MDstuds

2014 - Основна сесія

2014 - Основна сесія
Питань: 198
198:00
Питання 1 з 198
Питання 1
Дослідження залежності швидкості реакцій від різних факторів дозволяє інтенсифікувати технологічні процеси. Який з факторів НЕ ВПЛИВАЄ на константу швидкості хімічної реакції?
Питання 2
Препарована квітка, в якої оцвітина редукована до плівок, 3 тичинки на довгих тичинкових нитках, маточка з 2-лопатевою перистою приймочкою, що характерно для:
Питання 3
В цієї родини рослин суцвіття можуть складатись з різних типів квіток: трубчастих, язичкових, несправжньоязичкових або воронкоподібних. Вкажіть цю родину:
Питання 4
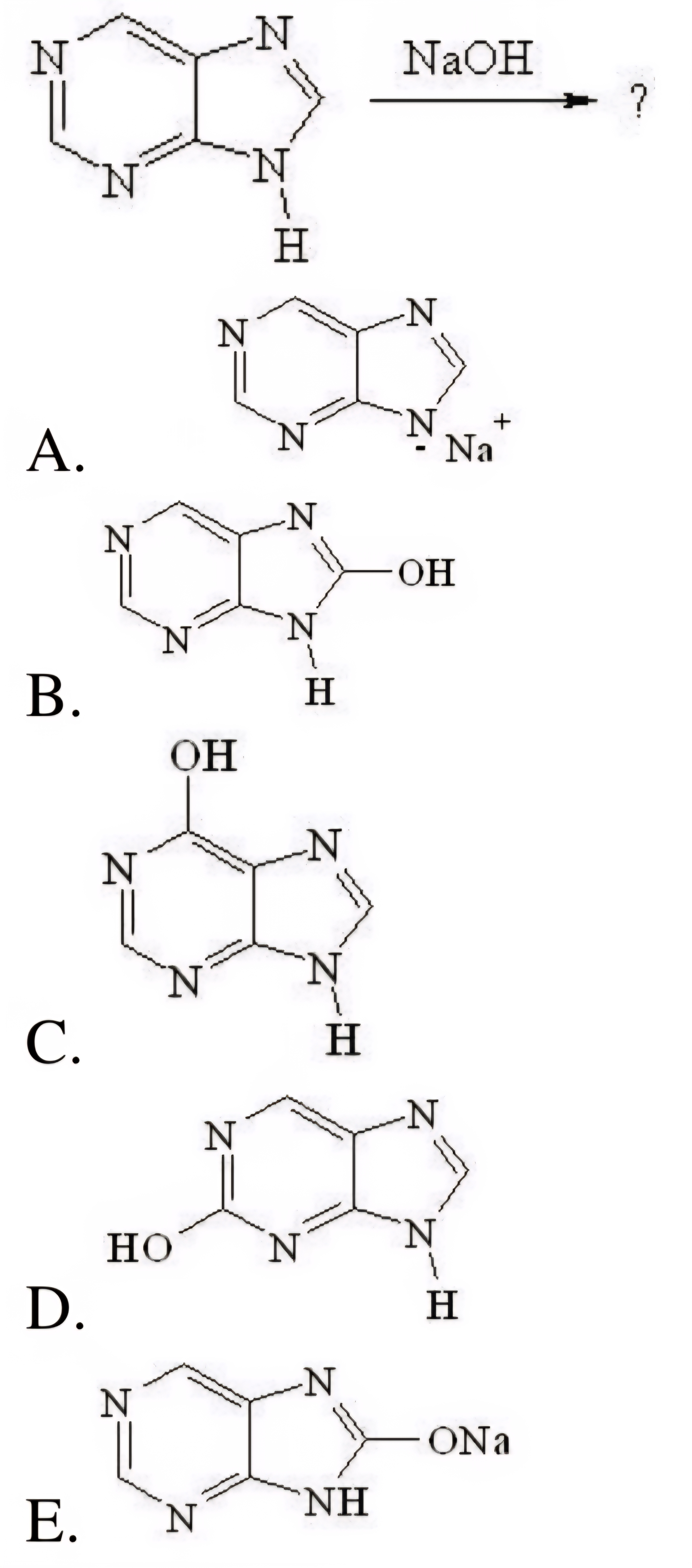
Зображення до питання
Вкажіть продукт взаємодії пурину з натрій гідроксидом:
Питання 5
Допоможіть лікарю вибрати препарат для замісної терапії після видалення щитоподібної залози:
Питання 6
Зображення до питання
З яким реагентом п-амінобензойна кислота реагує по аміногрупі?
Питання 7
Хворий 55-ти років перебуває у лікарні з приводу хронічної недостатності серця. Об’єктивно: шкіра і слизові ціанотичні, тахікардія, тахіпное. Який вид гіпоксії у хворого?
Питання 8
Вкажіть препарат, що має аналептичну та психостимулюючу дію:
Питання 9
Однаковий аналітичний ефект спостерігають при взаємодії NO2- та NO3--іонів з:
Питання 10
При морфологічному аналізі студент звернув увагу, що у квітці дві тичинки довгі, а дві короткі. Отже, андроцей:
Питання 11
Вкажіть кількість п-електронів у молекулі бензолу:
Питання 12
Для лікування хвороби Паркінсона використовують L-DOФА та його похідні. З якої амінокислоти утворюється ця речовина?
Питання 13
Для одержання ефірної олії взяли плід рослини з родини Рутові, що має залозистий помаранчевий екзокарпій, білий губчастий мезокарпій і розрослий соковитий ендокарпій. Такий плід називають:
Питання 14
До п’ятої групи катіонів належать катіони Fe3+, Fe2+, Mg2+, Mn2+, Bi3+, S b(I I I ), S b(V ). Груповим реагентом для п’ятої групи катіонів є розчин:
Питання 15
Зображення до питання
Який продукт утворюється при взаємодії пропіонового альдегіду з PCl5?
Питання 16
Хворий звернувся до лікаря із скаргою на втрату чутливості та болі по ходу периферичних нервів. При аналізі крові виявлено підвищений вміст піровиноградної кислоти. Нестача якого вітаміну може викликати такі зміни?
Питання 17
У хворого після введення парентерально вітаміну B6 розвинувся анафілактичний шок з явищами бронхоспазму, зниженням артеріального тиску, ціанозом та судомами. Який медіатор анафілаксії спричинює падіння артеріального тиску?
Питання 18
В стаціонарі знаходиться хвора на цукровий діабет, у якої після введення інсуліну розвинулась гіпоглікемічна кома. Який лікарський засіб може швидко покращити її стан?
Питання 19
Потерпілого доставили в лікарню з гаража, де він перебував у непритомному стані при працюючому моторі автомобіля. Попередній діагноз - отруєння чадним газом. Розвиток гіпоксії у потерпілого пов’язаний з тим, що у крові накопичується:
Питання 20
Зображення до питання
Продуктами реакції нітрування толуолу переважно будуть:
Питання 21
Емульсії, які містять менше, ніж 0,1% (за об’ємом) дисперсної фази відносяться до:
Питання 22
Спеціаліст для кількісного визначення хлорид-іонів в лікарському препараті використав метод Мора. Кінцева точка титрування була зафіксована за утворенням цегляночервоного осаду, який утворений такою сполукою:
Питання 23
Хворому на інфаркт міокарда проводилась терапія по протидії внутрішньосудинному згортанню крові. Який лікарський препарат можна застосовувати з цією метою?
Питання 24
При обробці рослинних клітин флороглюцином з концентрованою сірчаною кислотою їх оболонки набули малиново-червого забарвлення, що вказує на їх:
Питання 25
Які катіони IV групи знаходяться у розчині, якщо під дією розчину гідроксиду натрію утворюється забарвлений осад, розчинний у надлишку реагенту?
Питання 26
При порївняльному аналїзї листків рослин родини Polygonaceae встановлено, що загальною ознакою є наявність у них:
Питання 27
Хворому з дискінезією травного тракту призначений метоклопрамід. З чим пов’язаний протиблювотний ефект цього препарату?
Питання 28
При очищенні гліцерину, який входить до складу багатьох лікарських форм, використовують активне вугілля. Яке явище лежить в основі цього процесу?
Питання 29
Під час бактеріологічного дослідження випорожнень хворого на гостру кишкову інфекцію була виділена культура Shigella sonnei. Яку з названих серологічних реакцій було застосовано для ідентифікації виділеної культури?
Питання 30
В хіміко-аналітичній лабораторії спеціаліст досліджує суміш катіонів V аналітичної групи. При додаванні тіоціонат-іонів розчин забарвлюється в червоний колір. Про наявність якого катіону свідчить даний аналітичний ефект?
Питання 31
Бактерії з часом набувають стійкості до антибактеріальних засобів. Чим обумовлена резистентність у грампозитивних бактерій до антибіотиків пеніцилінового ряду?
Питання 32
У сироватці крові хворого визначено підвищену активність ізоферменту ЛДГ1. В якому органі локалізовано патологічний процес?
Питання 33
У медицині використовують ультрафіолетове опромінення у вигляді різних фізіопроцедур. Який з перерахованих механізмів лежить в основі лікувальної дії ультрафіолетових променів на організм?
Питання 34
У жінки 52-х років розвинулась катаракта (помутніння кришталика) на тлі цукрового діабету. Посилення якого процесу є причиною помутніння кришталика?
Питання 35
До розчину, що містить аніони другої аналітичної групи, додали розчин хлорної води та органічний екстрагент. При цьому утворилось фіолетове забарвлення органічного шару. Які аніони присутні у розчині?
Питання 36
Дослідження зібраних лікарських рослин показало їх значну обсіменінність різними бактеріями. Який метод треба використати, щоб виділити чисті культури цих бактерій?
Питання 37
Після прийому молока у однорічної дитини розвинулись діарея, здуття кишечнику. Дефіцит якого ферменту має місце у малюка?
Питання 38
Хворий страждає на жовчно-кам’яну хворобу. Який засіб слід йому призначити з метою усунення печінкової кольки?
Питання 39
Плід редьки дикої утворюється двома плодолистками, зростається краями і формує пластинку з несправжньою плівчастою перегородкою і насінинами, розташованими на ній з обох боків. При дозріванні він розпадається поперек на членики. Такий плід називається:
Питання 40
Для купірування нападу стенокардії хворий використовує нітрогліцерин у капсулах. Який раціональний шлях введення цього препарату?
Питання 41
Дією якого реагенту можна відрізнити етанол від гліцерину?
Питання 42
Зображення до питання
Який з наведених спиртів при окисненні утворює ацетон?
Питання 43
В епідермі листка виявлені клітини, що містять цистоліти. Наявність цистолітів характерно для рослин родини:
Питання 44
Зображення до питання
Оберіть правильну назву продукту реакції взаємодії оцтового альдегіду з гідразином:
Питання 45
При виготовленні титранту меркуриметрії - розчину солі ртуті (II) -для пригнічення його гідролізу додають таку кислоту:
Питання 46
Відомо, що деякі сполуки роз’єднують тканинне дихання та окисне фосфорилювання. Яка речовина має такі властивості?
Питання 47
Кров, яка є типовою колоїдною системою, здатна до згортання, що сприяє мінімальній крововтраті. Це обумовлено здатністю колоїдних частинок до:
Питання 48
Хворому з алергічним дерматитом був призначений супрастин. До якої групи антиалергічних засобів належить цей препарат?
Питання 49
Досліджувана суміш містить катіони Mg2+, Ni2+, Co2+. За допомогою якого реактиву можна виявити катіони Ni2+ у цій суміші?
Питання 50
Хворому для купірування судомного синдрому був призначений препарат з групи бензодіазепіну. Назвіть цей препарат:
Питання 51
Ви роздивляєтесь багату на ефірні олії та гіркоти сріблясто опушену рослину родини Asteraceae. Для заготівлі використовують верхівкові пагони з волоттю дрібних кулястих кошиків. Ця рослина:
Питання 52
В інфекційному відділенні знаходиться дитина 10-ти років з діагнозом "дифтерія зіву". Виділено дифтерійну паличку, токсигенний штам. Токсигенність виділеної дифтерійної палички встановлюють у реакції:
Питання 53
Класифікація аніонів базується на різній розчинності їх солей з іонами Bа2+ та Ag+. Аніони першої аналітичної групи утворюють малорозчинні у воді солі з іонами:
Питання 54
В клінічній практиці для фракціонування білків сироватки крові та інших біологічних рідин використовується метод висолювання. Які сполуки застосовуються для цієї мети?
Питання 55
У хворого 54-х років, який скаржиться на біль, блідість та відчуття похолодання нижніх кінцівок, лікар діагностував облітеруючий ендартеріїт. Яке порушення периферичного кровообігу є головною причиною зазначених симптомів?
Питання 56
Хворий поступив до клініки зі скаргами на загальну слабкість, головний біль, біль у поперековій ділянці тіла, набряки обличчя та кінцівок. В аналізі сечі: протеїнурія, гематурія, циліндрурія. Що є провідним патогенетичним механізмом набряків при гломерулонефриті?
Питання 57
Зображення до питання
γ-Бутиролактон утворюється при нагріванні γ-гідроксимасляної кислоти. Зазначте його серед наведених сполук:
Питання 58
Чоловіку з перелом стегнової кістки для зняття больового синдрому був призначений препарат. Вкажіть цей лікарський засіб:
Питання 59
Зображення до питання
При взаємодії речовин за схемою одержують:
Питання 60
Від хворого з діагнозом "холера"виділена чиста культура рухливих вібріонів. До якої групи джгутикових бактерій відноситься цей збудник?
Питання 61
Лікарем був поставлений діагноз: бронхіальна астма. Вкажіть лікарський засіб, що може бути прописаний для усунення ядухи під час нападу:
Питання 62
Квітки з хрестоподібними чашечкою і вінчиком, чотирисильним андроцеєм, плоди - стручки і стручечки, характерні для такої родини:
Питання 63
У хворого з хронічною серцевою недостатністю гематокрит складає 0,56 г/л, у клінічному аналізі крові абсолютний еритроцитоз. До яких порушень об’єму циркулюючої крові відносяться дані зміни?
Питання 64
При визначенні стрептоциду (ароматичного аміну) методом нітритометрії для прискорення реакції діазотування додають каталізатор. Вкажіть речовину, яка виконує роль каталізатора:
Питання 65
З яким із реагентів за наведених умов відбувається відновлення ненасичених органічних сполук?
Питання 66
При однаковій молярній концентрації розчин якої з речовин характеризується мінімальною температурою кристалізації?
Питання 67
Константа швидкості хімічної реакції чисельно дорівнює швидкості реакції за умови, що молярні концентрації:
Питання 68
Зображення до питання
Серед наведених проміжних активних часточок оберіть радикал:
Питання 69
У медичній практиці застосовують антимікробні препарати з різним типом дії на мікроорганізми. Як називається ти дії препарату, що призводить до загибелі бактерій?
Питання 70
Для дослідження від хворого з ознаками гострого менінгіту було взято спинномозкову рідину В мазку з неї виявлено грамнегативні диплококи в лейкоцитах та поза ними. Який мікроорганізм найбільш імовірно є причиною захворювання?
Питання 71
У хворого на бронхіальну астму розвинувся напад: дихання утруднене, ЧД- 24-26/хв., вдихи змінюються подовженими видихами за участю експіраторних м’язів. Яка форма порушення дихання у хворого?
Питання 72
При додаванні суміші літій та кальцій хлоридів до золю лікарського засобу спостерігалось посилення коагулюючої дії суміші, яке називається:
Питання 73
Під час голодування активується глюконеогенез. Назвіть вітамін, що бере активну участь у процесі карбоксилювання піровиноградної кислоти:
Питання 74
Визначення масової частки фармацевтичних препаратів, які містять ароматичну аміногрупу проводять методом нітритометрії. Який зовнішній індикатор при цьому використовується?
Питання 75
У хворого діагностовано посилене гниття білків у кишечнику. За кількістю якої речовини в сечі оцінюють інтенсивність цього процесу і швидкість реакції знешкодження токсичних продуктів у печінці?
Питання 76
Йоном-коагулятором буде та частинка, яка має заряд:
Питання 77
На приємстві мікробіологічне дослідження водопровідної води. Який метод дослідження використали для оцінки загального мікробного числа?
Питання 78
Зображення до питання
Яка з реакцій свідчить про кислотні властивості піролу?
Питання 79
Зображення до питання
Продуктом якої реакції буде натрію нікотинат?
Питання 80
Яка якісна реакція підтверджує ненасиченість лінолевої кислоти? CH3(CH2)4CH=CH-СH2-CH=CH(CH2)7COOH
Питання 81
У жінки 49-ти років, яка тривалий час страждає на цукровий діабет, після введення інсуліну виникли слабкість, блідість обличчя, серцебиття, неспокій, двоїння в очах, оніміння губ і кінчика язика. Рівень глюкози крові становив 2,5 ммоль/л. Яке ускладнення розвивається у хворої?
Питання 82
Для визначення масової частки арґентуму нітрату в лікарському препараті використовують метод прямого титрування за Фольгардом. Титрування проводять у присутності розчину індикатора:
Питання 83
Насіння пристосовані для різних варіантів розповсюдження. До якої групи відносяться рослини, у яких розповсюдження насіння і плодів відбувається за допомогою тварин?
Питання 84
Хворий 67-ми років з хронічною серцевою недостатністю отримує дигоксин. Для зменшення побічної дії дигоксину лікар порадив його комбінувати з таким препаратом:
Питання 85
Протипухлинні препарати здатні пригнічувати поділ ракових клітин. Механізмом дії протипухлинного фармпрепарату 5-фторурацилу є безпосереднє гальмування синтезу:
Питання 86
При мікроскопії оплодня маку опійного було виявлено трубчасті структури з білим латексом, які є:
Питання 87
Біля місцевості, де планують відкрити дитячий табір для літнього відпочинку, знаходиться колодязь. За яким показником слід оцінювати ступінь біологічного забруднення питної води?
Питання 88
Вкажіть гормональний препарат для стимуляції пологів:
Питання 89
При мікроскопії стебла квіткової рослини у флоемі виявлений комплекс таких гістологічних елементів: ситоподібні трубки з клітинами-супутницями, луб’яні волокна, луб’яна паренхіма, що характерно для:
Питання 90
В розчині присутні йодид- і хлорид-іони. Виберіть реагент для виявлення йодид-іонів:
Питання 91
Після приготування живильного середовища, що містить розчини вуглеводів, лаборант провів його стерилізацію. Який спосіб стерилізації був застосований?
Питання 92
У новонародженої дитини внаслідок резус-конфлікту виникла гемолітична жовтяниця. Вміст якого жовчного пігменту буде найбільш підвищеним у крові цієї дитини?
Питання 93
Гравіметричне визначення вологи у фармацевтичних препаратах виконують методом:
Питання 94
У товстій кишці декарбоксилюються деякі амінокислоти з утворенням токсичних речовин. Яка сполука утворюється із орнітину?
Питання 95
Зображення до питання
Вкажіть речовину, що утворюється при здійсненні даної реакції:
Питання 96
Еритроцити для своєї життєдіяльності потребують енергії у вигляді АТФ. Укажіть метаболічний процес, який забезпечує еритроцит необхідною кількістю АТФ:
Питання 97
При вивченні рослини капусти кольрабі, студенти звернули увагу на надземний метаморфоз головного пагона з потовщеними здутими м’ясистими меживузлями. Це:
Питання 98
Для кількісного визначення ферум II сульфату методом потенціометричного титрування в якості індикаторного електроду застосовують:
Питання 99
Яке правило застосовують для характеристики гетерогенних систем, у яких встановлюється фазова рівновага?
Питання 100
На яких механізмах ґрунтується принцип роботи рециркуляційних повітряноочисників, рекомендованих для використання в аптечних установах з метою підтримання мікробіологічної чистоти повітря?
Питання 101
До приймального відділення надійшов хворий з симптомами отруєння ртуттю. Який антидот показаний в даному випадку?
Питання 102
У ялини верхівковою брунькою росте головний пагін, а з бічних бруньок - бокові пагони. Ці ознаки притаманні такому типу галуження:
Питання 103
Леткі сполуки кальцію забарвлюють безбарвне полум’я пальника в такий колір:
Питання 104
Під час мікробіологічного контролю лікарської сировини виявлені капсульні бактерії. Який метод фарбування використали для виявлення капсули?
Питання 105
В хіміко-аналітичній лабораторії спеціаліст досліджував розчини, що містять суміші катіонів. В якому з розчинів містяться лише катіони II аналітичної групи?
Питання 106
У хворого 40-ка років у зв’язку з ураженням гіпоталамо-гіпофізарного провідникового шляху виникли поліурія (10-12 л за добу), полідипсія. При дефіциті якого гормону виникають такі розлади?
Питання 107
Зображення до питання
Визначте продукт нижченаведеної реакції:
Питання 108
У відповідності до теорії швидкої коагуляції Смолуховського, процес коагуляції описується кінетичним рівнянням такого порядку:
Питання 109
Хворому туберкульозом призначено антибіотик олігоміцин. Який процес гальмує цей препарат у мітохондріях?
Питання 110
Які продукти утворюються при нагріванні щавлевої кислоти (HOOC − COOH) з концентрованою сульфатною кислотою (H2SO4)?
Питання 111
Нітрит-іони в присутності нітрат-іонів можна виявити за допомогою:
Питання 112
Які частинки міцели, будова якої зображена формулою {m(AgCl) nAg+ (n - x) NO-}x+ xNO, знаходяться в дифузійному шарі?
Питання 113
Глюкокортикоїди мають протизапальну активність. Це пов’язано зі збільшенням за їх участю синтезу специфічних білків, які пригнічують активність фосфоліпази А2. Яка сполука вивільняється в результаті дії цієї фосфоліпази та є попередником протизапальних речовин?
Питання 114
Відомо, що визначення ізоферментів ЛДГ використовують в диференціальній діагностиці патологічних станів. За якою властивістю розділяють ізоформи лактатдегідрогенази?
Питання 115
Кропива дводомна, хміль звичайний, бузина чорна належать до рослин, які потребують великої кількості азоту в ґрунті, тобто вони:
Питання 116
Зображення до питання
Оберіть структуру бензену:
Питання 117
Приготували 0,1М розчин срібла нітрату. Вкажіть речовину-стандарт для стандартизації цього розчину:
Питання 118
У болотяної рослини з мечоподібними листками, суцвіттям початок (качан) з покривалом, кореневища товсті, легкі, духмяні, рожеві на зламі, із добре вираженими, зближеними рубцями і придатковими коренями. Це підземні органи:
Питання 119
Зображення до питання
Вкажіть сполуку, яка виявляє амфотерні властивості, тобто вступає в реакції як з кислотами, так і з основами з утворенням відповідних солей:
Питання 120
У хворого тривало тримається температура, причому різниця між ранковою і вечірньою температурою не перевищує 1oC. До якого типу температурних кривих відноситься лихоманка у даного хворого?
Питання 121
У хворого 46-ти років на 2-гу добу після гострого запалення колінного суглоба було відзначено збільшення суглоба у розмірах, набряклість шкіри. На якій стадії розвитку запалення спостерігаються дані ознаки?
Питання 122
Для визначення масової частки іонів барію в лікарському препараті використовують гравіметричний метод осадження. Гравіметричною формою в даному випадку є:
Питання 123
У фізико-хімічній лабораторії були приготовані водні розчини. Який з перерахованих розчинів має найбільший осмотичний тиск при 298K?
Питання 124
Який засіб краще призначити хворому з діагнозом амебна дизентєрія?
Питання 125
Хворій для лікування пневмонії призначено доксицикліцину гідрохлорид. До якої групи антибіотиків відноситься даний препарат?
Питання 126
Введення імунних препаратів формує штучний набутий імунітет. Які з нижчеперерахованих препаратів застосовують для створення штучного пасивного імунітету?
Питання 127
У хворого ВІЛ-інфекцією виявлені ознаки імунодефіциту. Порушення функції яких клітин є причиною?
Питання 128
При хворобі Паркінсона порушується синтез дофаміну в мозку. Для лікування використовується його безпосередній попередник, який легко проникає через гематоенцефалічний бар’єр, а саме:
Питання 129
Етіологічними факторами інфекційних захворювань можуть бути інфекційні агенти з різною ультраструктурою. Які з нижче перерахованих груп НЕ МАЮТЬ клітинної структури, білково-синтезуючої, ферментативної та енергетичної систем?
Питання 130
Не проводячи обчислень, визначити, в результаті якої реакції ентропія не змінюється?
Питання 131
При проведенні систематичного ходу аналізу на розчин подіяли груповим реагентом 1 М H2SO4 у присутності етилового спирту, утворився білий осад. Катіони якої групи присутні у розчині?
Питання 132
Для проникнення в тканини організму і поширення в них патогенні мікроорганізми продукують різноманітні ферменти. Виберіть ці ферменти серед перерахованих:
Питання 133
Яка сполука не містить карбоксильної групи, але називається кислотою?
Питання 134
Студенти на польовій практиці виявили рослину з різноманітністю листків, що відрізняються місцем розташування на пагоні, ступенем розвитку складових частин, розмірами, формою, розчленуванням листкової пластинки. Це явище називається:
Питання 135
Інфікування лікарських рослин мікроорганізмами унеможливлює їх подальше використання фармацевтичною промисловістю. Інвазивні властивості фітопатогенних мікроорганізмів обумовлюють:
Питання 136
Перетворення сукцинату в фумарат каталізується сукцинатдегідрогеназою. Який конкурентний інгібітор гальмує активність ферменту?
Питання 137
Хворий доставлений у лікарню. При обстеженні: порушення свідомості по типу сопору, шкіра бліда, волога, тахіпноє, запах ацетону з рота. Рівень глікемії 22 ммоль/л, глюкоза в сечі. Який патологічний стан спостерігається у хворого?
Питання 138
Хворому 49-ти років з гострою серцевою недостатністю і непереносимістю серцевих глікозидів було введено добутамін. Який механізм дії цього препарату?
Питання 139
Тепловий ефект хімічної реакції не залежить від шляху реакцій, тобто від проміжних стадій, а визначається лише початковим і кінцевим станами системи. Який закон термодинаміки це доводить?
Питання 140
Хворому з хворобою Паркінсона призначили препарат з переважним впливом на дофамінергічну систему. Назвіть цей лікарський засіб:
Питання 141
Зображення до питання
Вкажіть, яка з наведених реакцій називається реакцією В’юрця
Питання 142
В аптеці хворому на хронічний бронхіт відпускають глауцину гідрохлорид. Про який типовий побічний ефект препарату слід застерегти хворого?
Питання 143
У чоловіка 56-ти років розвинулась мегалобластна анемія на фоні алкогольного цирозу печінки. Дефіцит якого вітаміну є основною причиною анемії у цього пацієнта?
Питання 144
Емульсії - термодинамічно не стійкі. У них самочинно відбувається процес злиття краплинок дисперсної фази, який зумовлює розшарування емульсії. Таке явище називають:
Питання 145
Хворому з нирковою колькою в комплексну терапію долучено спазмолітик з групи М-холіноблокаторів, а саме:
Питання 146
Андроцей квітки Brassica oleracea має шість тичинок, чотири з яких внутрішнього кола довші за дві, що у зовнішньому колі. Як називають даний тип андроцею?
Питання 147
У хворого 55-років на 4-й день лікування індометацином виникла шлункова кровотеча з виразки слизової оболонки шлунка. Ульцерогенна дія препарату пов’язана із зменшенням активності такого ферменту:
Питання 148
Пацієнту, який тривалий час приймав препарат диклофенак-натрій. Сімейний лікар замість нього призначив целекоксиб. Яке захворювання стало підставою для заміни препарату?
Питання 149
Адреналін використовується для подовження дії новокаїну при інфільтраційній анестезії. З якою дією адреналіну пов’язаний цей ефект?
Питання 150
В медицині широко використовуються антибіотики, продуцентами яких є гриби родів Penіcіllіum і Aspergіllus, що відносяться до класу:
Питання 151
Покривна тканина коренів складається з клітин із тонкими целюлозними оболонками і виростами - кореневими волосками. Ця тканина:
Питання 152
Визначається тканина, для клітин якої характерно: ядро відносно велике, цитоплазма густа без вакуолей, мітохондрії і рибосоми численні, ендоплазматична сітка розвинена слабо, пластиди у стадії пропластид, ергастичні речовини відсутні. Ця тканина:
Питання 153
До аптечної мережі надійшли противірусні препарати. Який з перерахованих препаратів застосовують для лікування герпетичної інфекції?
Питання 154
Кофеїн пригнічує активність фосфодіестерази, яка перетворює цАМФ до АМФ. При отруєнні кофеїном найбільш характерними є зниження активності такого процесу:
Питання 155
Взаємодія між дисперсною фазою та дисперсійним середовищем для різних систем проявляється не в однаковій мірі. Якщо дисперсна фаза слабо взаємодіє з середовищем, то систему називають:
Питання 156
Виберіть сполуку, із якої в одну стадію можна синтезувати ацетонітрил CH3- C ≡ N
Питання 157
Потенціометричний метод визначення рН як найбільш універсальний занесений до Державної Фармакопеї України. За допомогою якої з пар електродів можна визначити рН?
Питання 158
Зображення до питання
За допомогою якого реагенту можна здійснити наступне перетворення:
Питання 159
Кількісний вміст KOH та K2CO3 у суміші можна визначити методом:
Питання 160
Запропонуйте хворому на хронічний бронхіт відхаркувальний засіб, який можна придбати в аптеці для полегшення відходження густого та в’язкого харкотиння:
Питання 161
У похилого хворого під час гіпертонічного кризу спостерігається задишка, набряклість ніг, підвищена втомлюваність. Який вид серцевої недостатності за механізмом розвитку відзначається у даного хворого?
Питання 162
Молярна концентрація розчинів складає 0,1М. Який з розчинів характеризується найбільшим осмотичним тиском?
Питання 163
У хворого гіперхромна В12-дефіцитна анемія. Препарат якого вітаміну йому необхідно призначити?
Питання 164
У хворого 59-ти років при флюорографії виявили у нижній частці правої легені затемнення з чіткими межами, характерне для пухлини. Яка з ознак характерна для доброякісної пухлини?
Питання 165
Студент аналізує орган рослини, що має радіальну симетрію, необмежений ріст, позитивний геотропізм і забезпечує живлення, вегетативне розмноження, закріплення рослини у ґрунті. Даний орган був визначений як:
Питання 166
У працівника птахофабрики, що вживав у їжу щодня 5 і більше сирих яєць з’явилась млявість, сонливість, біль у м’язах, випадіння волосся, себорея. З дефіцитом якого вітаміну пов’язаний даний стан?
Питання 167
Студентці з застудою лікар призначив жарознижуючий препарат. Вкажіть цей препарат:
Питання 168
Фармацевт до золю срібла хлориду додавав електроліт невеликими порціями, при цьому коагуляція настала при більшій концентрації електроліту, ніж при одноразовому його додаванні. Це явище має назву:
Питання 169
При вивченні мазку з вмісту карбункула виявлені великі грампозитивні палички з обрубаними кінцями, розташовані у вигляді ланцюгів, оточені загальною капсулою. Який попередній діагноз?
Питання 170
Кошики Helichrysum arenarium відрізнили від кошиків інших лікарських рослин родини айстрових за характерною ознакою: листочки обгортки сухі та:
Питання 171
Хворому з гіпертонічною хворобою призначено каптоприл. Який механізм дії даного препарату?
Питання 172
Який реагент використовують для відокремлення осаду AgCl від AgI?
Питання 173
Для зв’язування іонів водню при ідентифікації іонів калію з винною кислотою використовують розчин:
Питання 174
Малюку у віці 7 місяців призначено лікарський засіб для перорального застосування. Сумарна кількість бактерій та грибів в 1 г (мл) такого засобу у відповідності до вимог ВООЗ та Національної Фармакопеї, повинна бути не більше:
Питання 175
Суцвіття подорожника великого наростає верхівкою, головна вісь довга, а квітки сидячі. Як називається таке суцвіття?
Питання 176
Які існують показання до застосування налоксону?
Питання 177
У дитини 5-ти років при вживанні молока часто відзначається здуття живота, спастичний біль та пронос. Ці симптоми виникають через 1-4 години після вживання всього однієї дози молока. Дефіцитом яких ферментів зумовлена вказана симптоматика?
Питання 178
У хворого на гостру ниркову недостатність в стадії поліурії азотемія не тільки не зменшилась, але й продовжує наростати. Що в даному випадку спричиняє поліурію?
Питання 179
До лікаря звернувся чоловік 70-ти років зі скаргами на збільшення кистей, стоп, язика, зміну зовнішності (риси обличчя стали крупними). При обстеженні виявлено значне підвищення концентрації соматотропного гормону у крові. Чим зумовлений даний стан хворого?
Питання 180
Активність знешкодження токсичних речовин у дітей нижча у 4 рази, ніж у дорослих. Який фермент, необхідний для кон’югації токсичних сполук, має низьку активність у дітей?
Питання 181
У хворого при обстеженні у периферичній крові виявлено 5% мієлобластів. Ознакою якого захворювання може бути наявність цих клітин?
Питання 182
При якому стані у хворого спостерігається гіперглікемія, глюкозурія, висока густина сечі, в крові підвищена кількість глюкокортикоїдів; в крові і сечі підвищена концентрація 17-кетостероїдів?
Питання 183
Назвіть препарат, що звужує зіниці та знижує внутрішньоочний тиск:
Питання 184
Фазові діаграми використовують у фармацевтичному аналізі. Як називається лінія на діаграмі стану евтектичного типу, нижче якої не може існувати рідка фаза?
Питання 185
До V аналітичної групи катіонів відносяться йони Mn2+. Якісною реакцією для цих катіонів є:
Питання 186
Дисперсність колоїдно-дисперсних системах відповідає значенням:
Питання 187
За величинами константи швидкості можна робити висновки щодо перебігу процесів синтезу тих чи інших лікарських препаратів. Від якого з факторів залежить константа швидкості реакції?
Питання 188
Після тотальної резекції шлунка у хворого розвинулася тяжка B12- дефіцитна анемія з порушенням кровотворення і появою в крові змінених еритроцитів. Свідченням її була наявність у крові:
Питання 189
У складі м’якоті плода груші звичайної, Pyrus communis, виявлено групу паренхімних клітин з товстими оболонками та щілиноподібними порами. Це свідчить, що ці клітини відносяться до:
Питання 190
Ферменти бактерій характеризуються високою специфічністю дії. Ця їх властивість на практиці використовується для:
Питання 191
Для попередження якого з перерахованих захворювань використовується жива атенуйована вакцина?
Питання 192
У хворого на бронхіальну астму після вживання аспірину виник бронхоспазм. Яка гіпоксія розвинулась у хворого?
Питання 193
У хворих на алкоголізм часто спостерігаються розлади функції центральної нервової системи - втрата пам’яті, психози. Викликає вказані симптоми в організмі недостатність вітаміну B1. Порушення утворення якого коферменту може спричинити ці симптоми?
Питання 194
Яким реактивом можна одночасно визначити наявність альдегідної групи та глікольного фрагменту в молекулі глюкози?
Питання 195
При дослідженні поперечного зрізу кореня у провідній зоні видно закладення і формування з перициклу:
Питання 196
Фторид натрію входить до складу препаратів, що застосовують при лікуванні карієсу зубів. З якою із наведених сполук реагує NaF?
Питання 197
Біосинтез пуринового кільця відбувається на рибозо-5-фосфаті шляхом поступового нарощення атомів азоту і вуглецю та замикання кілець. Джерелом рибозофосфату є такий процес:
Питання 198
Після споживання високовуглеводної їжі спостерігається аліментарна гіперглікемія . Активність якого ферменту гепатоцитів при цьому індукується у найбільшій мірі?