубіну в крові в межах норми. Про яку жовтяницю слід думати?
Питання 38
На польовій практиці студент виявив рослину, що має суцвіття з дископодібно розрослою віссю, сидячими квітками і листковою обгорткою, тобто це суцвіття:
Питання 39
При мікроскопічному дослідженні і гістохімічному аналізі фіолетових пелюсток у клітинному соці виявлений пігмент:
Питання 40
Для лікування та профілактики атеросклерозу застосовують препарати різних груп. До гіпохолестеринемічних препаратів ліпідної природи можна віднести:
Питання 41
Досліджуваний розчин з родизонатом натрію утворює червоно-буру пляму, яка червоніє в результаті дії розчину хлоридної кислоти. Наявність якого катіону це підтверджує?
Питання 42
Згідно правила Панета-Фаянса, на поверхні кристалічного твердого адсорбенту з розчину адсорбується той іон, який:
Питання 43
Зображення до питання
Для якої з наведених сполук можлива геометрична ізомерія?
Питання 44
При мікроскопії поперечного зрізу вегетативного органу виявлена перидерма, добре розвинена запасаюча паренхіма, слабко розвинені механічні і провідні тканини, кора не містить хлоренхіми. Це зріз:
Питання 45
Фітопатогенні мікроорганізми викликають захворювання рослин, що призводить до псування лікарської сировини. Назвіть основне місце перебування фітопатогенів у природі:
Питання 46
На поперечному зрізі стебла гарбуза добре помітні відкриті провідні пучки, що мають дві ділянки флоеми - зовнішню і внутрішню. Такі пучки називаються:
Питання 47
При аналізі аніонів I-III аналітичних груп систематичний хід аналізу необхідний при сумісній присутності:
Питання 48
У дванадцятипалій кишці під впливом ферментів підшлункової залози відбувається перетравлення різних компонентів їжі. Який з перерахованих ферментів гідролізує глікозидні зв’язки вуглеводів?
Питання 49
Для виготовлення нестерильних лікарських препаратів часто використовують допоміжні речовини рослинного і тваринного походження, та різні субстанції. Присутність яких мікроорганізмів категорично не допускається в допоміжних речовинах?
Питання 50
Антидепресанти здатні збільшувати вміст катехоламінів у синаптичній щілині. У чому полягає механізм дії цих препаратів?
Питання 51
У хворого має місце хронічна постгеморагічна анемія, що супроводжується зниженням концентрації сироваткового заліза, гіпохромією еритроцитів, пойкілота анізоцитозом. Яка величина колірного показника буде мати місце при цьому?
Питання 52
При нагріванні β-оксикарбонових кислот утворюються:
Питання 53
Плід, що аналізується, псевдомонокарпний із здерев’янілим оплоднем і однією насіниною, шкірка якої не зростається з оплоднем. Такий плід носить назву:
Питання 54
Який з факторів у вузькому інтервалі температур відіграє головну роль у збільшенні швидкості реакції при підвищенні температури?
Питання 55
Підберіть придатний методичний прийом, якщо речовина реагує з титрантом швидко, але не стехіометрично:
Питання 56
Зображення до питання
Вкажіть назву сполуки згідно з замісниковою номенклатурою ІЮПАК
Питання 57
Яким методом титриметричного аналізу можна провести кількісне визначення сірчаної кислоти розчином калію гідроксиду?
Питання 58
У чоловіка 38-ми років, що страждає на ожиріння і споживає жирне м’ясо, яйця, масло, виявлені камені в жовчній протоці. З підвищенням концентрації якої речовини в жовчі це пов’язано?
Питання 59
Арсеніт та арсенат-іони входять до складу деяких фармацевтичних препаратів. Фармакопейною реакцією для виявлення названих іонів є реакція з розчином:
Питання 60
Яка координаційна формула сполуки з сумарним складом PtCl4 · 6NH3, якщо координаційне число Pt (IV) дорівнює 6?
Питання 61
При визначенні типу і особливостей провідних пучків вісьових органів враховане взаємне розташування флоеми і ксилеми та ...
Питання 62
Одна з відмітних ознак Hyperіcum perforatum - наявність на пелюстках і листях добре видимих неозброєним оком:
Питання 63
Через 120 хвилин після прийому їжі в регуляції шлункової секреції переважають гуморальні механізми. За рахунок секреції яких гормонів найбільш реалізується цей механізм?
Питання 64
Дитині 6-ти місяців лікар призначив лікарський препарат для прийому всередину. Яка максимальна кількість бактерій і грибів допустима у 1 г цього препарату у відповідності з вимогами ВООЗ і Фармакопеї?
Питання 65
Відомо, що інфекційний гепатит В - системне захворювання, що викликане вірусом гепатиту В та характеризується переважним ураженням печінки. З запропонованого нижче списку оберіть препарати для етіотропної терапії цієї інфекції:
Питання 66
Обмін арахідонової кислоти супроводжується утворенням біологічно активних сполук. Вкажіть сполуки, що утворюються за участю ліпооксигеназного шляху:
Питання 67
Відомо, що деякі хімічні сполуки роз’єднують тканинне дихання та окисне фосфорилювання. Назвіть одну з таких сполук:
Питання 68
Хвора на хронічну ниркову недостатність скаржиться на втрату апетиту, блювання, пронос, загальну слабкість, нестерпне свербіння шкіри. Який із перелічених механізмів є головним у виникненні цих симптомів?
Питання 69
У медичній практиці використовуються сульфаніламідні препарати, що є антиметаболітами параамінобензойної кислоти, яка синтезується мікроорганізмами. Синтез якого вітаміну при цьому блокується?
Питання 70
У флоемі стебла виявлені групи щільнозімкнутих прозенхімних клітин з загостреними кінцями, рівномірно потовщеними, шаруватими, частково здерев’янілими оболонками. Це:
Питання 71
Після переохолодження у чоловіка 32-х років з’явилися загальне нездужання, головний біль, озноб, блідість шкірних покривів, підвищилась температура тіла до 38, 3oC. Яка стадія лихоманки спостерігається у хворого?
Питання 72
Зображення до питання
Вкажіть реакцію, за якою можна одержати саліцилову кислоту:
Питання 73
До другої групи катіонів належать катіони Pb2+, Ag+, Hg2+. Який розчин 2 буде груповим реагентом на другу групу катіонів:
Питання 74
Таблетований лікарський препарат після бактеріологічного дослідження був визнаний непридатним для використання, хоча його загальне мікробне обсіменіння не перевищувало норму. Виявлення яких мікроорганізмів у препараті дозволило зробити такий висновок?
Питання 75
У якому середовищі відбувається епімеризація моносахаридів (перетворення глюкози на фруктозу і манозу)?
Питання 76
Зображення до питання
Для наведеної сполуки виберіть відповідну назву:
Питання 77
У хворого відмічається послаблення гальмівних процесів у ЦНС, що пов’язано з порушенням утворення гамма-аміномасляної кислоти. Яка речовина є попередником ГАМК?
Питання 78
Людина купається у басейні, де температура води становить +25oC. Який механізм тепловіддачі переважає у неї в даній ситуації?
Питання 79
При спорово-пилковому аналізі серед пилку виявлені спори тетраедричної форми з півкулястою основою і сітчастою поверхнею, які можуть належати:
Питання 80
Укажіть стандартні розчини, які в йодометрії використовують для прямого і зворотного титрування відновників:
Питання 81
Зображення до питання
Вкажіть продукти, які утворюються при дегалогенуванні віцинальних дигалогеналканів при дії металів (цинку або магнію):
Питання 82
Дисбактеріоз кишечнику, викликаний тривалим лікуванням антибіотиками тетрациклінового ряду, супроводжується порушенням обміну жовчних пігментів. Який процес, що відбувається під дією нормальної мікрофлори, при цьому пригнічується?
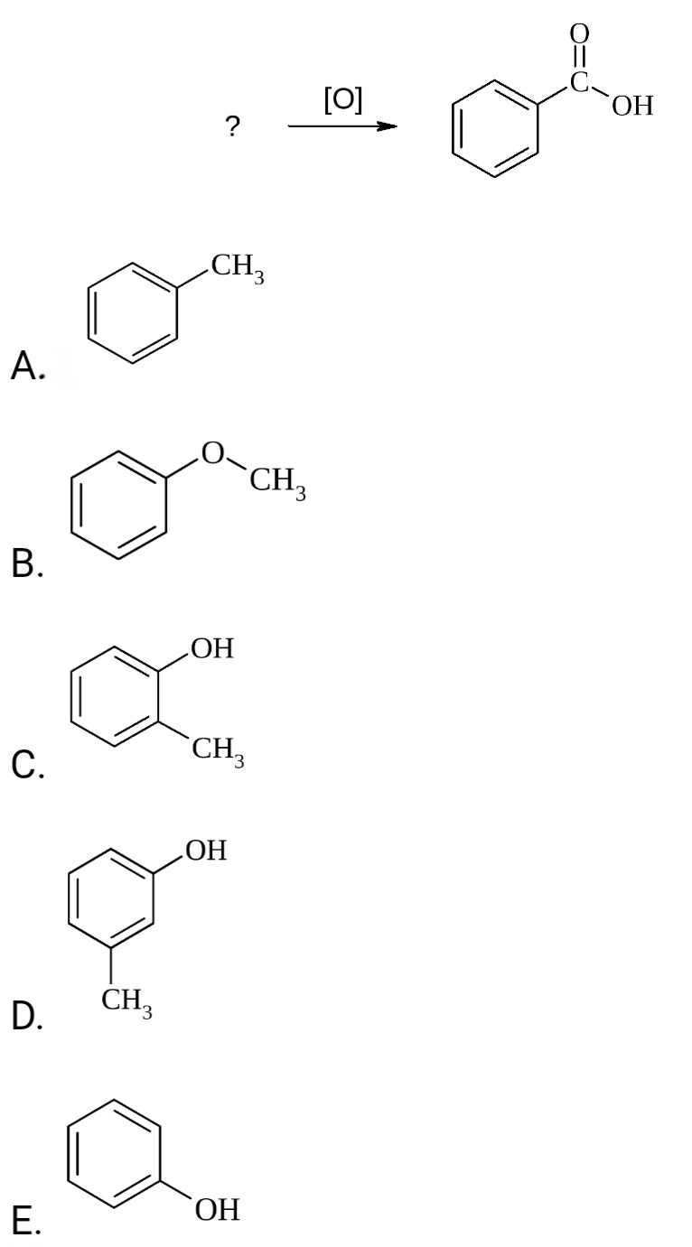
Питання 83
Реакція перетворення толуолу в бензойну кислоту відбувається за умов:
Питання 84
Через декілька хвилин після повторного введення хворому пеніциліну у нього з’явилися ядуха, затерплість язика, запаморочення, гіперемія, а потім блідість шкіри. Що зумовило такий важкий стан хворого
Питання 85
Зображення до питання
Яка сполука утвориться при нагріванні брометану з водним розчином калій гідроксиду?
Питання 86
Лист досліджуваної рослини має плівчастий розтруб, що охоплює основу міжвузловини. Наявність таких видозмінених прилисників є діагностичною ознакою родини:
Питання 87
За вірусних інфекцій в організмі синтезується захисний білок - інтерферон. Одним з механізмів противірусної дії інтерферону є:
Питання 88
До хірургічного кабінету звернулася потерпіла, яку покусав невідомий собака. Широкі рвані рани локалізовані на обличчі. Яку лікувально- профілактичну допомогу потрібно надати для профілактики сказу?
Питання 89
Зображення до питання
При взаємодії з якою з наведених сполук амоніак не утворить ацетаміду:
Питання 90
У хворого в сечі виявили підвищений вміст сечової кислоти. Лікар призначив алопуринол. Вкажіть біохімічний механізм дії цього препарату:
Питання 91
Необхідно провести ідентифікацію суміші, що містить катіони I аналітичної групи (Li+, NH4+, Na+, K+). Який з цих катіонів виявляють реактивом Неслера?
Питання 92
Хворому із закритим переломом плечової кістки накладена гіпсова пов’язка. Через день з’явилися припухлість, синюшність і похолодання кисті травмованої руки. Про який розлад периферичного кровообігу свідчать дані ознаки?
Питання 93
У дитини спостерігається недостатність синтезу ферменту глюкозо- 6-фосфатдегідрогенази. Який метаболічний шлях перетворення вуглеводів порушений у цієї дитини?
Питання 94
В листках досліджуваної рослини по центру проходить чітко виражена головна жилка, від якої рівномірно відходять бічні жилки. Таке жилкування називається:
Питання 95
Обробка рослинного мікропрепарату флороглюцином з концентрованою хлористоводневою кислотою призвела до малиново-червоного забарвлення клітинних оболонок, що вказує на наявність:
Питання 96
Хвора 50-ти років скаржиться на задишку при невеликому фізичному навантаженні, набряки на ногах. Під час обстеження виявлено хронічний міокардит і недостатність кровообігу. Що свідчить про декомпенсацію функції серця у хворої?
Питання 97
Титрантом методу перманганатометрії є 0,1М розчин калію перманганату, який готують як вторинний стандартний розчин. Його стандартизують за:
Питання 98
У людини в стані спокою частота серцевих скорочень дорівнює 40/хв. Яка структура є водієм ритму серця у цієї людини?
Питання 99
Зображення до питання
Cполука відноситься до похідних ароматичних вуглеводнів, не утворює забарвлення з FeCl3 , при окисненні утворює бензойну кислоту. Це:
Питання 100
На підприємстві, що виробляє вакцини, необхідно перевірити якість вакцини БЦЖ - визначити життєздатність бактерій вакцинного штаму. Яке з перелічених поживних середовищ можна використати для контрольного посіву?
Питання 101
В хіміко-аналітичній лабораторії проводять ідентифікацію катіона алюмінію за допомогою реакції з алізарином, з утворенням "алюмінієвого лаку". Який колір має сполука, що утворюється?
Питання 102
У пасажирському літаку на висоті 10000 м відбулася розгерметизація салону. Який вид емболії буде мати місце у людей, що знаходяться у літаку?
Питання 103
Водно-спиртові суміші широко застосовуються в медичній та фармацевтичній практиці. Вони відносяться до азеотропів. Яка особливість азеотропних сумішей?
Питання 104
Жінка звернулася до лікаря зі скаргами на біль у ногах, який з’являється надвечір, набряклість стоп і гомілок. Об’єктивно: шкіра на ногах синюшного кольору, холодна на дотик. Яки тип порушення периферичного кровообігу має місце у даної хворої?
Питання 105
Натрій нітрит використовують у медицині як судинорозширюючий засіб при стенокардії. По відношенню до якої із наведених сполук NaNO2 проявляє властивості відновника?
Питання 106
Вкажіть умови (середовище, t) перебігу реакції при стандартизації розчину калію перманганату за розчином натрію оксалату:
Питання 107
До оптичної системи відноситься структура, яка забезпечує пристосування ока до ясного видіння різновіддалених предметів (акомодація). Як називається ця структура?
Питання 108
У хворого з високою температурою, ознобом, кашлем з харкотиння виділили грампозитивні диплококи ланцетоподібної форми, що мають капсулу. Назвіть передбачуваний збудник:
Питання 109
Тонкі зрізи коренів Inula helenium витримали у 96% розчині етанолу. При їх мікроскопічному дослідженні виявили сферокристали, що вказує на наявність:
Питання 110
Вкажіть медіатори, які виділяються в синапсах рефлекторної дуги парасимпатичних рефлексів:
Питання 111
Зображення до питання
До якого класу органічних сполук відноситься продукт реакції Вагнера:
Питання 112
Термодинамічні розрахунки дозволяють визначити можливість і напрямок самовільних процесів. У ізольованій системі з цією метою використовують зміну такої термодинамічної функції:
Питання 113
Вивчаючи стебло, вкрите перидермою, дослідник переконався, що газообмін здійснюється через . . .
Питання 114
Під час роботи по ліквідації наслідків аварії на АЕС робітник отримав дозу опромінення 500 рентген. Скаржиться на головний біль, нудоту, запаморочення. Які зміни у складі крові можна очікувати у хворого через 10 годин після опромінення?
Питання 115
Обмін гліцерину у тканинах тісно пов’язаний з гліколізом. Який метаболіт проміжного обміну гліцерину безпосередньо включається в гліколіз?
Питання 116
Який зубець електрокардіограми характеризує поширення збудження передсердями серця?
Питання 117
У хірургічній практиці для розслаблення скелетних м’язів при проведенні складних операцій використовуються курареподібні речовини. Яку структуру блокують ці речовини?
Питання 118
Виберіть пару електродів для визначення FeSO4 методом потенціометричного титрування:
Питання 119
При розвитку ПД на мембрані нейрона порушується іонна асиметрія. Який механізм іонного транспорту забезпечує її відновлення?
Питання 120
У парашутиста після стрибка з висоти 2 тисячі метрів визначили час зсідання крові. Він зменшився до 3 хвилин. Збільшення вмісту в крові якої речовини є причиною цього?
Питання 121
Кролю впродовж 6-ти місяців змазували шкіру вуха кам’яновугільною смолою, в наслідок чого розвинувся рак шкіри. Як називається такий метод експериментального відтворення пухлини?
Питання 122
У технології фармацевтичних препаратів важливу роль відіграють: тиск, температура, концентрація. Зниження температури якого з процесів прискорює його?
Питання 123
При бактеріоскопічному дослідженні матеріалу з твердого шанкеру виявили рухомі, тонкі, довгі, звивисті мікроорганізми з рівномірними 8-12 завитками. Вказані властивості мають:
Питання 124
В методах редоксиметрії при визначенні окисників і відновників фіксування точки кінця титрування здійснюють:
Питання 125
Мурашину та оцтову кислоти можна розрізнити за допомогою:
Питання 126
Емульсії класифікують за об’ємною концентрацією дисперсної фази. До якої групи належать емульсії з концентрацією 0,1 - 74,0% об.?
Питання 127
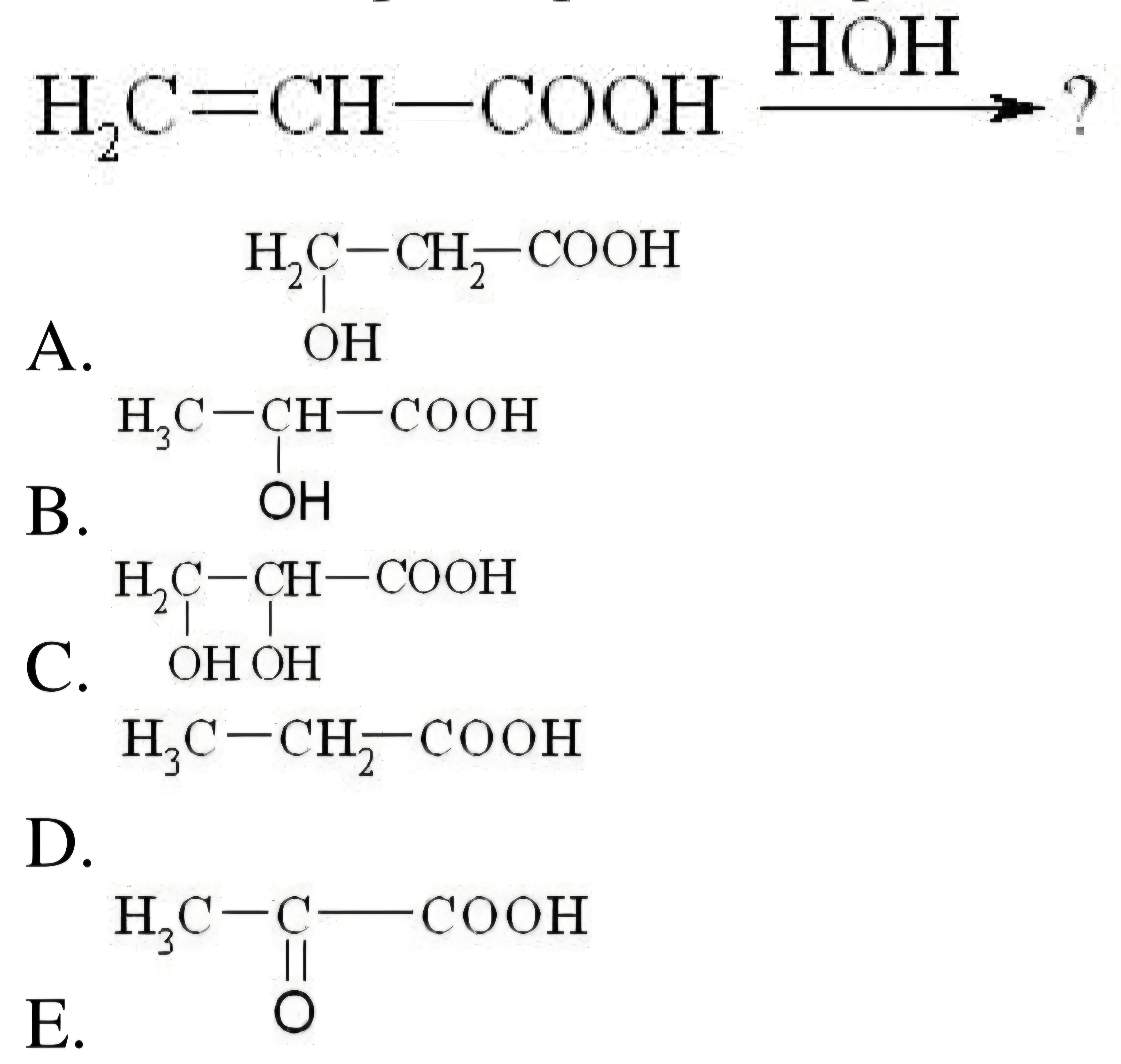
Зображення до питання
При гідратації акрилової кислоти утворюється:
Питання 128
Встановлено, що ксантофіли - жовто-оранжеві рослинні пігменти, надають забарвлення пелюсткам, плодам і локалізуються здебільшого в:
Питання 129
Необхідно визначити кількість саліцилату натрію у розчині. Який метод титриметричного аналізу можна використати для кількісного визначення ароматичних сполук?
Питання 130
Вкажіть показник захисних властивостей ВМС організму, що сприяє утриманню кальцій фосфату та карбонату в плазмі крові:
Питання 131
Зображення до питання
Назвіть кінцевий продукт взаємодії металічного натрію і 1-хлорпропану:
Питання 132
З якою речовиною пропан вступає в реакцію за наведених умов?
Питання 133
Кров є типовою колоїдною системою. Внаслідок складного ферментативного процесу відбувається її згортання, що обумовлює мінімальну крововтрату. Це пояснюється здатністю колоїдних частинок до:
Питання 134
У вищої безсудинної рослини чітко виражено чергування поколінь - домінуючого статевого (гаметофіту) і редукованого безстатевого (спорофіту). Це свідчить, що рослина належить до відділу:
Питання 135
При аналізі фармпрепарату виявили аніони третьої аналітичної групи. Вкажіть реагенти для проведення реакції "бурого кільця":
Питання 136
Після вживання їжі, збагаченої вуглеводами, рівень глюкози в крові спочатку збільшується, а потім знижується під дією інсуліну. Який процес активується під дією цього гормону?
Питання 137
Під час анаеробного гліколізу синтез АТФ відбувається шляхом субстратного фосфорилювання, в процесі якого використовується енергія інших макроергічних сполук. Вкажіть одну з таких сполук:
Питання 138
Розчин, який містить катіони кальцію та магнію, титрують розчином трилону Б. У якому середовищі проводиться комплексонометричне титрування цих катіонів?
Питання 139
Яка із наведених кислот при нагріванні виділяє CO2?
Питання 140
Хлорофіл - зелений пігмент рослин, є комплексною сполукою. Вкажіть іон комплексоутворювач у хлорофілі:
Питання 141
У здорової людини за допомогою спірометра визначили об’єм повітря, який вона видихає при спокійному диханні; він склав 0,5 літра. Як називається цей об’єм?
Питання 142
Замісником якого роду є ацильована аміногрупа?
Питання 143
До розчину, що містить катіон п’ятої аналітичної групи (кислотно-основна класифікація), долили розчин амонію тіоціонату. Розчин забарвився в червоний колір. На присутність яких катіонів вказує цей аналітичний ефект?
Питання 144
Для вибору індикатора у методі кислотно-основного титрування будують криву титрування, яка відображає залежність:
Питання 145
Золь Al(OH)3 одержали обробкою свіжовиготовленого осаду Al(OH)3 невеликою кількістю розчину HCl. Яке явище лежить в основі одержання золю?
Питання 146
Перед зануренням у воду досвідчені нирці роблять декілька глибоких вдихів. Вони роблять це для:
Питання 147
Собаці під час досліду ввели препарат, який зменшив секрецію і моторику шлунка. Який це препарат?
Питання 148
При мікроскопічному дослідженні листка фікуса в деяких клітинах епідерми виявлено внутрішній виріст клітинної оболонки зі скупченням кристалів, які при дії хлористоводневої кислоти розчиняються з виділенням вуглекислого газу. Ця структура:
Питання 149
У місті епідемія грипу. Який препарат з перерахованих нижче можна рекомендувати людям для неспецифічної профілактики захворювання?
Питання 150
У фармацевтичній практиці широко використовується виготовлення лікарських форм у вигляді колоїдно-дисперсних систем. До методів фізичної конденсації відноситься:
Питання 151
При бактеріологічному контролі якості дезінфекції, проведеної в аптеці, в підсобному приміщенні (у зливі раковини умивальника) виявлений мікроорганізм з наступними властивостями: рухливі неспорові грамнегативні палички, утворюють капсулоподібну речовину, добре ростуть на простих поживних середовищах, виділяючи синьо-зелений пігмент. До якого роду найбільш імовірно відноситься цей мікроорганізм?
Питання 152
Поверхнева активність - це один з факторів біодоступності лікарських препаратів. У скільки разів зросте поверхнева активність при подовженні вуглеводневого радикалу ПАР на групу CH2?
Питання 153
При неправильному зберіганні рослинної лікарської сировини, в аптеці виявили ураження у вигляді м’якої гнилі, вілту, плямистості, некрозу. Як називаються такі захворювання?
Питання 154
Хворий 47-ми років з травмою руки госпіталізований у стані больового шоку. Об’єктивно: стан важкий, свідомість сплутана, шкірні покриви вологі, бліді з акроціанозом. Відзначається тахіпное, тахікардія, зниження артеріального тиску. Який вид гіпоксії переважає у хворого?
Питання 155
У хворого пухлина головки підшлункової залози перекрила загальну жовчну протоку, що призвело до порушення відтоку жовчі. Яким патологічним синдромом це проявиться?
Питання 156
При мікроскопічному дослідженні первинної кори кореня у всисній зоні виявлено, що основну її масу складає багатошарова, жива, пухка паренхіма з крохмальними зернами. Це:
Питання 157
Кріоскопічні сталі води, бензолу, хлороформу, оцтової кислоти і камфори відповідно дорівнюють 1,86; 5,12; 4,9; 3,9; 40,0. Який з цих розчинників слід обрати для найбільш точного визначення молярної маси лікарської речовини (неелектроліту) кріоскопічним методом?
Питання 158
Якщо кількість високомолекулярної речовини, що додана до золю дуже мала, то можливе не підвищення, а зниження його стійкості. Це явище одежало назву:
Питання 159
Ферменти (біологічні каталізатори) застосовують як фармакологічні препарати. Який механізм дії ферментів в біохімічних реакціях?
Питання 160
Людина 3 місяці проживала на висоті 2800 м. За цей час у неї розвинулася адаптація до гіпоксії. Які зміни системи крові будуть у неї?
Питання 161
В лабораторію для проведення санітарно-вірусологічного дослідження доставлена проба води, що використовується у виробництві лікарських препаратів. Виявлення якої групи вірусів вкаже на фекальне забруднення води і необхідність додаткового очищення?
Питання 162
Хімік-аналітик для ідентифікації катіонів цинку (II) використав розчин реагент гексаціаноферату (II) калію (реакція фармакопейна). Якого кольору осад при цьому утворюється?
Питання 163
Результатом проведеної гістохімічної реакції на жирні олії з використанням судану III є забарвлення . . .
Питання 164
В фармацевтичній промисловості необхідно простерилізувати розчини вітамінів, очних крапель. Виберіть, з наведених нижче, оптимальний метод стерилізації:
Питання 165
Зображення до питання
Який із наведених реагентів використовують у синтезі фурациліну?
Питання 166
Мікроскопічним дослідженням стебла багаторічної рослини виявлено покривну тканину вторинного походження, що утворилась внаслідок поділу клітин . . .
Питання 167
Зображення до питання
Яка з наведених карбонільних сполук дає позитивну йодоформну пробу?
Питання 168
Меркурій здатний утворювати сполуки, в яких проявляє ступінь окиснення +1 або +2. В якій з наведених формул сполук, що рекомендовані Державною Фармакопеєю України для використання при дослідженні фармпрепаратів, меркурій проявляє ступінь окиснення +2?
Питання 169
Яка сполука може бути синтезована із бромбензолу та брометану за реакцією Вюрца-Фіттіга?
Питання 170
Під час санітарно-мікробіологічного дослідження питної води виявили колі-фаги. Який висновок слід зробити про санітарно-епідемічний стан цієї води?
Питання 171
Зображення до питання
З наведених нижче проекційних формул Фішера оберіть ту, яка відповідає D-глюкозі:
Питання 172
Провізор досліджує процес коагуляції. До золю він додає мінімальну концентрацію електроліту, при перевищенні якої спостерігається коагуляція. Яку назву має ця мінімальна концентрація електроліту?
Питання 173
У хворого на кістково-мозкову форму променевої хвороби визначили такі зміни гемограми: лейк.- 2 · 109/л, лімфопенія, ер.- 3, 0 · 1012/л, Hb- 52 г/л, тромб.- 105 · 109/л, згортання крові знижено. Якому періоду променевої хвороби відповідають зазначені зміни?
Питання 174
У людини внаслідок удару в епігастральну ділянку зупинилось серце. Що призвело до таких змін у діяльності серця?
Питання 175
При механічній жовтяниці розвивається стеаторея і знебарвлення калу, порушується всмоктування жирів, жиророзчинних вітамінів, погіршується зсідання крові. Як називається зазначений синдром?
Питання 176
Первинним акцептором водню при тканинному диханні виступають піридинзалежні дегідрогенази. Який з вітамінів необхідний для утворення відповідного коферменту (НАД+)?
Питання 177
Пацієнт доставлений до лікарні з гострим харчовим отруєнням, причиною якого стало вживання консервованих грибів, що були виготовлені у домашніх умовах. Дослідження продукту виявило наявність у ньому мікроорганізмів, що розвиваються лише за відсутності кисню. Які мікроорганізми стали причиною отруєння?
Питання 178
Емульсії - одна із форм фармпрепаратів, що застосовуються в медицині. Яка пара рідин утворить емульсію?
Питання 179
За допомогою "штучної нирки"можливе очищення крові, що протікає під тиском між двома мембранами, які омиваються зовні фізіологічним розчином. Цей процес базується на:
Питання 180
До аптеки надійшла партія препаратів тривалої мікробостатичної дії для обробки шкіри, слизових і ранових поверхонь з метою попередження і лікування інфекційних уражень шкіри. До якої групи антимікробних препаратів вони відносяться?
Питання 181
Хворому проведена трансплантація нирки. Через декілька діб настало відторгнення трансплантанта. До якого типу алергічних реакцій відноситься це ускладнення?
Питання 182
До гастроентерологічного відділення надійшла дівчинка, при обстеженні якої було виявлено дисбактеріоз кишечнику та зниження процесу згортання крові. З недостатністю якого вітаміну пов’язане дане порушення?