MDstuds

2013 - Основна сесія

2013 - Основна сесія
Питань: 200
200:00
Питання 1 з 200
Питання 1
Стосовно межі поділу вода-повітря поверхнево-активною речовиною є:
Питання 2
У жінки 40-ка років, у якої тривалий час спостерігались періодичні маткові кровотечі, виявлено зниження вмісту еритроцитів і гемоглобіну в крові. Колірний показник становив 0,6. В мазках крові - мікроцитоз. Який тип анемії спостерігається в цьому випадку?
Питання 3
Якщо кількість високомолекулярної речовини, що додана до золю дуже мала, то можливе не підвищення, а зниження його стійкості. Це явище одержало назву:
Питання 4
Для визначення вмісту купрум (II) сульфату застосували метод йодометричного титрування. Титрантом метода є:
Питання 5
Константа швидкості хімічної реакції чисельно дорівнює швидкості реакції за умови, що молярні концентрації:
Питання 6
Серед наведених дієнових вуглеводнів оберіть спряжений дієн:
Питання 7
Емульсії, які містять менше, ніж 0,1% (за об’ємом) дисперсної фази відносяться до:
Питання 8
Застосування міцелярних ПАР у виробництві фармпрепаратів відбувається при концентрації, за якої міцели знаходяться у рівновазі з молекулами (іонами), яка має назву:
Питання 9
В лабораторію для проведення санітарно-вірусологічного дослідження доставлена проба води, що використовується у виробництві лікарських препаратів. Виявлення якої групи вірусів вкаже на фекальне забруднення води і необхідність додаткового очищення?
Питання 10
Адреналін використовується для подовження дії новокаїну при інфільтраційній анестезії. З якою дією адреналіну пов’язаний цей ефект?
Питання 11
В фармацевтичній галузі використовують лікарські колоїдні препарати срібла, захищені білками - протаргол і коларгол. Яке явище лежить в основі їх виробництва?
Питання 12
Життєва форма рослини має багато здерев’янілих стебел, що галузяться біля самої землі. Це є:
Питання 13
Дією якого реагенту можна відрізнити етанол від гліцерину?
Питання 14
У пацієнта виявлено мегалобластичну гіперхромну анемію. Порадьте препарат для лікування даної патології:
Питання 15
Виберіть індикаторний електрод для кількісного визначення оцтової кислоти методом потенціометричного титрування:
Питання 16
Зображення до питання
Скільки існує стереоізомерних альдопентоз?
Питання 17
Який з перерахованих розчинів однакової моляльності кристалізується при найнижчій температурі?
Питання 18
В медицині широко використовуються антибіотики, продуцентами яких є гриби родів Penіcіllіum і Aspergіllus, що відносяться до класу:
Питання 19
У дитини, що хворіє на бронхіальну астму, виник астматичний напад, який призвів до розвитку гострої дихальної недостатності. Це ускладнення зумовлене порушенням:
Питання 20
Чоловіку 28-ми років, хворому на туберкульоз, лікар призначив протитуберкульозні препарати. Назвіть, який із наведених хіміотерапевтичних препаратів діє на збудник туберкульозу?
Питання 21
Який ненаркотичний протикашльовий препарат центральної дії можна застосовувати при сухому кашлі?
Питання 22
Хворий 39-ти років страждає на бронхіальну астму і порушення серцевого ритму у вигляді брадиаритмії. Препарати якої фармакологічної групи доцільно призначити для усунення бронхоспазму?
Питання 23
Хворому туберкульозом призначено антибіотик олігоміцин. Який процес гальмує цей препарат у мітохондріях?
Питання 24
Атоми галогенів у органічній сполуці можна виявити:
Питання 25
Андроцей квітки Brassica oleracea має шість тичинок, чотири з яких внутрішнього кола довші за дві, що у зовнішньому колі. Як називають даний тип андроцею?
Питання 26
У рослини родини макових суцвіття зонтикоподібне, квітки невеликі, з опадаючою чашечкою і чотирма жовтими пелюстками, молочний сік жовтого кольору. Це є:
Питання 27
З метою визначення мікробіологічної чистоти лікарської сировини провели наступне дослідження: посів на середовища Ендо та вісмут-сульфітний агар, постановка оксидазного тесту, виявлення ферментації глюкози. Які мікроорганізми планували виявити?
Питання 28
При прополці грядок частіше за інші потраплявся багаторічний бур’ян з рослини злакових, кореневище якого є лікарським засобом, що нормалізує обмін речовин і діурез. Це:
Питання 29
У хворого у зв’язку з загостренням сечокам’яної хвороби виникла ниркова колька. Який препарат необхідно ввести для усунення кольки?
Питання 30
У жінки 49-ти років, яка тривалий час страждає на цукровий діабет, після введення інсуліну виникли слабкість, блідість обличчя, серцебиття, неспокій, двоїння в очах, оніміння губ і кінчика язика. Рівень глюкози крові становив 2,5 ммоль/л. Яке ускладнення розвивається у хворої?
Питання 31
В аптеку звернулася жінка, у якої на верхній губі з’явились герпетичні висипання. Порекомендуйте для лікування противірусний препарат:
Питання 32
Допоможіть лікареві вибрати раціональний шлях введення корглікону при лікуванні гострої серцевої недостатності:
Питання 33
Які катіони можна визначити комплексонометрично в кислому середовищі?
Питання 34
Зображення до питання
У результаті якої з наведених реакцій утвориться етан?
Питання 35
Пацієнт отримує леводопу у зв’язку з хворобою Паркінсона. Механізм дії цього засобу пов’язаний з тим, що він є:
Питання 36
Лікар при підозрі на холеру призначив пацієнту доксицикліну гідрохлорид. До якої групи антибіотиків відноситься даний препарат?
Питання 37
Серед наведених формул вкажіть ту, яка відповідає пентену-2:
Питання 38
Внаслідок інфаркту міокарда у хворого виникла шлуночкова аритмія. Серцевий ритм нормалізувався після введення протиаритмічного засобу з місцевоанестезуючою активністю. Який препарат введено?
Питання 39
Деякі вітаміни забезпечують стабільність біологічних мембран. Вкажіть один з вітамінів, що має таку дію:
Питання 40
Який з наведених нижче розчинів однакової молярної концентрації має максимальний осмотичний тиск?
Питання 41
У хворого, що тривало страждає на хронічний гломерулонефрит, виникла уремія. Рівні креатиніну, сечовини і сечової кислоти у крові різко підвищені. Яке порушення кислотно-основного стану супроводжує дану патологію ?
Питання 42
Оберіть індикатори для ацидіметричного визначення речовин у суміші NaOH та Na2CO3:
Питання 43
Який із лікарських засобів можна використовувати при лікуванні глаукоми?
Питання 44
Який реагент використовують для відокремлення осаду AgCl від AgI?
Питання 45
Який тип провідних пучків притаманний для усіх зон кореня односім’ядольних рослин?
Питання 46
Хворому призначено гідразид ізонікотинової кислоти (антивітамін вітаімну PP ). Недостатність синтезу якого коферменту спостерігається у даного пацієнта?
Питання 47
Ви роздивляєтесь багату на ефірні олії та гіркоти сріблясто опушену рослину родини Asteraceae. Для заготівлі використовують верхівкові пагони з волоттю дрібних кулястих кошиків. Ця рослина:
Питання 48
Хворий поступив до клініки зі скаргами на загальну слабкість, головний біль, біль у поперековій ділянці тіла, набряки обличчя та кінцівок. В аналізі сечі: протеїнурія, гематурія, циліндрурія. Що є провідним патогенетичним механізмом набряків при гломерулонефриті?
Питання 49
Бактерії з часом набувають стійкості до антибактеріальних засобів. Чим обумовлена резистентність у грампозитивних бактерій до антибіотиків пеніцилінового ряду?
Питання 50
При посіві на щільне поживне середовище фекалій дитини з підозрою на коліентерит через добу виросли два види колоній: безбарвні і червоного кольору. Вкажіть, до якої групи поживних середовищ найбільш імовірно можна віднести це середовище?
Питання 51
Сольові розчини для парентерального введення, виготовлені в аптечних умовах стерилізують методом:
Питання 52
Який розчин можна фотоколориметрувати за власним поглинанням?
Питання 53
Фторид натрію входить до складу препаратів, що застосовують при лікуванні карієсу зубів. З якою із наведених сполук реагує NaF ?
Питання 54
У хімічному відношенні етери (прості ефіри) є досить інертними сполуками. Під дією якої з галогеноводневих кислот етери розщеплюються вже при кімнатній температурі?
Питання 55
Оберіть з препаратів, що надійшли до аптеки, той, який відноситься до жиророзчинних вітамінних препаратів:
Питання 56
На нижній стороні листків папороті Dryopteris filix max знаходяться спороносні структури - спорангії, які розташовані групами в:
Питання 57
Яким аналітичним ефектом супроводжується реакція виявлення катіонів калію при дії натрію гідротартрату?
Питання 58
Пацієнту похилого віку з метою попередження розвитку жирової інфільтрації печінки рекомендовано вживати в їжу сир. Яка незамінна амінокислота, необхідна для синтезу фосфоліпідів, є у сирі у великій кількості?
Питання 59
У хворого 43-х років закупорка загальної жовчної протоки. Поява в сечі якої з перелічених речовин спостерігається за цих умов?
Питання 60
Ізоелектрична точка глобуліну 6,4. При якому значенні pH буде відсутнім рух при електрофорезі?
Питання 61
Нітрит-іони в присутності нітрат- іонів можна виявити за допомогою:
Питання 62
У деяких видів рослин, як пристосування до несприятливих умов зовнішнього середовища, є корені, які здатні до поздовжнього скорочення, що забезпечує заглиблення в ґрунт цибулин, бульб кореневищ. Ці корені носять назву:
Питання 63
Хворому з нирковою колькою в комплексну терапію долучено спазмолітик з групи М-холіноблокаторів, а саме:
Питання 64
При зборі лікарської сировини (плодів шипшини) на гілках рослин були виявлені багаточисельні нарости та пухлини. Які фітопатогенні мікроорганізми могли викликати такі ушкодження?
Питання 65
Оберіть назву, яка відповідає формулі: CH3 − C ≡ N?
Питання 66
Колоїдні поверхнево-активні речовини (ПАР) різного типу у великих масштабах використовують у виробництві фармацевтичних та косметичних препаратів. Такі сполуки біологічного походження, як амінокислоти, належать до класу:
Питання 67
Зображення до питання
Яка із наведених формул відповідає ацетооцтовій кислоті?
Питання 68
Велика група антибіотиків, що використовуються в медицині, гальмують синтез нуклеїнових кислот і білків. Який процес інгібує актиноміцин?
Питання 69
Для формування кісткової системи плоду під час внутрішньоутробного розвитку необхідно надходження вітаміну D. Похідним якої хімічної сполуки є цей вітамін?
Питання 70
Вагітна жінка захворіла на пневмонію; термін вагітності 20 тижнів. Який хіміотерапевтичний препарат можна порадити лікарю для призначення хворій без загрози для розвитку плоду?
Питання 71
Оберіть пару електродів для потенціометричного визначення pH розчину:
Питання 72
З метою контролю санітарного стану приміщення аптеки, де готують лікарські форми, проведено обстеження повітря. Які з виявлених бактерій вказують на незадовільний санітарний стан?
Питання 73
Процес окиснювального фосфорилювання - це головний шлях біосинтезу АТФ в організмі людини. В якій органелі клітини локалізована АТФ- синтетаза?
Питання 74
Для лікування онкологічного хворого використовувався аналог УМФ-5 фторурацил, який блокує синтез тимідину. Активність якого ферменту гальмується цим препаратом?
Питання 75
До досліджуваного розчину, що містить катіони III групи, додали розчин калію хромату. Випав осад жовтого кольору розчинний в ацетатній кислоті. Це свідчить про присутність у розчині катіонів:
Питання 76
Чоловік отримав дозу опромінення 30 Гр. У нього спостерігаються некротична ангіна, розлади шлунково- кишкового тракту. В крові - анемія, лейкопенія, тромбоцитопенія. Який період гострої променевої хвороби у чоловіка?
Питання 77
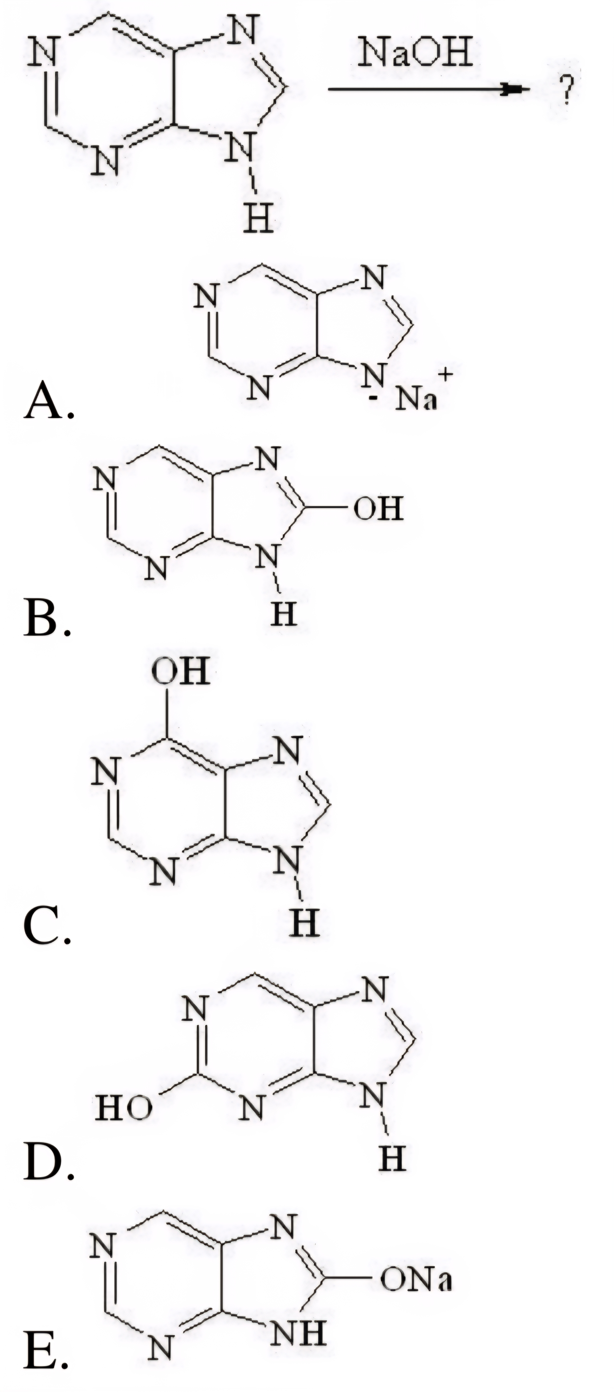
Зображення до питання
Вкажіть продукт взаємодії пурину з натрій гідроксидом:
Питання 78
При дослідженні шлункового соку виявлено відсутність вільної хлороводневої кислоти. Як характеризується такий стан?
Питання 79
У хворого 55-ти років на 4-й день лікування індометацином виникла шлункова кровотеча внаслідок утворення виразки слизової оболонки шлунка. Ульцерогенна дія препарату пов’язана із зменшенням активності такого ферменту:
Питання 80
Зображення до питання
Вкажіть сполуку, що має найбільш виражені основні властивості в газовій фазі:
Питання 81
Для лікування хвороби Паркінсона використовують L-DOФА та його похідні. З якої амінокислоти утворюється ця речовина?
Питання 82
Активність знешкодження токсичних речовин у дітей нижча у 4 рази, ніж у дорослих. Який фермент, необхідний для кон’югації токсичних сполук, має низьку активність у дітей?
Питання 83
У випадках різних отруєнь, при наданні швидкої невідкладної допомоги, лікарі використовують лікарський засіб "Карболен", який у своєму складі має активоване вугілля. Яке явище лежить в основі дії цього засобу?
Питання 84
Продуктом тримеризації ацетилену є:
Питання 85
У хворого з цукровим діабетом виявлена гіперглікемія 19 ммоль/л, яка клінічно проявляється глюкозурією, поліурією, полідипсією. Який з представлених механізмів відповідальний за розвиток полідипсії?
Питання 86
Лікар призначив хворому препарат для лікування кровотечі. Який саме з наведених?
Питання 87
Хворому на невроз було призначено анксиолітичний засіб, похідне бензодіазепіну. Назвіть препарат:
Питання 88
Етіологічними факторами інфекційних захворювань можуть бути інфекційні агенти з різною ультраструктурою. Які з нижче перерахованих груп НЕ МАЮТЬ клітинної структури, білково-синтезуючої, ферментативної та енергетичної систем?
Питання 89
Для якого класу органічних сполук характерна наявність - C ≡ N групи?
Питання 90
Жінка середнього віку звернулась до провізора відпустити препарат для зняття нападу стенокардії. Вкажіть цей препарат:
Питання 91
Реакція нітрування фенолу протікає з утворенням орто- і паранітрофенолу. До якого типу реакцій її відносять?
Питання 92
У хворої спостерігається підвищення вмісту сечової кислоти в крові та сечі, відкладення солей сечової кислоти у суглобах і хрящах. Для якого захворювання це характерно?
Питання 93
Хворий 55-ти років перебуває у лікарні з приводу хронічної недостатності серця. Об’єктивно: шкіра і слизові ціанотичні, тахікардія, тахіпное. Який вид гіпоксії у хворого?
Питання 94
При Аддісоновій (бронзовій) хворобі призначають глюкокортикоїди. З посиленням якого процесу пов’язана їх дія?
Питання 95
Груповим реактивом на катіони VI аналітичної групи (кислотно-основна класифікація) Co2+, Ni2+, Cd2+, Cu2+, Hg2+ є надлишок концентрованого амонію гідроксиду. При цьому спостерігається утворення:
Питання 96
Спадкові дефекти глутатіонпероксидази в еритроцитах призводять до гемолітичної анемії. Порушення якого процесу має місце за цих умов?
Питання 97
Кількісне визначення гідроґен пероксиду проводять титриметричним методом:
Питання 98
Діагностовано трихомоніаз. Який антимікробний препарат необхідно призначити?
Питання 99
У чоловіка 56-ти років розвинулась мегалобластна анемія на фоні алкогольного цирозу печінки. Дефіцит якого вітаміну є основною причиною анемії у цього пацієнта?
Питання 100
Під час мікробіологічного контролю лікарської сировини виявлені капсульні бактерії. Який метод фарбування використали для виявлення капсули?
Питання 101
Який сучасний антигістамінний препарат краще застосувати людям, робота, яких потребує швидкої реакції на оточуюче?
Питання 102
Студенти на польовій практиці виявили рослину з різноманітністю листків, що відрізняються місцем розташування на пагоні, ступенем розвитку складових частин, розмірами, формою, розчленуванням листкової пластинки. Це явище називається:
Питання 103
За якою величиною порівнюють швидкості хімічних реакцій однакових порядків:
Питання 104
У жінки 52-х років розвинулась катаракта (помутніння кришталика) на тлі цукрового діабету. Посилення якго процесу є причиною помутніння кришталика?
Питання 105
У новонародженої дитини внаслідок резус-конфлікту виникла гемолітична жовтяниця. Вміст якого жовчного пігменту буде найбільш підвищеним у крові цієї дитини?
Питання 106
При дослідженні крові виявлені структурні зміни еритроцитів та гемоглобіну. Заміна якої амінокислоти у β - ланцюгу гемоглобіну може до цього призводити?
Питання 107
Досить часто причиною набутих імунодефіцитів є інфекційне ураження організму, при якому збудники безпосередньо розмножуються в клітинах імунної системи і руйнують їх. При яких захворюваннях має місце вказане явище?
Питання 108
До лікаря звернувся хворий, який кілька днів тому поранив кисть лівої руки. Скаржиться на біль у ділянці ушкодження, обмеження рухів пальцями. При огляді встановлено, що кисть збільшена в об’ємі, гіперемована, температура шкіри підвищена. Про який типовий патологічний процес свідчать дані ознаки?
Питання 109
У працівника птахофабрики, що вживав у їжу щодня 5 і більше сирих яєць з’явилась млявість, сонливість, біль у м’язах, випадіння волосся, себорея. З дефіцитом якого вітаміну пов’язаний даний стан?
Питання 110
Вміст магнію сульфату в лікарському препараті визначають методом комплексонометричного титрування. Запропонуйте індикатор для фіксування кінцевої точки титрування:
Питання 111
У рослини, що визначається, квітки метеликового типу. Ця рослина відноситься до родини:
Питання 112
Які стандартні розчини (титранти) використовують у методі кислотно- основного титрування?
Питання 113
Лікарня замовила в аптечній фірмі препарати, що використовуються для діагностики інфекційних захворювань. Ці препарати дозволяють виявити наявність у пацієнта стану інфекційної алергії. Назвіть ці препарати:
Питання 114
В аптечних умовах хворому виготовили мазь для зовнішнього застосування. Яка кількість мікроорганізмів може знаходитися в одному грамі згідно вимог Фармакопеї?
Питання 115
Для визначення масової частки натрію хлориду в лікарському препараті використовують метод Фаянса- Ходакова. Титрування проводять у присутності розчину індикатора:
Питання 116
Зображення до питання
Для розпізнавання фенолу і саліцилової кислоти використовують реагент:
Питання 117
Хворому з дискінезією травного тракту призначили метоклопрамід. З чим пов’язаний протиблювотний ефект цього препарату?
Питання 118
Встановіть вид, що відноситься до родини Пасленові, за даними морфологічними ознаками: надземні органи залозисто-опушені, листя чергові, перисті, переривчасторозсічені на великі та дрібні сегменти, суцвіття - подвійна завитка; віночок колесоподібний, рожево-бузковий або білий, плід - кулеподібна зелена отруйна ягода; підземні столони з клубнями. Це вид:
Питання 119
В перезрілих соковитих плодах відбулось руйнування міжклітинної речовини і роз’єднання клітин внаслідок такого процесу:
Питання 120
Внутрішньоклітинний метаболізм гліцерину починається з його активації. Яка сполука утворюється в першій реакції його перетворення?
Питання 121
З яким із реагентів за наведених умов відбувається відновлення ненасичених органічних сполук?
Питання 122
В хіміко-аналітичній лабораторії спеціаліст досліджує суміш катіонів V аналітичної групи. При додаванні тіоціонат-іонів розчин забарвлюється в червоний колір. Про наявність якого катіону свідчить даний аналітичний ефект?
Питання 123
У хворого підвищилася температура до 40oC, має місце блювання, діарея; стан хворого тяжкий. Осмолярність крові складає 270 мосм/л. Яке порушення водно-сольового обміну спостерігається у хворого?
Питання 124
Спадкові захворювання можуть бути пов’язані з порушенням структури і кількості хромосом або генів. Яке з перерахованих захворювань відноситься до моногенних захворювань?
Питання 125
У якої лікарської рослини сімейства Asteraceae у кошиках представлені тільки трубчасті квітки?
Питання 126
Для перетворення аніліну в водорозчинну сіль його необхідно обробити розчином:
Питання 127
У хворого 59-ти років при флюорографії виявили у нижній частці правої легені затемнення з чіткими межами, характерне для пухлини. Яка з ознак характерна для доброякісної пухлини?
Питання 128
На аналіз взято розчин сульфату цинку. Запропонуйте титриметричний метод для кількісного визначення ZnSO4 в розчині:
Питання 129
У малюка, що родився недоношеним, високий рівень білірубіну. Для зниження гіпербілірубінемії дитині ввели фенорбарбітал у дозі 5 мг. На який процес впливає фенобарбітал?
Питання 130
Наявність у розчинах ВМС відносно великих гнучких макромолекул суттєво впливає на осмотичний тиск розчинів полімерів, що обчислюється за рівнянням:
Питання 131
У мазку з випорожнень хворого виявлені грамнегативні бактерії у вигляді коми. Які властивості слід у першу чергу вивчити за допомогою мікроскопа для отримання додаткової інформації про виявлені мікроби?
Питання 132
У хворого, що страждає на ішемічну хворобу серця, спостерігаються венозна гіперемія нижніх кінцівок, збільшення печінки, асцит, задишка, підвищена втомлюваність. Яка серцева недостатність спостерігається у хворого?
Питання 133
Сульфаніламіди широко використовуються як бактеріостатичні засоби. Механізм протимікробної дії сульфаніламідних препаратів ґрунтується на структурній подібності їх з:
Питання 134
Астрагал шерстистоквітковий має сидячі квітки, які зібрані у суцвіття з вкороченою потовщеною віссю. Це суцвіття:
Питання 135
При порушенні експлуатації пічного опалення люди часто отруюються чадним газом. До утворення якої сполуки у крові призводить отруєння чадним газом?
Питання 136
Бактерії з часом набувають стійкості до антибактеріальних засобів. Чим обумовлена резистентність у грампозитивних бактерій до антибіотиків пеніцилінового ряду?
Питання 137
Досить часто ґрунт може бути місцем перебування низки патогенних мікроорганізмів. Збудники яких захворювань можуть тривалий час існувати в ґрунті?
Питання 138
В технології синтезу фармацевтичних препаратів багато процесів відбувається при сталих температурі та тиску. Яку термодинамічну функцію треба обрати як критерій перебігу самочинного процесу в цих умовах?
Питання 139
Після вживання їжі, збагаченої вуглеводами, рівень глюкози в крові спочатку збільшується, а потім знижується під дією інсуліну. Який процес активується під дією цього гормону?
Питання 140
У однієї з рослин, що вивчається, підкласу ранункуліди встановлено наявність у всіх його органах молочників із жовто-оранжевим молочним соком, що характерно для:
Питання 141
Хворому 49-ти років з гострою серцевою недостатністю і непереносимістю серцевих глікозидів було введено добутамін. Який механізм дії цього препарату?
Питання 142
Дослідження залежності швидкості реакцій від різних факторів дозволяє інтенсифікувати технологічні процеси. Який з факторів НЕ ВПЛИВАЄ на константу швидкості хімічної реакції?
Питання 143
Студенти на польовій практиці виявили рослину з різноманітністю листків, що відрізняються місцем розташування на пагоні, ступенем розвитку складових частин, розмірами, формою, розчленуванням листкової пластинки. Це явище називається:
Питання 144
Хворому туберкульозом призначено антибіотик олігоміцин. Який процес гальмує цей препарат у мітохондріях?
Питання 145
У розчині присутні катіони цинку і алюмінію. Вкажіть реагент, який дозволяє виявити в цьому розчині катіони цинку:
Питання 146
Виберіть препарат для лікування бронхіальної астми з групи β2 - адреностимуляторів:
Питання 147
Зображення до питання
З яким реагентом п-амінобензойна кислота реагує по аміногрупі?
Питання 148
При спорово-пилковому аналізі серед пилку виявлені спори тетраедричної форми з півкулястою основою і сітчастою поверхнею, які можуть належати:
Питання 149
Після обробки мікропрепарату розчином хлор-цинк-йоду оболонки певних груп клітин набули жовте забарвлення, що свідчить про наявність в них:
Питання 150
Оберіть метод кількісного визначення пероксиду водню в присутності консервантів:
Питання 151
В якісному аналізі при осадженні сульфатів катіонів третьої аналітичної групи (Ca2+, Sr2+, Ba2+) з метою зменшення розчинності сульфатів у розчин додають:
Питання 152
Зелені пігменти рослин, за участю яких відбувається фотосинтез, містяться в:
Питання 153
Хворому на стенокардію призначили метопролол. Який фармакологічний ефект дозволяє застосувати цей препарат для лікування стенокардії?
Питання 154
У чоловіка 47-ми років діагностований рак правої легені та призначено оперативне лікування. Після операції (правобічна пульмонектомія) у хворого з’явилась виражена задишка. Яка форма дихальної недостатності розвинулась у хворого?
Питання 155
У хворого з черепно-мозковою травмою спостерігаються епілептиморфні судомні напади, що регулярно повторюються. Утворення якого біогенного аміну порушено при цьому стані?
Питання 156
Колоїдний розчин - це одна з лікарських форм. Вкажіть структурну одиницю колоїдного розчину:
Питання 157
При бактеріологічному контролі якості дезінфекції, проведеної в аптеці, в підсобному приміщенні (у зливі раковини умивальника) виявлений мікроорганізм з наступними властивостями: рухливі неспорові грамнегативні палички, утворюють капсулоподібну речовину, добре ростуть на простих поживних середовищах, виділяючи синьо- зелений пігмент. До якого роду найбільш імовірно відноситься цей мікроорганізм?
Питання 158
Груповим реагентом на першу аналітичну групу аніонів є нітрат барію. Укажіть аніони першої групи:
Питання 159
Вкажіть гормональний препарат для стимуляції пологів:
Питання 160
При підйомі у гори у альпіниста з’явилися мерехтіння перед очима, задишка, тахікардія, ціанотичний відтінок шкіри і слизових. Який вид гіпоксії спостерігається?
Питання 161
Нітрит-іони в присутності нітратіонів можна виявити за допомогою:
Питання 162
Зображення до питання
До якого типу відноситься реакція:
Питання 163
Після застосування фенацетину у пацієнта з’явився гострий біль у горлі, підвищилася температура тіла. Обстеження показало наявність некротичної ангіни і агранулоцитозу. Зменшення кількості яких лейкоцитів характерно для агранулоцитозу?
Питання 164
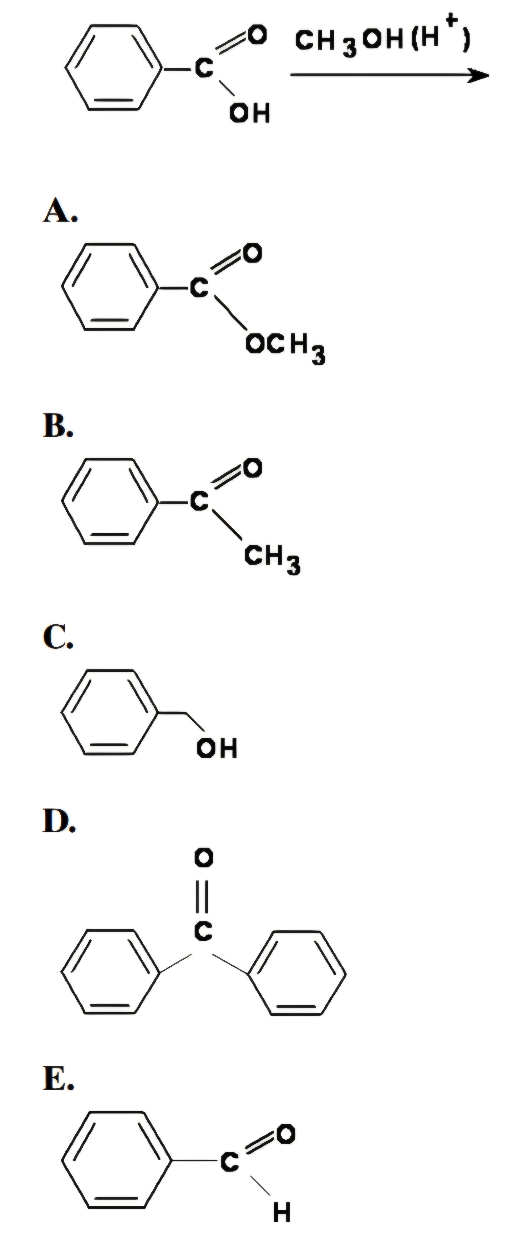
Зображення до питання
Вкажіть вірний продукт реакції:
Питання 165
Які дані необхідно використовувати для визначення енергії активації?
Питання 166
Прозерин застосовувався для лікування міастеній та інших захворювань м’язової системи. Цей препарат є конкурентним інгібітором ферменту:
Питання 167
У мікропрепраті ідентифікована прозенхімна, здерев’яніла, щільна механічна тканина:
Питання 168
Студент аналізує орган рослини, що має радіальну симетрію, необмежений ріст, позитивний геотропізм і забезпечує живлення, вегетативне розмноження, закріплення рослини у ґрунті. Даний орган був визначений як:
Питання 169
У дитини з підозрою на дифтерію взяли мазки з зіву і направили в баклабораторію. Яке елективне середовище доцільно використати для отримання чистої культури збудника дифтерії?
Питання 170
Високомолекулярні речовини (ВМР) широко використовують у фармації. Яка властивість істинних розчинів характерна і для розчинів ВМР?
Питання 171
У жінки 25-ти років на 8-му місяці вагітності з’явилися ознаки розширення вен нижніх кінцівок, набряки стоп. Який вид розладів периферичного кровообігу спостерігається у вагітної?
Питання 172
У хворої з недостатністю мітрального клапану з’явилися задишка, набряки, падіння тиску. Який патогенетичний механізм виникнення серцевої недостатності?
Питання 173
Яка із наведених сполук НЕ БУДЕ знебарвлювати бромну воду?
Питання 174
Однаковий аналітичний ефект спостерігають при взаємодії NO3− та NO2− - іонів з:
Питання 175
На поздовжньому зрізі кореня кульбаби розпізнані трубчасті структури з густим білим секретом. Місцями вони пов’язані між собою бічними відгалуженнями. Це:
Питання 176
В аптеці хворому на хронічний бронхіт відпускають глауцину гідрохлорид. Про який типовий побічний ефект препарату слід застерегти хворого?
Питання 177
У представників родини Malvaceae плід розпадається при дозріванні на однонасінні мерикарпії. Це схизокарпний плід:
Питання 178
При санітарно-бактеріологічному дослідженні повітря у приміщенні аптеки встановлено підвищення вмісту санітарно-показових мікроорганізмів. Які це мікроорганізми?
Питання 179
Фізико-хімічні методи використовують для кількісного визначення лікарських речовин. Якій з наведених нижче методів ґрунтується на визначенні оптичної густини розчину?
Питання 180
Антидепресанти здатні збільшувати вміст катехоламінів у синаптичній щілині. У чому полягає механізм дії цих препаратів?
Питання 181
При обробці рослинних клітин флороглюцином з концентрованою сірчаною кислотою їх оболонки набули малиново-червого забарвлення, що вказує на їх:
Питання 182
Мікроскопічним дослідженням стебла багаторічної рослини виявлено покривну тканину вторинного походження, що утворилась внаслідок поділу клітин . . .
Питання 183
Зображення до питання
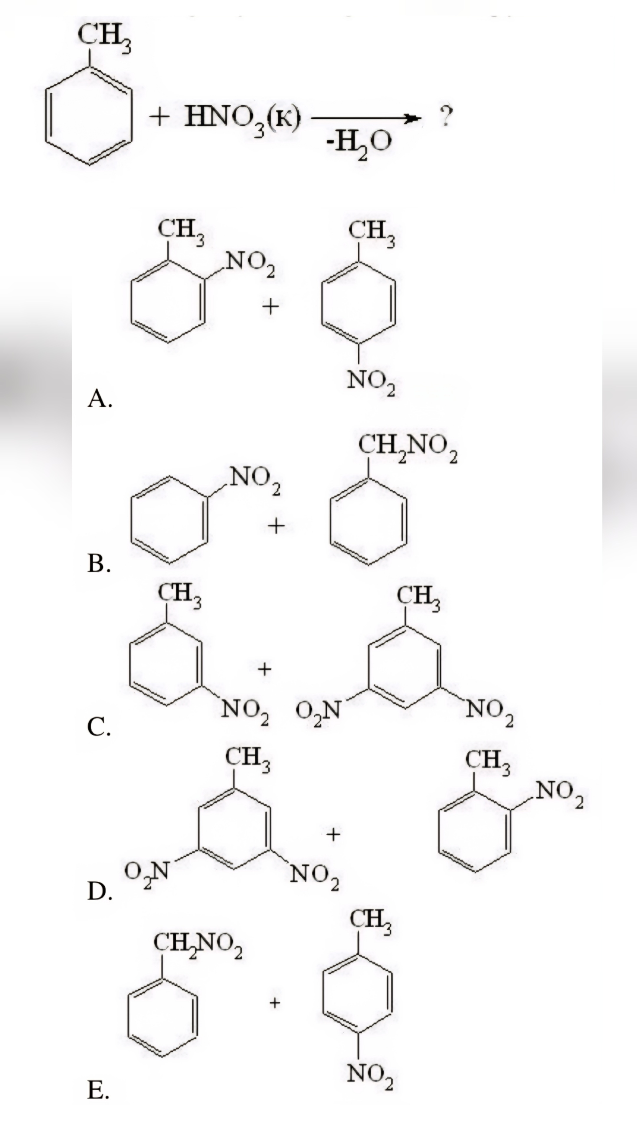
Продуктами реакції нітрування толуолу переважно будуть:
Питання 184
Зображення до питання
Оберіть правильну назву продукта реакції взаємодії оцтового альдегіду з гідразином:
Питання 185
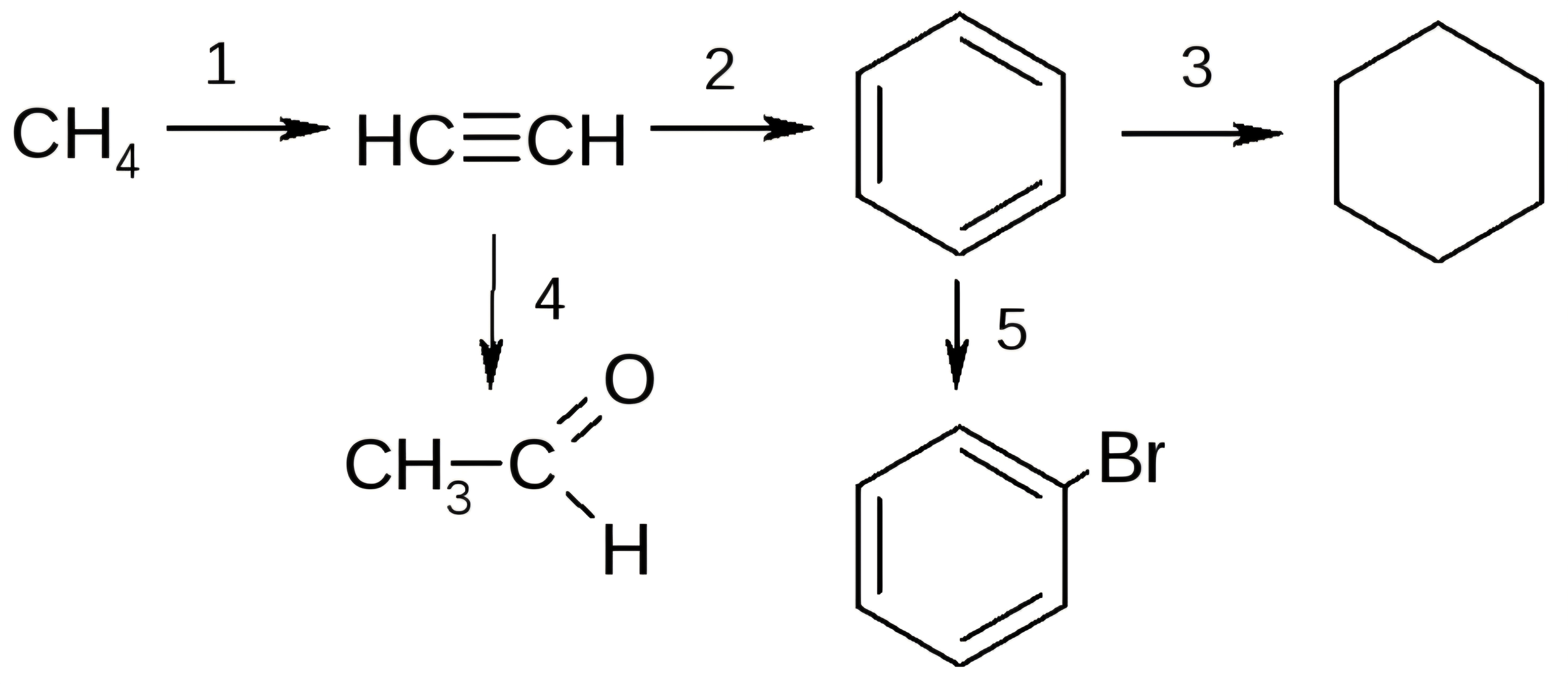
Зображення до питання
Для схеми перетворень крекінг відбувається на стадії:
Питання 186
Чоловікові для діагностики туберкульозу був введений туберкулін. На місці введення виникло почервоніння, що на протязі двух діб збільшилось в розмірі. Який тип алергічної реакції розвинувся у людини на туберкулін?
Питання 187
Фармацевт до золю срібла хлориду додавав електроліт невеликими порціями, при цьому коагуляція настала при більшій концентрації електроліту, ніж при одноразовому його додаванні. Це явище має назву:
Питання 188
Визначення масової частки фармацевтичних препаратів, які містять ароматичну аміногрупу проводять методом нітритометрії. Який зовнішній індикатор при цьому використовується?
Питання 189
Зображення до питання
Яка з наведених реакцій вказує на основні властивості піридину?
Питання 190
Яким реагентом можна відокремити магній-катіони від інших катіонів V аналітичної групи в систематичному ході аналізу?
Питання 191
Пагонам баранця звичайного притаманний такий тип галуження:
Питання 192
В аварійній ситуації аквалангіст швидко піднявся з глибини на поверхню. У нього відзначаються втрата свідомості, порушення дихання і серцевої діяльності в наслідок розвитку кесонної хвороби. Яке ускладнення може розвинутись у аквалангіста?
Питання 193
Позитивний результат при лікуванні сифілісу дає піротерапія. З яким впливом лихоманки на організм це пов’язано?
Питання 194
Жінці 65-ти років з переломом нижньої щелепи призначили препарат із групи наркотичних анальгетиків. Назвіть препарат:
Питання 195
До приймального відділення надійшов у важкому стані чоловік 38-ми років, який отруївся сулемою. Який антидот треба негайно ввести хворому?
Питання 196
Хворий страждає на тромбофлебіт. Який з вітамінів, що посилює синтез факторів згортання крові, може провокувати загострення даного захворювання?
Питання 197
У сільській місцевості серед тварин виникли випадки сибірки. Для попередження розповсюдження захворювання необхідно провести масову імунізацію тварин. Який препарат необхідно використати?
Питання 198
Для проникнення в тканини організму і поширення в них патогенні мікроорганізми продукують різноманітні ферменти. Виберіть ці ферменти серед перерахованих:
Питання 199
Для попередження і лікування інфекційних захворювань часто використовуються профілактично-лікувальні сироватки та імуноглобуліни. Який вид імунітету створюється у людини після введення цих препаратів?
Питання 200
У препарованій квітці тюльпану встановлено: гінецей багатогніздний, утворений при бічному зростанні плодолистків, тобто він: