MDstuds

2015 - Основна сесія

2015 - Основна сесія
Питань: 200
200:00
Питання 1 з 200
Питання 1
Яка із наведених сполук НЕ БУДЕ знебарвлювати бромну воду?
Питання 2
У хворого 47-ми років з двосторонньою пневмонією виявлено порушення кислотно-основного стану - компенсований газовий ацидоз. Який найбільш імовірний захисно-пристосувальний механізм підтримує компенсацію КОС у хворого?
Питання 3
Хворому з нирковою колькою в комплексну терапію долучено спазмолітик з групи М-холіноблокаторів, а саме:
Питання 4
Антидепресанти здатні збільшувати вміст катехоламінів у синаптичній щілині. У чому полягає механізм дії цих препаратів?
Питання 5
Які частинки міцели, будова якої зображена формулою {m(AgCl) nAg+ (n−x) NO3−}x+ xNO3−, знаходяться в дифузійному шарі?
Питання 6
У хворої 25-ти років невралгія трійчастого нерву. Їй призначено препарат, який застосовують й при мегалобластній анемії. Назвіть його:
Питання 7
Досліджувана суміш містить катіони Mg2+, Ni2+, Co2+. За допомогою якого реактиву можна виявити катіони Ni2+ у цій суміші?
Питання 8
У хворого на фоні неспецифічного виразкового коліту розвинулася анемія. В крові: гіпохромія, мікро-, анізоцитоз, пойкілоцитоз. Про який вид анемії слід думати?
Питання 9
Взаємодія між дисперсною фазою та дисперсійним середовищем для різних систем проявляється не в однаковій мірі. Якщо дисперсна фаза слабо взаємодіє з середовищем, то систему називають:
Питання 10
Чоловік 35-ти років, який декілька років страждав на виразкову хворобу шлунка, після прийому їжі відчув гострий інтенсивний біль у верхній частині живота. При пальпації відмічається напруження передньої черевної стінки. Яке ускладнення виразкової хвороби виникло у чоловіка?
Питання 11
Під час мікроскопії стебла виявлено комплексну тканину, яка складається з ситоподібних трубок з клітинамисупутницями, луб’яних волокон та луб’яної паренхіми. Це:
Питання 12
Хворий 54-х років страждає на хронічний алкоголізм і цироз печінки з розвитком асциту. Який патогенетичний механізм є пусковим у розвитку асциту при цирозі печінки?
Питання 13
Пацієнт звернувся до лікаря зі скаргами на періодичні гострі болі в животі, судоми, порушення зору, відмічає червоний колір сечі. Діагностовано порфірію. Ймовірна причина хвороби - порушення біосинтезу:
Питання 14
Йоном-коагулятором буде та частинка, яка має заряд:
Питання 15
Ферменти бактерій характеризуються високою специфічністю дії. Ця їх властивість на практиці використовується для:
Питання 16
У хворого обструктивний тип дихальної недостатності. Назвіть захворювання, при якому настає така дихальна недостатність:
Питання 17
У фармацевтичній практиці широко використовують виготовлення ліків у вигляді колоїдно-дисперсних систем. Який метод одержання золів відноситься до фізичної конденсації?
Питання 18
В методі визначення терміну придатності лікарського препарату допускають, що реакція розкладання лікарської речовини є реакцією такого порядку:
Питання 19
У медичній практиці використовуються сульфаніламідні препарати, які є конкурентним інгібітором ферменту фолатсинтази. Синтез якого вітаміну при цьому блокується?
Питання 20
Для активації та переносу ВЖК через мітохондріальну мембрану потрібні вітаміни та вітаміноподібні сполуки. Вкажіть одну з них:
Питання 21
При вивченні посівів повітря, взятого в аптеці, бактеріолог виявив санітарно-показовий мікроорганізм. Це:
Питання 22
У хворого внаслідок значної крововтрати, що становила 40% об’єму крові, виникла анурія. Який провідний механізм її виникнення в даному випадку?
Питання 23
Пацієнту призначили протикашлевий препарат, який вибірково пригнічує центральні ланки кашлевого рефлексу, не пригнічує дихальний центр, не викликає наркотичної залежності. Це:
Питання 24
Хвора 54-х років з виразковою хворобою шлунка скаржиться на різку слабкість та задишку під час незначного фізичного навантаження. У крові: ер.- 1,44•1012/л, Hb- 66 г/л, КП- 1,4. Для якої анемії притаманні виявлені зміни складу периферичної крові?
Питання 25
У товстій кишці декарбоксилюються деякі амінокислоти з утворенням токсичних речовин. Яка сполука утворюється із орнітину?
Питання 26
Хворому на стенокардію призначили метопролол. Який фармакологічний ефект дозволяє застосувати цей препарат для лікування стенокардії?
Питання 27
Вкажіть сполуку, яка виявляє найсильніші кислотні властивості:
Питання 28
У пацієнта 34-х років із геморагічним інсультом відмічається повна втрата рухів правої руки. Цей патологічний стан має назву:
Питання 29
Груповим реактивом на катіони VI аналітичної групи ( кислотно-основна класифікація) Co2+, Ni2+, Cd2+, Cu2+, Hg2+ є надлишок концентрованого амонію гідроксиду. При цьому спостерігається утворення:
Питання 30
Пірол відноситься до:
Питання 31
Гравіметричне визначення вологи у фармацевтичних препаратах виконують методом:
Питання 32
У хворого з артеріальною гіпертензією при обстеженні виявлено розширення меж серця, збільшення ударного і хвилинного об’єму без зміни частоти серцевих скорочень. Отримані зміни параметрів серцевої діяльності необхідно розцінювати як:
Питання 33
Зображення до питання
Молекула мальтози (солодового цукру) складається з двох залишків
Питання 34
Хворому на епілепсію та схильному до депресії призначено протиепілептичний препарат, що збільшує вміст ГАМК у ЦНС за рахунок пригнічення ферменту ГАМК-трансамінази. Визначте цей препарат:
Питання 35
Для лікування хвороби Паркінсона використовують L-DOФА та його похідні. З якої амінокислоти утворюється ця речовина?
Питання 36
Плід рослини родини капустяні складається з двох стулок та несправжньої плівчастої перегородки, на якій розміщені насінини. Має приблизно однакову ширину і довжину. Даний плід:
Питання 37
Чоловік 42-х років, що хворіє на хронічний калькульозний холецистит, висловлює скарги на різкий біль у правому підребер’ї, свербіж і жовтяничність шкірних покривів, множинні дрібноточкові крововиливи, омилений і знебарвлений кал (стеаторея). Який тип жовтяниці спостерігається у хворого?
Питання 38
Емульсії класифікують за об’ємною концентрацією дисперсної фази. До якої групи належать емульсії з концентрацією 0,1-74,0% об.?
Питання 39
Який продукт утвориться при взаємодії етилйодиду з калій ціанідом?
Питання 40
Хворий скаржиться на біль в епігастрії оперізуючого характеру. При обстеженні виявлено підвищений вміст діастази в сечі, а також неперетравлений жир у калі. Для якої патології найбільш характерні вказані явища?
Питання 41
Для виготовлення та аналізу лікарських препаратів широко застосовуються буферні розчини. Вони використовуються з метою:
Питання 42
У жінки 52-х років розвинулась катаракта (помутніння кришталика) на тлі цукрового діабету. Посилення якого процесу є причиною помутніння кришталика?
Питання 43
Одним з джерел забруднення лікарських засобів мікроорганізмами може бути лабораторний посуд. Який метод доцільно використовувати для його стерилізації?
Питання 44
Назвіть провідний механізм протиатеросклеротичної дії клофібрату (фенофібрату):
Питання 45
Хворій для лікування пневмонії призначено доксицикліну гідрохлорид. До якої групи антибіотиків відноситься данний препарат?
Питання 46
Підберіть доречний методичний прийом, якщо речовина реагує з титрантом стехіометрично, але повільно:
Питання 47
Хворому з набряковим синдромом необхідно призначити сечогінні препарати. Оберіть оптимальне їх поєднання:
Питання 48
До якого електроду буде рухатися частинка білка при електрофорезі, якщо його ізоелектрична точка дорівнює 4 ,0, а рН становить 5 ,0?
Питання 49
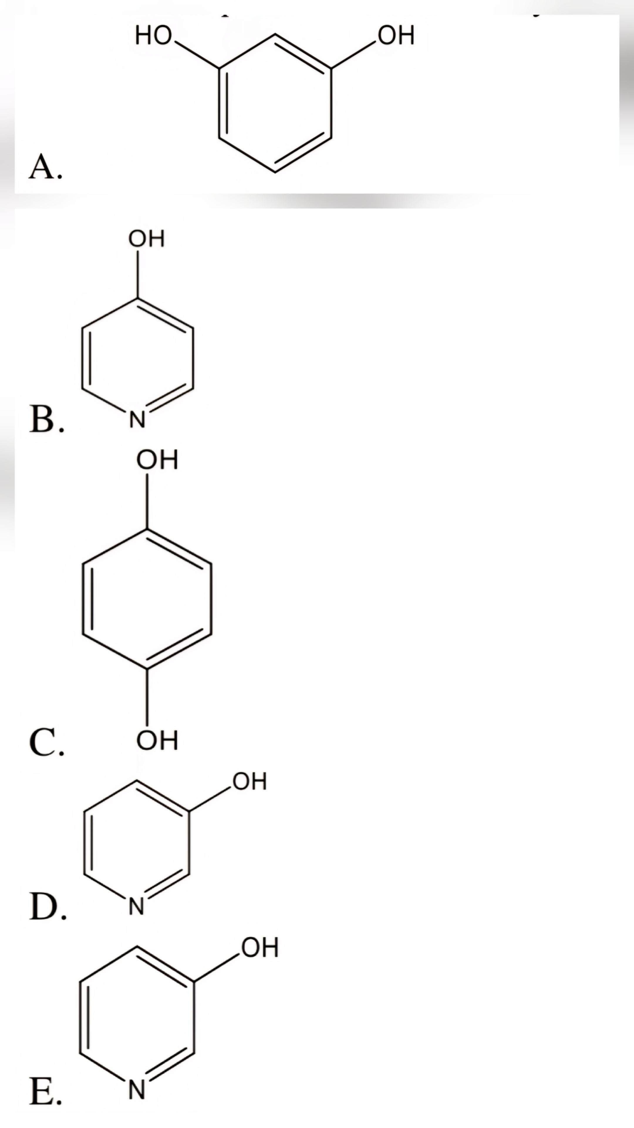
Зображення до питання
Серед наведених сполук вкажіть резорцин (1,3-дигідроксибензен):
Питання 50
Хворому з гіпертонічною хворобою призначено каптоприл. Який механізм дії даного препарату?
Питання 51
В умовах аптеки виникла потреба стерилізації рідкої лікарської форми механічним методом. Який апарат використали для цього?
Питання 52
Після споживання високовуглеводної їжі спостерігається аліментарна гіперглікемія. Активність якого ферменту гепатоцитів при цьому індукується у найбільшій мірі?
Питання 53
Зображення до питання
Як називається альдегід наступної будови:
Питання 54
З метою лікування дисбактеріозу використовують колібактерин. Цей препарат містить у собі кишкову паличку, яка здатна виробляти бактеріоцини. Наявністю яких клітинних структур обумовлена ця властивість?
Питання 55
Зображення до питання
Сечова кислота є похідним:
Питання 56
Активність знешкодження токсичних речовин у дітей нижча у 4 рази, ніж у дорослих. Який фермент, необхідний для кон’югації токсичних сполук, має низьку активність у дітей?
Питання 57
Глутамінова кислота використовується як фармацевтичний препарат для стимуляції окисних процесів в тканинах мозку. За яким рівнянням можна визначити її поверхневий натяг?
Питання 58
Під час збирання лікарської сировини виявилося, що в неї виражена мозаїчність листя. Які мікроорганізми спричиняють це захворювання?
Питання 59
Вітамін 6 входить до складу коферменту піридоксальфосфату (ПАЛФ). Які реакції протікають за участю ПАЛФ?
Питання 60
Ценокарпний плід розділяється на два мерикарпія. В борозенках оплодня між ребрами проходять схизогенні ефіроолійні канальці. Це:
Питання 61
Для гравіметричного визначення сульфат-іонів у якості осадителя використовують розчин:
Питання 62
Згідно з вимогами ВООЗ та Фармакопеї в різних лікарських формах нестерильних препаратів допускається певна кількість бактерій та грибів. Яка кількість сапрофітних бактерій та грибів в 1 г (мл) перорального препарату гарантує його безпеку?
Питання 63
У хворого виявлено гострий панкреатит. Для уникнення аутолізу підшлункової залози необхідно застосувати:
Питання 64
Хворому з гострим бронхітом призначено відхаркувальний засіб, після прийому якого виник бронхоспазм. Який з перерахованих препаратів міг викликати даний побічний ефект?
Питання 65
При однаковій молярній концентрації розчин якої з речовин характеризується мінімальною температурою кристалізації?
Питання 66
У дитини з вираженою гіпотрофією виникли набряки на нижніх кінцівках, асцит. Якою є провідна ланка патогенезу кахектичного набряку?
Питання 67
На зрізі кореня Helianthus annuus виявлена вторинна пучкова будова, це означає, що зріз зроблено в зоні:
Питання 68
Дослідження зібраних лікарських рослин показало їх значну обсіменінність різними бактеріями. Який метод треба використати, щоб виділити чисті культури цих бактерій?
Питання 69
Якщо кількість високомолекулярної речовини, що додана до золю, дуже мала, то можливе не підвищення, а зниження його стійкості. Це явище одержало назву:
Питання 70
Визначення масової частки фармацевтичних препаратів, які містять ароматичну аміногрупу, проводять методом нітритометрії. Який зовнішній індикатор при цьому використовується?
Питання 71
Аптека отримала партію препаратів, що використовують для лікування хворих на туберкульоз. Який із перерахованих препаратів має протитуберкульозну дію?
Питання 72
Виберіть сполуку, із якої в одну стадію можна синтезувати ацетонітрил
Питання 73
Адреналін використовується для подовження дії новокаїну при інфільтраційній анестезії. З якою дією адреналіну пов’язаний цей ефект?
Питання 74
Після вживання їжі, збагаченої вуглеводами, рівень глюкози в крові спочатку збільшується, а потім знижується під дією інсуліну. Який процес активується під дією цього гормону?
Питання 75
Продуктом тримеризації ацетилену є:
Питання 76
У хворого 55-ти років на 4-й день лікування індометацином виникла шлункова кровотеча внаслідок утворення виразки слизової оболонки шлунка. Ульцерогенна дія препарату пов’язана із зменшенням активності такого ферменту:
Питання 77
При мікроскопічному дослідженні виявлена тканина, що складається з прозорих клітин з потовщеними зовнішніми кутинізованими клітинними стінками, продихами, трихомами. Ця тканина:
Питання 78
При арґентометричному визначенні лікарського препарату, що містить KBr, за методом Мора у якості індикатора використовують:
Питання 79
Який іон при нагріванні з металевим цинком у кислому середовищі утворює газ - арсин, що викликає появу жовто-бурої плями на папері, просоченому солями ртуті ( II ):
Питання 80
З метою мікроскопічного підтвердження діагнозу ”первинний сифіліс” у хворого здійснено забір виділень з виразки. Який вид мікроскопії використовується для виявлення та вивчення рухомості збудника?
Питання 81
Для адсорбції ПАР з неполярного розчинника бензолу найкращим адсорбентом буде:
Питання 82
Нелегальні емігранти із Сомалі були затримані на українському кордоні. При медичному огляді дитини 3-х років виявлено гіпотонію та дистрофію м’язів, депігментацію шкіри, знижений тургор, живіт збільшений у розмірі, дефіцит маси тіла. Встановлено діагноз квашіоркор. До якого виду часткового голодування відносять дану патологію?
Питання 83
Зображення до питання
Ізопентан і неопентан є:
Питання 84
Першими лейкоцитами, що з’являються у вогнищі запалення, є:
Питання 85
При проведенні систематичного ходу аналізу на розчин подіяли груповим реагентом 1М H2SO4 у присутності етилового спирту, утворився білий осад. Катіони якої групи присутні у розчині?
Питання 86
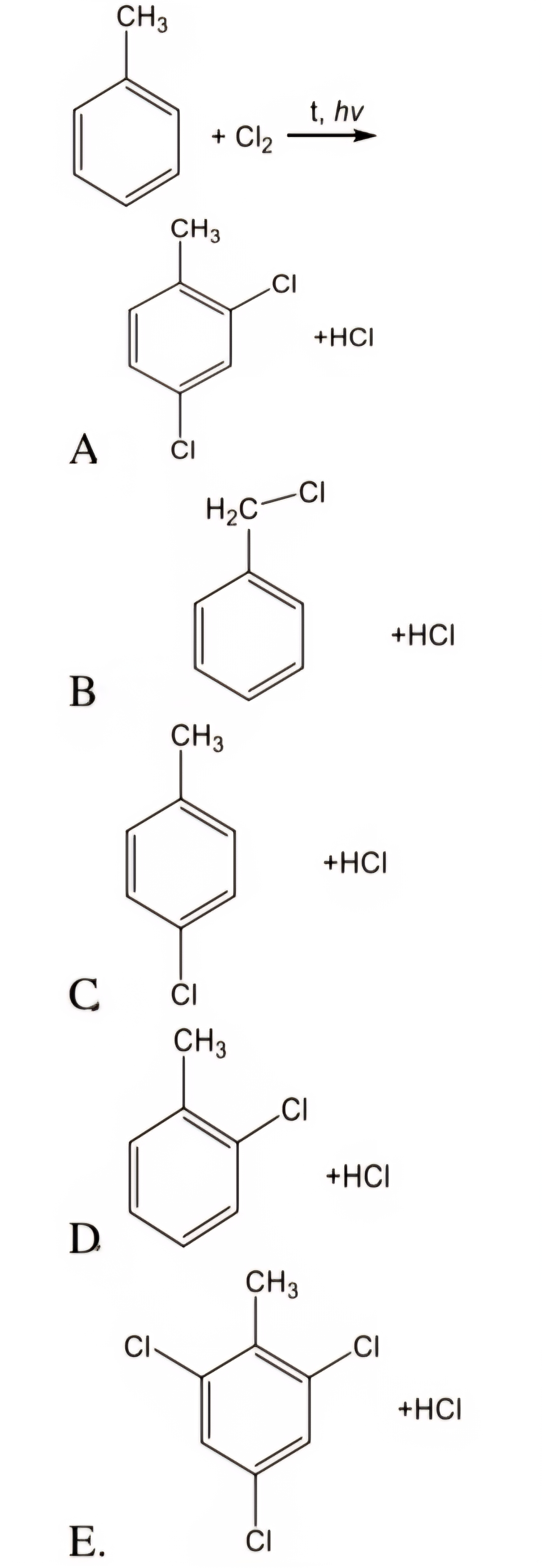
Зображення до питання
За вказаних умов взаємодія толуолу з хлором призводить до утворення:
Питання 87
Зображення до питання
Кінцевим продуктом розпаду білків в організмі людини є сечовина. До якого класу органічних сполук вона відноситься?
Питання 88
Хворого 45-ти років госпіталізовано у неврологічне відділення. У нього спостерігається гіперкінезія, тобто:
Питання 89
Зображення до питання
Наведена схема отримання нітроалканів називається реакцією:
Питання 90
Зображення до питання
Скільки існує стереоізомерних альдопентоз?
Питання 91
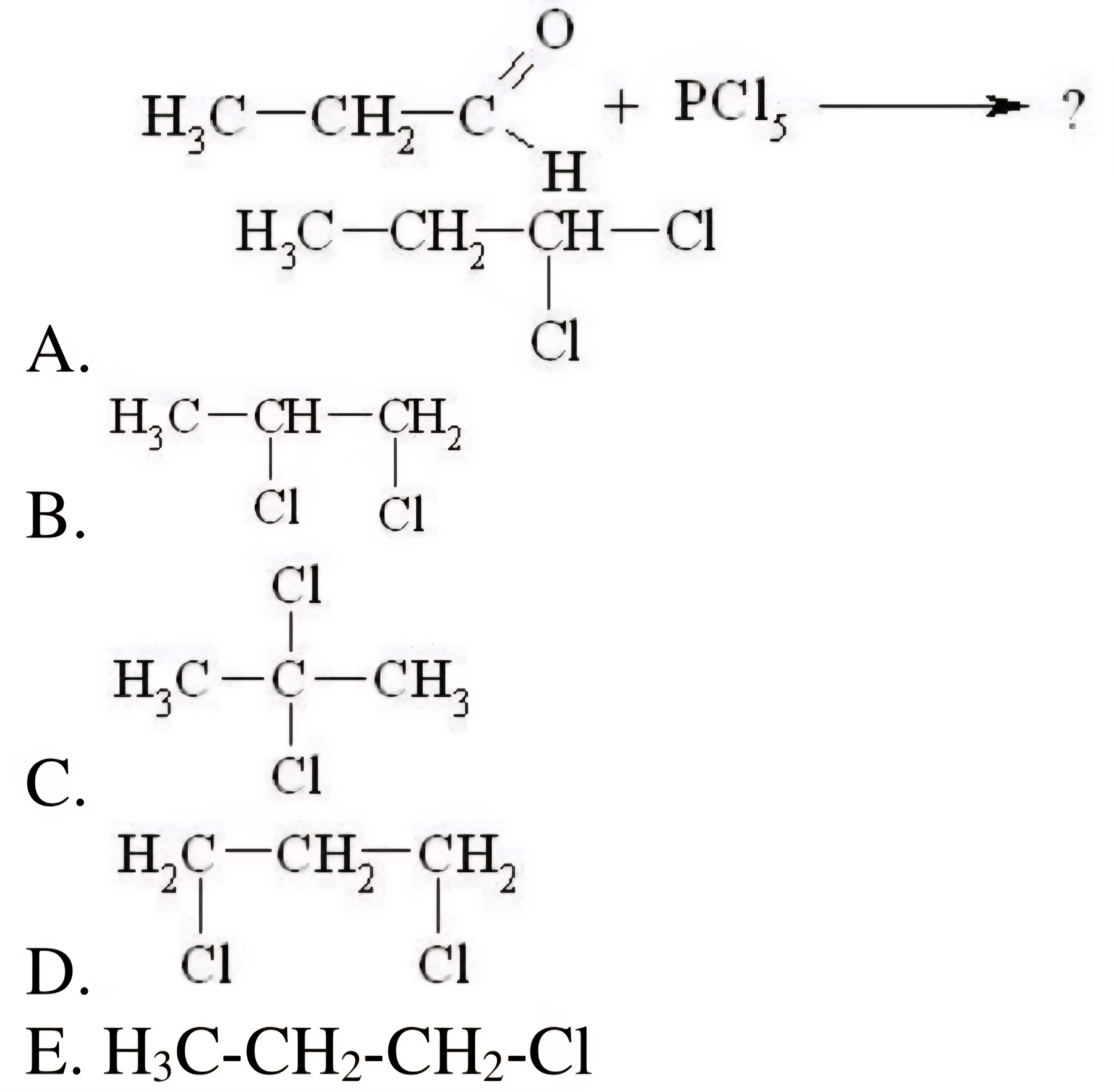
Зображення до питання
Який продукт утворюється при взаємодії пропіонового альдегіду з PCl5?
Питання 92
Порадьте хворій засіб для лікування нападів тахіаритмії:
Питання 93
До лікарні доставлено дитину з ознаками отруєння алклоїдами беладонни. Який препарат необхідно застосувати у якості антидоту?
Питання 94
Препарований апокарпний плід, у якого плодики з соковитим мезокарпієм та одним сім’ям, оточеним здеревенілим ендокарпієм. Цей плід:
Питання 95
У пацієнтки 46-ти років на фоні миготливої аритмії розвивається набряк легень. Який сечогінний препарат необхідно ввести?
Питання 96
Дослідження залежності швидкості реакцій від різних факторів дозволяє інтенсифікувати технологічні процеси. Який з факторів НЕ ВПЛИВАЄ на константу швидкості хімічної реакції?
Питання 97
Плід цинародій, який складається із соковитого червонуватого гіпантію та справжніх плодиків-горішків, мають види роду:
Питання 98
Хворому на виразкову хворобу шлунка призначили альмагель. Яка з фармакологічних властивостей препарату використовується для лікування цієї патології?
Питання 99
З плевральної порожнини хворого отримано ексудат наступного складу: білок - 34 г/л, клітини 3600 в мкл, переважають нейтрофіли, рН- 6,8. Який вид ексудату у хворого?
Питання 100
α-амінокислоти R − CH(NH2) − COOH відносно легко декарбоксилюються до:
Питання 101
Чоловік 40-ка років скаржиться на загальну слабкість, головний біль, підвищення температури тіла, кашель з виділенням харкотиння, задишку. Після огляду і обстеження встановлений діагноз: вогнищева пневмонія. Який тип гіпоксії спостерігається у хворого?
Питання 102
Дефіцит якого вітаміну найбільше буде спричиняти активізацію процесів перекисного окиснення ліпідів?
Питання 103
У пагона апікальна брунька рано припиняє свій розвиток. Потім ріст забезпечують дві бічні бруньки. Вони розміщені супротивно під верхівкою. Таке галуження пагона називається:
Питання 104
В клінічній практиці для фракціонування білків сироватки крові та інших біологічних рідин використовується метод висолювання. Які сполуки застосовуються для цієї мети?
Питання 105
Природна рослинна сировина, яку використовують для отримання ліків, може бути добрим поживним середовищем для розвитку багатьох мікроорганізмів. Виберіть із наведених спосіб, який найчастіше використовується для попередження розвитку мікроорганізмів на рослинах:
Питання 106
Який порядок має проста реакція складена за схемою А + В = 2С?
Питання 107
Встановлено, що у кореневищі та коренях Inula helenium є порожнини без чітких внутрішніх меж, які заповнені ефірними маслами. Це:
Питання 108
Однією з груп протиалергічних засобів є блокатори 1-гістамінових рецепторів. Який препарат належить до цієї групи?
Питання 109
В якості присипки для малюка педіатр порадив використовувати спори:
Питання 110
У контрольно-аналітичній лабораторії хіміку необхідно провести стандартизацію розчину натрію гідроксиду. Який первинний стандартний розчин може бути для цього використаний?
Питання 111
Які катіони IV групи знаходяться у розчині, якщо під дією розчину гідроксиду натрію утворюється забарвлений осад, розчинний у надлишку реагенту?
Питання 112
У складі м’якоті плода груші звичайної Pyrus communis виявлено групу паренхімних клітин з товстими оболонками та щілиновидними порами. Це свідчить, що ці клітини відносяться до:
Питання 113
Мікроаналіз кореневища виявив відкриті колатеральні провідні пучки, які розташовані кільцем; це може свідчити про належність рослини до класу:
Питання 114
Зображення до питання
Продуктом якої реакції буде натрію нікотинат?
Питання 115
Мікроскопічним дослідженням стебла багаторічної рослини виявлено покривну тканину вторинного походження, що утворилась внаслідок поділу клітин:
Питання 116
Препарат з якої фармакологічної групи необхідно призначити хворому, що переніс інфаркт міокарда, для профілактики тромбозу?
Питання 117
Рівноважний стан хімічної реакції відноситься до конкретних процесів, які відбуваються в хімікофармацевтичному виробництві. Для оборотних реакцій він описується:
Питання 118
Бактерії з часом набувають стійкості до антибактеріальних засобів. Чим обумовлена резистентність у грампозитивних бактерій до антибіотиків пеніцилінового ряду?
Питання 119
Інфікування лікарських рослин мікроорганізмами унеможливлює їх подальше використання фармацевтичною промисловістю. Інвазивні властивості фітопатогенних мікроорганізмів обумовлюють:
Питання 120
Після курсу антибіотикотерапії хворому з метою профілактики дисбактеріозу було призначено препарат для відновлення нормальної мікрофлори, який містить живі мікроорганізми і продукти їх життєдіяльності. До якої групи він належить?
Питання 121
У пацієнта отруєння морфіном. Який препарат для промивання шлунка показаний?
Питання 122
Які продукти утворюються при нагріванні щавлевої кислоти ( HOOC − COOH ) з концентрованою сульфатною кислотою (H2SO4) ?
Питання 123
У хворого діагностовано рак правої легені та призначене оперативне лікування. Після операції правобічної пульмонектомії у хворого з’явилася виражена задишка. Яка форма дихальної недостатності розвинулася у хворого?
Питання 124
При броматометричному визначенні стрептоциду (первинний ароматичний амін) застосовують пряме титрування стандартним розчином калію бромату. Як індикатор цього титрування застосовують:
Питання 125
При бактеріоскопічному дослідженні матеріалу з твердого шанкеру виявили рухомі, тонкі, довгі, звивисті мікроорганізми з рівномірними 8-12 завитками. Вказані властивості мають:
Питання 126
У хворого з високою температурою тіла, вираженими болями у горлі під час ковтання, діагностована ангіна. Які з вказаних симптомів відносяться до місцевих ознак гострого запалення?
Питання 127
Деякі похідні барбітурової кислоти здатні пригнічувати дихальний ланцюг. Вкажіть лікарський препарат, що гальмує клітинне дихання:
Питання 128
Найкращим прикладом ідеального розчину, що підпорядковується закону Рауля, є розчин:
Питання 129
Для профілактики кашлюка, дифтерії, правця дітям вводять вакцину АКДП. Як називається вакцина, якщо до неї входять мікроорганізми одного із збудників і анатоксини інших?
Питання 130
З яким із реагентів за наведених умов відбувається відновлення ненасичених органічних сполук?
Питання 131
Ви роздивляєтесь багату на ефірні олії та гіркоти сріблясто опушену рослину родини Asteraceae. Для заготівлі використовують верхівкові пагони з волоттю дрібних кулястих кошиків. Ця рослина:
Питання 132
Вкажіть гіпотензивний засіб із групи блокаторів кальцієвих каналів з переважним впливом на судини:
Питання 133
Яка з зазначених реакцій визначення катіонів амонію є специфічною?
Питання 134
При проходженні польової практики студент отримав завдання зібрати морфологічну колекцію ценокарпних плодів. Які плоди з вказаних відносяться до даної групи?
Питання 135
Вкажіть препарат з місцевоанестезуючою дією для лікування шлуночкових аритмій:
Питання 136
Хворому туберкульозом призначено антибіотик олігоміцин. Який процес гальмує цей препарат у мітохондріях?
Питання 137
Ізоелектричну точку білків можна визначити за залежністю ступеня набрякання високомолекулярних сполук від рН. В області рН = IЕТ ступінь набрякання білка:
Питання 138
У хворого під час огляду карбункула лікар відзначив: у центрі чорний струп, набряк підшкірної клітковини, при дотику - безболісність. При мікроскопії виявлені грампозитивні стрептобацили, що утворюють капсулу. Вкажіть найбільш імовірне захворювання:
Питання 139
Хворий 65-ти років переніс інфаркт міокарда. Через місяць у нього розвинулась серцева недостатність. Що зумовило її виникнення?
Питання 140
Хімік-аналітик проводить якісний систематичний аналіз суміші катіонів першої аналітичної групи. Який катіон визначають на початку дослідження специфічною реакцією?
Питання 141
Яким реактивом можна одночасно визначити наявність альдегідної групи та глікольного фрагменту в молекулі глюкози?
Питання 142
Зображення до питання
Серед наведених проміжних активних часточок оберіть радикал:
Питання 143
Хворому 49-ти років з гострою серцевою недостатністю і непереносимістю серцевих глікозидів було введено добутамін. Який механізм дії цього препарату?
Питання 144
Пацієнтці з ревматоїдним артритом та супутньою виразковою хворобою дванадцятипалої кишки необхідно призначити нестероїдний протизапальний препарат. Який препарат є препаратом вибору в даному випадку?
Питання 145
Хворий впродовж 10-ти років страждає на цукровий діабет. У важкому стані доставлений до лікарні. На другий день перебування у стаціонарі його стан різко погіршився: розвинулася кома, з’явилося шумне глибоке дихання, при якому глибокі вдихи змінювалися посиленими видихами за участю експіраторних м’язів. Яка форма порушення дихання спостерігається у хворого?
Питання 146
При виготовленні титранту меркуриметрії - розчину солі ртуті (II) - для пригнічення його гідролізу додають таку кислоту:
Питання 147
При однаковій температурі дано 5 водних розчинів з молярною концентрацією 0,05 моль/кг. Які з цих розчинів є ізотонічними по відношенню один до одного?
Питання 148
Необхідно провести кількісне визначення натрію гідрокарбонату в препараті. Яким із методів титриметричного аналізу його можна визначити?
Питання 149
Для точного обчислення константи швидкості за величиною енергії активації, застосовується стеричний фактор, який враховує:
Питання 150
У пацієнтки 42-х років діагностовано трихомонадну інфекцію сечовивідних шляхів. Який препарат можна рекомендувати для лікування?
Питання 151
У хворого зупинка серця. Для відновлення серцевої діяльності інтракардіально введено адреноміметик. Який це препарат?
Питання 152
При обстеженні хворого встановлено діагноз: алкаптонурія. Дефіцитом якого ферменту зумовлена ця патологія?
Питання 153
У хворого виразкова хвороба шлунка. Який препарат з групи Мхоліноблокаторів доцільно призначити?
Питання 154
Класифікація аніонів базується на різній розчинності їх солей з іонами Ba2+ та Ag+. Аніони першої аналітичної групи утворюють малорозчинні у воді солі з іонами:
Питання 155
Існує кілька основних механізмів передачі інфекційних хвороб: аерогенний, фекально-оральний, трансмісивний, контактний, вертикальний. Які фактори забезпечують передачу збудника від джерела захворювання до здорового організму при фекально-оральному механізмі зараження?
Питання 156
Зображення до питання
Яка із наведених речовин реагує з Cu(OH)2?
Питання 157
Для стандартизації розчину натрію тіосульфату використовують розчин калію дихромату. При цьому проводять:
Питання 158
У складі клітин синьозелених водоростей та грибів виявлено розчинний полісахарид. Він забарвлюється розчином Люголя в бурий колір. Це:
Питання 159
Синтетичні високомолекулярні сполуки контактних лінз набрякають у вологому середовищі очей. Набрякший матеріал лінз має певну кількість води. Це приклад такого виду набрякання:
Питання 160
Зображення до питання
Виберіть формулу аніліну:
Питання 161
Перетворення сукцинату в фумарат каталізується сукцинатдегідрогеназою. Який конкурентний інгібітор гальмує активність ферменту?
Питання 162
У потрійній точці на діаграмі стану води:
Питання 163
До складу мікстури входять натрію гідрокарбонат, натрію бромід, амонію хлорид. Яким методом можна кількісно визначити натрію гідрокарбонат у суміші?
Питання 164
Лецитин різного походження як поверхневоактивна сполука використовується для виготовлення харчових продуктів (як емульгатор). До якої групи біомолекул належить лецитин?
Питання 165
В лабораторію для проведення санітарно-вірусологічного дослідження доставлена проба води, що використовується у виробництві лікарських препаратів. Виявлення якої групи вірусів вкаже на фекальне забруднення води і необхідність додаткового очищення?
Питання 166
У пацієнта жирова інфільтрація печінки. Цю патологію уповільнюють ліпотропні речовини. Яку речовину можна віднести до ліпотропних факторів?
Питання 167
Яку з формул матиме міцела золю арґентум (I) йодиду, що одержаний з розчинів AgNO3 та KI за надлишку арґентум (I) нітрату?
Питання 168
Для проникнення в тканини організму і поширення в них патогенні мікроорганізми продукують різноманітні ферменти. Виберіть ці ферменти серед перерахованих:
Питання 169
Хворому 3 роки тому був поставлений діагноз хронічний гломерулонефрит. Протягом останніх 6-ти місяців з’явилися набряки. Що лежить в основі їх розвитку?
Питання 170
Яка якісна реакція підтверджує ненасиченість лінолевої кислоти?
Питання 171
Студенти на польовій практиці виявили рослину з різноманітністю листків, що відрізняються місцем розташування на пагоні, ступенем розвитку складових частин, розмірами, формою, розчленуванням листкової пластинки. Це явище називається:
Питання 172
Зображення до питання
Укажіть тип таутомерії, характерний для 2-нітропропану :
Питання 173
В лабораторії необхідно ідентифікувати катіон амонію. Можна використати розчин:
Питання 174
Тип продихового апарату, у якого побічних клітин дві, їх суміжні стінки перпендикулярні продиховій щілині, має назву:
Питання 175
Під час голодування активується глюконеогенез. Назвіть вітамін, що бере активну участь у процесі карбоксилювання піровиноградної кислоти:
Питання 176
Листки Aesculus hippocastanum складаються з 5-7 сидячих листочків, довгасто-обернено-яйцеподібних, зубчасто-пилчастих, прикріплених до черешка (рахіс листка), а отже називаються:
Питання 177
Однаковий аналітичний ефект спостерігають при взаємодії NO3− та NO2−іонів з:
Питання 178
Укажіть який аналітичний ефект спостерігають при фіксуванні кінцевої точки титрування у методі Фольгарда?
Питання 179
Досліджена мікориза на коренях дуба являє собою симбіоз:
Питання 180
При досліджені лікарського збору на поживному середовищі виросла культура у вигляді чорного пухнастого нальоту. У препаратах-мазках виявлені несептовані нитки міцелію з кулеподібними потовщеннями на кінцях. Назвіть ці мікроорганізми:
Питання 181
Зображення до питання
Визначте продукт нижченаведеної реакції:
Питання 182
Зображення до питання
За замісною номенклатурою IUPAC нікотинова кислота має назву:
Питання 183
Для взяття наважки при приготуванні вторинних стандартних розчинів використовують технохімічні терези. Точність зважування на технохімічних терезах:
Питання 184
Приготували 0,1М розчин арґентуму нітрату. Вкажіть речовину-стандарт для стандартизації цього розчину:
Питання 185
У пацієнта з підозрою на анаеробну інфекцію рани необхідно провести бактеріологічне дослідження. Виберіть середовище, на якому можуть розвиватись анаероби:
Питання 186
У обстежуваної дитини поганий апетит, нудота. Прийом молока викликає блювання, а періодично - пронос. Спостерігається відставання в рості, втрата ваги, затримка в розумовому розвитку. Недостатність якого ферменту викликає вказану патологію?
Питання 187
Який із протигрибкових антибіотиків погано всмоктується у шлунковокишковому тракті та ефективний при кандидомікозі кишечника:
Питання 188
У хворого спостерігається брадикардія, помірно виражені гіпотензія, зниження основного обміну, набряки. Яке із порушень може спричинити такий синдром?
Питання 189
Особливістю вірусів, як інфекційних агентів, є обов’язковий внутрішньоклітинний паразитизм. У зв’язку з цим, який об’єкт НЕ ВИКОРИСТОВУЮТЬ з метою культивації вірусів?
Питання 190
Для експериментального утворення тромбів в судинах поруч з веною брижі жаби кладуть кристалик кухонної солі. Що є основним механізмом, який запускає тромбоутворення у данному випадку?
Питання 191
У виробництві медичних препаратів (живих та вбитих вакцин, сироваток тощо) використовують ліофільне висушування бактерій та вірусів. Як проводять ліофільне висушування?
Питання 192
Фармацевт до золю срібла хлориду додавав електроліт невеликими порціями, при цьому коагуляція настала при більшій концентрації електроліту, ніж при одноразовому його додаванні. Це явище має назву:
Питання 193
Кількісне визначення карбонатів і гідрокарбонатів проводять таким методом:
Питання 194
При дії на досліджувану суміш катіонів розчином KOH випав білий осад, що розчинився у надлишку реактиву. При дії розчину K4[Fe(CN)6] утворився білий осад. Який катіон присутній у розчині?
Питання 195
Первинним акцептором водню при тканинному диханні виступають піридинзалежні дегідрогенази. Який з вітамінів необхідний для утворення відповідного коферменту (НАД+)?
Питання 196
Хворому з артритом лікар призначив парацетамол - інгібітор циклооксигенази. Утворення яких біологічно активних сполук гальмується цим препаратом?
Питання 197
Встановлено, що надземну частину гороху посівного утримують у просторі вусики, які є видозміною:
Питання 198
Хворому 37 років з метою комплексного лікування виразкової хвороби шлунка було призначено препарат, що знижує кислотність шлункового соку, інгібує +, +-АТФ-азу, знижує об’єм шлункової секреції і виділення пепсиногену. Відноситься до проліків. Назвіть препарат:
Питання 199
Для визначення масової частки арґентуму нітрату в лікарському препараті використовують метод прямого титрування за Фольгардом. Титрування проводять у присутності розчину індикатора:
Питання 200
У ялини верхівковою брунькою росте головний пагін, а з бічних бруньок - бокові пагони. Ці ознаки притаманні такому типу галуження: