MDstuds

2017 - Основна сесія

2017 - Основна сесія
Питань: 200
200:00
Питання 1 з 200
Питання 1
У дитини при споживанні молока виникають блювання та пронос, спостерігається відставання у розумовому розвитку, помутніння кришталика, а в крові виявлено глюкозо-1-фосфат, знижена концентрація глюкози та значно збільшений вміст редукуючих цукрів. У сечі знайдена галактоза. Вказані симптоми пов’язані з дефіцитом:
Питання 2
У хворої при обстеженні виявлено збільшення щитоподібної залози, витрішкуватість, підвищення основного обміну і теплопродукції, тахікардія, плаксивість, знервованість. Для якого захворювання характерна така картина?
Питання 3
Хворому, у якого діагностовано тромбоз нижніх кінцівок, лікар призначив синкумар, що є антивітаміном K. Який процес гальмується під дією цього препарату?
Питання 4
Ліпопротеїни крові розділяють методом електрофорезу, а їх шлях в електричному полі залежить від вмісту білка у фракціях. Які ліпопротеїни містять найменше білка та знаходяться на електрофореграмі найближче до старту?
Питання 5
Який з антисептиних препаратів свою бактерицидну дію проявляє за рахунок утворення атомарного кисню?
Питання 6
У якої рослини з родини Айстрові всі квітки зигоморфні, язичкові, двостатеві, жовтого кольору?
Питання 7
У хворого з гломерулонефритом відмічається підвищення артеріального тиску до 200/110 мм рт.ст. Активація якого механізму є провідною ланкою в розвитку артеріальної гіпертензії в даному випадку?
Питання 8
Представник родини вересові - вічнозелена рослина. Це:
Питання 9
Хворий 52-х років скаржиться на відрижку кислим, печію, нудоту, болі в надчеревній ділянці та закрепи. Яке порушення шлункової секреції, імовірно, є у хворого?
Питання 10
При змащуванні скипидаром язик у кроля червоніє, його кровонаповнення збільшується. Артеріальна гіперемія якого типу виникає в цьому випадку?
Питання 11
Які лікарські засоби мають використовуватися для усунення бронхоспазму?
Питання 12
Частина сечовини в кишечнику гідролізується ферментом бактерій до вільного аміаку. Який фермент бактерій гідролізує сечовину?
Питання 13
Крім білкових факторів, у процесі зсідання крові беруть участь катіони. Вкажіть, який із катіонів відіграє провідну роль у цьому процесі:
Питання 14
В медичній практиці для лікування захворювань шкіри використовують мазі та пасти на основі кальцієвих, магнієвих, цинкових препаратів, що являють собою:
Питання 15
Альпініст-початківець швидко піднявся на висоту 5000 м, після чого у нього розвинулися гіпервентиляція легень, яка потім змінилася гіповентиляцією і зупинкою дихання. Який вид гіпоксії розвинувся у альпініста?
Питання 16
У наркоманів після закінчення дії наркотику виникають тяжкі психічні, неврологічні і соматичні порушення. Як називається цей симптомокомплекс?
Питання 17
Хворому тривалий час з лікувальною метою призначали кортизол. Вкажіть, похідним якої сполуки є ця речовина:
Питання 18
Солі якого катіону забарвлюють полум’я у фіолетовий колір?
Питання 19
Назвіть фармакологічні ефекти метопрололу:
Питання 20
Синтез білка здійснюється на рибосомах. Вкажіть, яка амінокислота є першою в синтезі білка у прокаріотів:
Питання 21
З якою групою діуретиків НЕ МОЖНА одночасно призначати гіпотензивні засоби, що відносяться до групи інгібіторів ангіотензинперетворюючого ферменту?
Питання 22
При виявленні аніонів у розчині дробним методом провели реакцію з антипірином - з’явилося смарагдово-зелене забарвлення розчину. Який аніон обумовив цей аналітичний ефект?
Питання 23
На різних частинах квітки виявлено екзогенні багатоклітинні секреторні структури, які виробляють цукристі речовини. Це:
Питання 24
До лікарні швидкої допомоги доставлений хворий з серцевою недостатністю за лівошлуночковим типом і ознаками набряку легень, що розвивається. Який первинний патогенетичний механізм набряку, що розвинувся?
Питання 25
Потенціометричний метод визначення рН як найбільш універсальний занесений до Державної Фармакопеї України. За допомогою якої з пар електродів можна визначити рН?
Питання 26
Під час мікробіологічного контролю лікарської сировини виявлені капсульні бактерії. Який метод фарбування використали для виявлення капсули?
Питання 27
Кумуляції ліків сприяють захворювання:
Питання 28
Для розрахунків теплових ефектів реакцій синтезу лікарських препаратів при підвищених температурах слід використовувати:
Питання 29
Назвіть сполуку, яка утворюється при взаємодії аніліну з концентрованою сульфатною кислотою в середовищі високо киплячого розчинника і є структурним фрагментом великої групи лікарських препаратів:
Питання 30
Зображення до питання
Яка з реакцій свідчить про кислотні властивості піролу?
Питання 31
Перетравлювання ліпідів потребує наявності ліпаз, емульгаторів та слабколужного рН. У якому відділі ШКТ формуються дані умови?
Питання 32
Для швидкої діагностики багатьох бактеріальних, вірусних, протозойних і грибкових захворювань, виявлення збудників хвороб у довкіллі, харчових продуктах і воді з успіхом використовується реакція, принцип якої полягає в багатократному копіюванні специфічної ділянки ДНК або окремого гена за допомогою ферменту ДНК-полімерази. Назвіть цю реакцію:
Питання 33
Лікар-бактеріолог приготував з досліджуваного матеріалу мазки, зафарбував за Нейсером, посіяв його на кров’яний телуритовий агар, виділив чисту культуру мікробів і перевірив її на токсигенність. На мікробіологічну діагностику якого захворювання направлені ці дослідження?
Питання 34
Явища осідання дисперсних структур клітин призводять до порушення функціонування організму. Вкажіть величину, яка є мірою кінетичної стійкості золів:
Питання 35
Кількісне визначення карбонатів і гідрокарбонатів проводять таким методом:
Питання 36
Хворій для лікування алергічного дерматиту після укусів бджіл призначено лоратадин. Який механізм протиалергічної дії препарату?
Питання 37
Зображення до питання
При повному відновленні піролу одержують:
Питання 38
Хворому на атеросклероз було призначено антиатеросклеротичний засіб. Який це препарат?
Питання 39
Як називають явище, коли один препарат підсилює дію іншого?
Питання 40
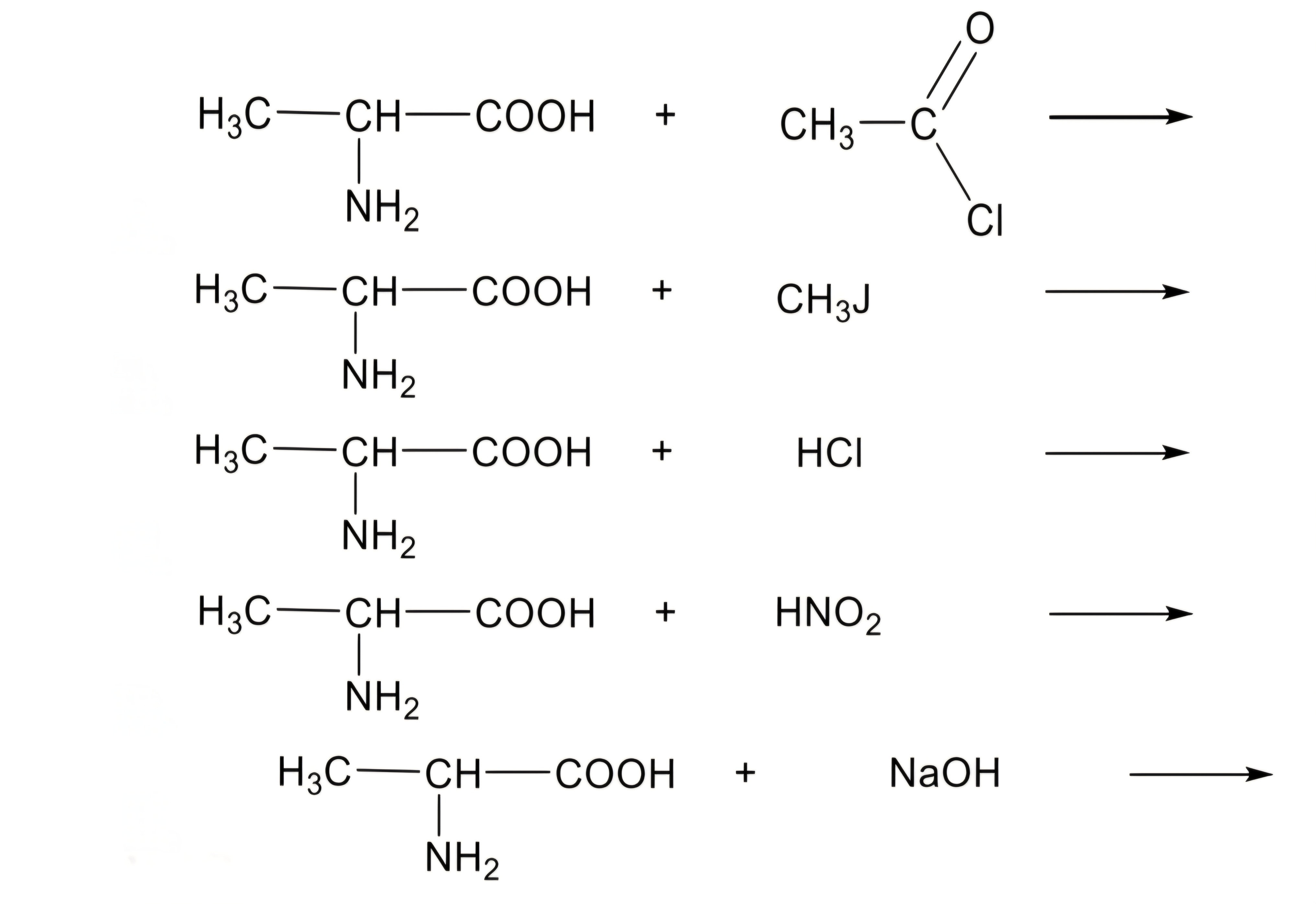
В клініку потрапив чоловік з гострим нападом подагри. Вміст сечової кислоти в сироватці крові хворого значно підвищений, в сечі підвищена добова кількість цієї сполуки. Зміна активності якого ферменту призводить до даної патології?
Питання 41
У хворого після отруєння грибами з’явилось жовте забарвлення шкіри та склер, темний колір сечі. Діагностовано гемолітичну жовтяницю. Який пігмент спричинює забарвлення сечі у хворого?
Питання 42
Від хворого з підозрою на холеру як матеріал для дослідження, були взяті випорожнення. На яке рідке середовище рекомендується сіяти матеріал для виділення холерного вібріона?
Питання 43
Одним із найсучасніших методів очищення крові від токсичних речовин є гемосорбція. Яке фізичне явище лежить в основі цього методу?
Питання 44
На зрізі кореня Helianthus annuus виявлена вторинна пучкова будова. Це означає, що зріз зроблено в зоні:
Питання 45
Для лікування кропив’янки з метою усунення висипки на шкірі, що свербить, хворому призначено димедрол. Який механізм забезпечує його дію?
Питання 46
Хворому з гострою серцевою недостатністю був призначений засіб з групи адреноміметиків. Який препарат призначив лікар?
Питання 47
У хворого після вживання м’ясних консервів домашнього виготовлення з’явилися симптоми: порушення зору, утруднення акту ковтання. Збудник якого захворювання міг послужити причиною цих симптомів?
Питання 48
Які з перерахованих плодів НЕ НАЛЕЖАТЬ до ценокарпних?
Питання 49
У хворого гостре отруєння морфіном. Який препарат слід ввести в якості антидоту?
Питання 50
При проведенні проби на аніони нестійких кислот з характерним шипінням виділився безбарвний газ. Який аніон знаходився у розчині?
Питання 51
До органічних сполук рослинної клітини невуглеводної природи відносять:
Питання 52
Щоб перетворити бензойну кислоту в її водорозчинну сіль, необхідно провести реакцію бензойної кислоти з:
Питання 53
Зображення до питання
Ізопентан і неопентан є:
Питання 54
У хворого на бронхіальну астму розвинувся напад: дихання утруднене, частота дихання - 24-26/хв., вдихи змінюються подовженими видихами за участю експіраторних м’язів. Яка форма порушення дихання у хворого?
Питання 55
У хворого діагностовано посилене гниття білків у кишечнику. За кількістю якої речовини в сечі оцінюють інтенсивність цього процесу і швидкість реакції знешкодження токсичних продуктів у печінці?
Питання 56
Багато слизових оболонок у людини продукують фермент, що викликає лізис бактерій. Його виявляють в очах, слині і слизу кишечнику. Як він називається?
Питання 57
У дитини 5-ти років при вживанні молока часто відзначається здуття живота, спастичний біль та пронос. Ці симптоми виникають через 1-4 години після вживання всього однієї дози молока. Вказана симптоматика зумовлена дефіцитом ферментів, що розщеплюють:
Питання 58
Студент отримав завдання встановити, які додаткові функції кореня пов’язані з накопиченням поживних речовин. Визначте, які саме:
Питання 59
У хворого під час огляду карбункула лікар відзначив: у центрі чорний струп, набряк підшкірної клітковини, при дотику - безболісність. При мікроскопії виявлені грампозитивні стрептобацили, що утворюють капсулу. Вкажіть найбільш імовірне захворювання:
Питання 60
Для яких з перелічених розчинів електролітів осмотичний тиск буде найбільший, за умови що концентрація усіх розчинів однакова і дорівнює 1 моль/л?
Питання 61
Хворому на стенокардію призначили метопролол. Який фармакологічний ефект дозволяє застосувати цей препарат для лікування стенокардії?
Питання 62
Світловий пучок, який пройшов через колоїдний розчин, має вигляд конуса, який світиться. Це явище називають ефектом:
Питання 63
В лабораторній діагностиці холери основним методом є бактеріологічний. При ідентифікації збудника враховують його морфологічні особливості. Збудник має форму зігнутої палички та один полярно розташований джгутик. До якої групи бактерій відноситься збудник холери за кількістю і локалізацією джгутиків?
Питання 64
Пацієнту з ішемічною хворобою серця для швидкого зняття приступу стенокардії лікар призначив лікарський препарат, який необхідно вживати під язик. Вкажіть цей препарат:
Питання 65
В фармакопейному аналізі для ідентифікації іонів натрію використовують реакцію з:
Питання 66
Із сечі хворого на пієлонефрит виділені мікроорганізми, що утворюють на МПА колонії жовто-зеленого кольору і мають характерний запах. Який це мікроорганізм?
Питання 67
Для визначення вмісту магнію застосували гравіметричний метод осадження. Виберіть осаджувальну і гравіметричну форми:
Питання 68
Ізотонічність - це обов’язкова вимога, яку ставлять до інфузійних розчинів. Вкажіть значення, НЕМОЖЛИВЕ для ізотонічного коефіцієнта:
Питання 69
У пацієнта з пієлонефритом із сечі виділено синьогнійну паличку, яка виявилась чутливою до гентаміцину при концентрації його в сечі 2 мкг/мл. Який метод дослідження дозволив встановити мінімальну пригнічуючу ріст мікроба концентрацію (МПК) антибіотика?
Питання 70
Зображення до питання
Яка з наведених сполук є гетерофункціональною?
Питання 71
Досліджуваний розчин містить катіони амонію і натрію. Вкажіть реагент, який дозволяє виявити в цьому розчині катіони натрію:
Питання 72
При вивченні рослинної клітини за допомогою електронного мікроскопа виявлено, що цитоплазму від клітинної оболонки відділяє така структура:
Питання 73
В експерименті тварині був введений флоридзин, після чого у сечі виявлена глюкоза. При цьому вміст глюкози у крові в межах норми. Який найбільш імовірний механізм розвитку глюкозурії у даному випадку?
Питання 74
Для ідентифікації лікарського препарату застосували рефрактометричний метод аналізу, в основі якого лежить залежність між:
Питання 75
Яка з наведених величин є функцією стану, тобто її зміна НЕ ЗАЛЕЖИТЬ від шляху процесу?
Питання 76
У хворих на алкоголізм часто спостерігаються розлади функції центральної нервової системи - втрата пам’яті, психози. Викликає вказані симптоми в організмі недостатність вітаміну B1. Порушення утворення якого коферменту може спричинити ці симптоми?
Питання 77
Зображення до питання
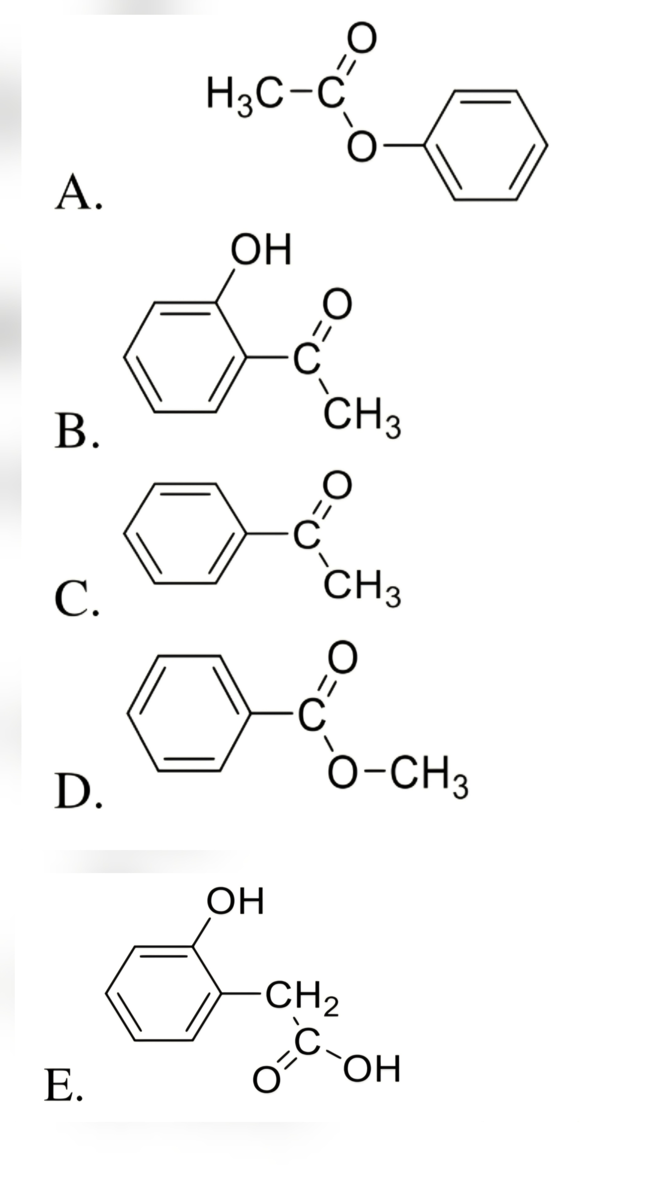
Оберіть реакцію, яка вказує на кислотні властивості фенолу:
Питання 78
Лікарська сировина, що використовується для отримання лікарських форм, може бути різного походження - природного та синтетичного. Найчастіше забруднюється сировина природного походження, зокрема рослинна. Яка сировина рослинного походження є більш стійкою при зберіганні?
Питання 79
Вторинна анатомічна будова кореня у двосім’ядольних рослин знаходиться в зоні:
Питання 80
Зображення до питання
При освітленні циклогексан здатен реагувати з:
Питання 81
В розчині, що аналізується, міститься кальцію хлорид і натрію бромід. Для ідентифікації іону кальцію до розчину, що аналізується, додали розчин:
Питання 82
Більшість антидепресантів є неселективними інгібіторами моноамінооксидаз (МАО) - флавінвмісних ферментів, які каталізують окисне дезамінування моноамінів в мітохондріях нейронів головного мозку. Коферментом МАО є:
Питання 83
У хворої після механічного пошкодження пальця руки спостерігається почервоніння, набряк, біль, підвищення температури. Похідні якої кислоти є провідними медіаторами у патогенезі даного запалення?
Питання 84
Завод біопрепаратів виробляє вітаміни групи B, продуцентом яких є дріжджові грибки. Повітря виробничих приміщень необхідно дослідити на вміст продуценту. Яке поживне середовище одразу слід використати для цього?
Питання 85
Титрантами методу нейтралізації є стандартні розчини кислот і лугів, які є вторинними стандартними розчинами. Виберіть речовину, за якою стандартизують розчин хлоридної кислоти:
Питання 86
Харчові волокна, які є компонентами рослинної їжі, відіграють важливу роль у профілактиці захворювань органів шлунково-кишкового тракту. Який основний полісахарид входить до складу клітинних стінок рослин?
Питання 87
Сеча пацієнтки при стоянні набула червоного забарвлення. Біохімічне дослідження сечі встановило підвищену екскрецію протопорфіринів, що вказує на порушення синтезу:
Питання 88
Приготували 0,05 М розчин натрію тіосульфату. Вкажіть речовину-стандарт для стандартизації цього розчину:
Питання 89
У яких одиницях вимірюють адсорбцію на твердій поверхні?
Питання 90
Який засіб необхідно призначити хворому із післяопераційною атонією кишечнику?
Питання 91
При арґентометричному визначенні лікарського препарату, що містить KBr, за методом Мора у якості індикатора використовують:
Питання 92
Драглі - це системи, які утворюються внаслідок:
Питання 93
При отриманні імунних сироваток тварин імунізують декілька разів, так як при вторинній імунній відповіді значно зростає швидкість утворення і кількість антитіл. Чим це можна пояснити?
Питання 94
У хворого 55-ти років на 4-й день лікування індометацином виникла шлункова кровотеча внаслідок утворення виразки слизової оболонки шлунка. Ульцерогенна дія препарату пов’язана із зменшенням активності такого ферменту:
Питання 95
Для сульфування ацидофобних сполук, зокрема фурану, використовують:
Питання 96
Укажіть тип хімічної реакції при титруванні тіосульфату натрію розчином йоду:
Питання 97
Хворому для купірування судомного синдрому був призначений препарат з групи бензодіазепіну. Назвіть цей препарат:
Питання 98
У хворого на гіпертонічну хворобу підвищений рівень реніну в плазмі крові. Якій з перерахованих фармакологічних груп треба віддати перевагу для лікування даного хворого?
Питання 99
Яким реагентом в систематичному ході аналізу можна розділити хлориди арґентуму та меркурію (I) і водночас виявити катіони меркурію (I)?
Питання 100
Збудники кишкових ієрсиніозів здатні розмножуватись при температурі холодильника, що може спровокувати інфікування людини. До якого типу за температурним оптимумом належать ці мікроорганізми?
Питання 101
Зображення до питання
У результаті якої з наведених реакцій утворюється ацетон?
Питання 102
Взаємодія між дисперсною фазою та дисперсійним середовищем для різних систем проявляється не в однаковій мірі. Якщо дисперсна фаза слабо взаємодіє з середовищем, то систему називають:
Питання 103
При дослідженні п’яти гербарних зразків лікарських рослин було визначено, що одне з них відноситься до сімейства Brassicaceae, а саме:
Питання 104
Серед перерахованих реагентів оберіть нуклеофільний:
Питання 105
Хворому при гострому отруєнні для форсованого діурезу призначили петлевий діуретик. Який це препарат?
Питання 106
Доярку госпіталізували на 5 день хвороби з підозрою на бруцельоз. Що слід призначити з метою підтвердження діагнозу?
Питання 107
У діагностичній лабораторії необхідно підтвердити діагноз правець. До якої групи за типом дихання відноситься цей збудник?
Питання 108
Кінетику термічного розкладу лікарської речовини досліджують у бомбовому калориметрі. До якого типу відноситься цей процес?
Питання 109
Хворому на гіпертонічну хворобу у комплексній терапії було призначено діуретичний засіб, що викликав гіпокаліємію. Визначте цей препарат:
Питання 110
Перед початком приготування ліків, які застосовуються для внутрішнього введення, в асептичному боксі було проведено попереднє знезараження повітря та робочих поверхонь обладнання. Який метод стерилізації доцільніше при цьому використовувати?
Питання 111
Залежно від клітинної локалізації рецептора гормони, поділяють на дві групи. Який гормон потрапляє безпосередньо до ядра, спричиняючи фізіологічні ефекти?
Питання 112
Одним з факторів, що впливають на збільшення виходу лікарської речовини у процесі його синтезу, є зниження енергії активації реакції. Цьому сприяє:
Питання 113
Більшість нітритометричних визначень ґрунтується на реакціях діазотування:
Питання 114
Для визначення масової частки натрію хлориду в фізіологічному розчині хіміканалітик застосував метод Мора, титрантом якого є:
Питання 115
Зображення до питання
Який з наведених моносахаридів НЕ є ізомером глюкози?
Питання 116
Якісна дієта для пацієнтів має включати, перш за все, речовини, які не синтезуються в організмі людини. Серед них:
Питання 117
Злоякісні пухлини мають цілий ряд морфологічних функціональних відмінностей від доброякісних. Що з нижчеперерахованого характерно тільки для злоякісних пухлин?
Питання 118
Ліполітичні ферменти ШКТ каталізують гідроліз ліпідів. Вкажіть хімічний зв’язок, який вони розщеплюють:
Питання 119
При мікробіологічному контролі лікарської рослинної сировини було зроблено посів на різні диференціальнодіагностичні середовища. Які мікроорганізми, що викликають хвороби рослин, НЕ МОЖУТЬ бути визначені таким дослідженням?
Питання 120
Мікробіологічне дослідження ягід лікарських рослин виявило їх контамінацію дріжджовими грибками. Яка з перерахованих ознак характерна для даних мікроорганізмів?
Питання 121
Хворому на туберкульоз призначено олігоміцин - інгібітор АТФ-синтетази. Назвіть процес, який цей препарат ГАЛЬМУЄ при розмноженні туберкульозної палички:
Питання 122
У перманганатометрії як титрант використовують KMnO4. Який фактор еквівалентності цієї сполуки, якщо титрування проводять в кислому середовищі?
Питання 123
Існують певні вимоги щодо бактеріального стану води, на якій готують певні лікарські форми. Який показник використовують для оцінки загального забруднення води?
Питання 124
Укажіть серед наведених структур ізопропільний радикал:
Питання 125
У хворого відсутні активні рухи в нижніх кінцівках. Тонус м’язів високий. Колінні і ахіллові рефлекси підвищені. Наявні патологічні рефлекси Бабінського. Втрачені всі види чутливості донизу від пахвинних складок. Відзначається затримка сечі і випорожнення. Яке порушення рухових функцій є у хворого?
Питання 126
Яка із наведених сполук відноситься до нітропохідних вуглеводнів?
Питання 127
Аналіз сухої речовини завжди починають з попередніх випробувань. Досліджуваний зразок білого кольору, що дозволяє зробити висновок про відсутність у зразку сполуки:
Питання 128
У хворого 46-ти років на 2-гу добу після гострого запалення колінного суглоба було відзначено збільшення суглоба у розмірах, набряклість шкіри. На якій стадії розвитку запалення спостерігаються дані ознаки?
Питання 129
Для лікування епілепсії призначено глутамінову кислоту. Яка сполука, що утворюється з глутамату, здатна коригувати прояви епілепсії?
Питання 130
Зображення до питання
За яким механізмом відбувається реакція амінування піридину (реакція Чичибабіна)?
Питання 131
Які катіони при взаємодії з сульфідом натрію утворюють осад чорного кольору?
Питання 132
Зображення до питання
Реакція дегідратації відображена схемою:
Питання 133
Серед запропонованих рослин необхідно вибрати ту, що має дрібні двостатеві асиметричні квітки, зібрані в дихазії, що утворюють щитковидну волоть. Це:
Питання 134
При визначенні масової частки сульфат-йонів в магнію сульфаті за допомогою гравіметричного методу осадження проводять за допомогою:
Питання 135
У хворого 54-х років, який скаржиться на біль, блідість та відчуття похолодання нижніх кінцівок, лікар діагностував облітеруючий ендартеріїт. Яке порушення периферичного кровообігу є головною причиною зазначених симптомів?
Питання 136
У хворого після ін’єкції пеніциліну розвинулася алергічна реакція. Що характерно для біохімічної (патогенетичної) стадії алергічної реакції?
Питання 137
До лікаря звернувся чоловік 60- ти років зі скаргами на гострий біль в великих пальцях ніг. Він часто вживає пиво. Виникла підозра на подагру. Вміст якої із перелічених речовин необхідно визначити у крові для підтвердження діагнозу?
Питання 138
У кардіологічному відділенні знаходиться хворий 64-х років з діагнозом: атеросклероз, IХС, стенокардія спокою. При лабораторному дослідженні у плазмі крові виявлений високий рівень ліпопротеїдів. Збільшення яких ліпопротеїдів у плазмі крові відіграє провідну роль у патогенезі атеросклерозу?
Питання 139
При мікроскопічному дослідженні виявлена тканина, що складається з прозорих клітин з потовщеними зовнішніми кутинізованими клітинними стінками, продихами, трихомами. Ця тканина:
Питання 140
В аптеку звернулася жінка зі скаргами на зміну забарвлення сечі на червону. Який протитуберкульозний препарат спричинив таку дію?
Питання 141
Зображення до питання
Який з наведених амінів НЕ утворює солі діазонію в умовах реакції діазотування
Питання 142
Плід горобини звичайної відносять до ценокарпних соковитих і називають:
Питання 143
При яких умовах обмежене набухання желатину переходить у необмежене (утворення розчину)?
Питання 144
Зображення до питання
Серед наведених сполук вкажіть один з найпоширеніших полімерів - поліпропілен:
Питання 145
Досліджувана рослина має кореневище, великі перисторозсічені листки, на нижній стороні яких розташовані спорангії, що зібрані у соруси. Це дає підставу віднести рослину до відділу:
Питання 146
До протизапальних засобів належить аспірин. Вкажіть механізм дії цього препарату:
Питання 147
Зображення до питання
З наведених сполук оберіть ту, яка відноситься до гетерофункціональних карбонових кислот:
Питання 148
Зображення до питання
Із запропонованих реакцій оберіть ту, яка буде перебігати по карбоксильній групі:
Питання 149
Відомо, що визначення ізоферментів ЛДГ використовують в диференціальній діагностиці патологічних станів. За якою властивістю розділяють ізоформи лактатдегідрогенази?
Питання 150
При визначенні хлоридів у питній воді застосовують метод меркуриметрії. Як титрант використали розчин:
Питання 151
При мікроскопічному дослідженні листа на поверхні епідерми виявлений товстий шар жироподібної речовини:
Питання 152
Відомо, що тривале застосування багатьох лікарських засобів призводить до зменшення їхньої фармакологічної дії. Який механізм цього ефекту?
Питання 153
Пацієнт отримує леводопу у зв’язку з хворобою Паркінсона. Механізм дії цього засобу пов’язаний з тим, що він є:
Питання 154
Молярна концентрація розчинів складає 0,1 М. Який з розчинів характеризується найбільшим осмотичним тиском?
Питання 155
Які аніони можна визначити за методом Мора?
Питання 156
Для зняття марення і галюцинацій у хворої на шизофренію лікар використав аміназин. Який механізм антипсихотичної дії препарату?
Питання 157
Вкажіть, використовуючи принцип Ле-Шательє, проходженню якого з перерахованих нижче процесів сприятиме підвищення тиску?
Питання 158
Вкажіть, для яких йонів спостерігається адитивність дії при коагуляції сумішами електролітів:
Питання 159
При вивченні текучості порошків були отримані різні кути природного скосу. Визначте за значенням кутів скосу порошок, що має максимальну текучість:
Питання 160
Зображення до питання
Вкажіть структурну формулу фенілацетату:
Питання 161
У медицині використовують ультрафіолетове опромінення у вигляді різних фізіопроцедур. Який з перерахованих механізмів лежить в основі лікувальної дії ультрафіолетових променів на організм?
Питання 162
У дитини, що хворіє на бронхіальну астму, виник астматичний приступ, який призвів до розвитку гострої дихальної недостатності. Це ускладнення зумовлене порушенням:
Питання 163
Для більшості золів значення критичної величини дзета-потенціалу становить:
Питання 164
Зображення до питання
Яка кислота утворюється при окисленні орто-диметилбензолу (ксилолу) киснем повітря на каталізаторі:
Питання 165
Зображення до питання
Вкажіть речовину, що утворюється при здійсненні даної реакції:
Питання 166
При відсутності в аптеці фенотеролу в інгаляціях яким препаратом із групи бронхоселективних бета-2адреномiметикiв можна його замінити?
Питання 167
Фармацевтичне підприємство випускає хіміотерапевтичний препарат, дія якого заснована на блокуванні синтезу вірусної ДНК у людських клітинах. Проти якої з вірусних інфекцій буде ефективний даний препарат?
Питання 168
Зростання виділення інсуліну підшлунковою залозою відбувається після вживання вуглеводної їжі. Активність якого ферменту регулює інсулін?
Питання 169
Гіперліпемія спостерігається через 23 години після вживання жирної їжі. Через 9 годин вміст ліпідів повертається до норми. Як охарактеризувати даний стан?
Питання 170
Під час яких фазових перетворень має місце збільшення ентропії?
Питання 171
Для стандартизації титрованого розчину трилону Б використовують стандартний розчин:
Питання 172
Хворому з глаукомою лікар призначив прозерин у вигляді очних крапель. До якої фармакологічної групи відноситься цей препарат?
Питання 173
Аналіз шлункового соку має істотне діагностичне значення при захворюваннях шлунка. Яку сполуку використовують як стимулятор секреції шлункового соку при клінічних дослідженнях?
Питання 174
Одним із методів редоксиметрії є йодометрія. В якості титранту методу йодометрії використовують розчин:
Питання 175
Зображення до питання
Зазначте правильне твердження щодо сполуки, яка має наступну будову:
Питання 176
До приймального відділення був доставлений хворий зі скаргами на утруднене дихання, слинотечу, спастичні болі у животі, діарею, запаморочення, зниження гостроти зору. Був встановлений діагноз: отруєння фосфорорганічними сполуками. Які препарати доцільно включити до патогенетичної терапії?
Питання 177
Зображення до питання
Яка сполука утворюється в результаті реакції бромування нафталіну?
Питання 178
Пацієнтка знаходиться на стаціонарному лікуванні з приводу частих маткових кровотеч. Діагностовано хронічну постгеморагічну анемію. Які клітини є типовими у мазку крові при даному захворюванні?
Питання 179
Яким має бути значення молярних концентрацій реактантів, щоб константа швидкості чисельно дорівнювала швидкості реакції?
Питання 180
В деревині сосни ефірні олії накопичуються в ходах, які зсередини вислані шаром секреторних клітин. Такі структури:
Питання 181
У листку кропиви дводомної визначені жалкі багатоклітинні волоски. Це є:
Питання 182
При мікроскопічному дослідженні кореневища виявили тканину, яка НЕ ЗУСТРІЧАЄТЬСЯ у корені, а саме:
Питання 183
Після частих процедур в солярії у жінки відбулися зміни зовнішнього вигляду родимки, розташованої у ділянці правого плеча: вона стала неоднорідною за забарвленням, контур з нерівними краями, відзначається прогресивне збільшення її розмірів. Про який етап канцерогенезу йдеться?
Питання 184
Який з катіонів IV аналітичної групи можна відкрити крапельним методом з алізарином з використанням аналітичного маскування?
Питання 185
Підприємство мікробіологічної промисловості випускає препарат, який являє собою живі ліофільно висушені клітини E. coli. Яке найбільш імовірне використання даного препарату?
Питання 186
Хворому з виразковою хворобою призначено ранітидин. Кислотність шлункового соку значно знизилась. Який механізм лежить в основі дії даного препарату?
Питання 187
В науковій лабораторії в експерименті на тваринах вивчається нешкідливість нового антибіотика. При цьому визначається співвідношення мінімальної діючої і максимальної переносимої доз препарату. Як називається величина, що визначається?
Питання 188
При виробництві лікарських препаратів необхідно дотримувати комплексу заходів, спрямованих на попередження їхньої мікробної контамінації. Як називається цей комплекс заходів?
Питання 189
Якому лікарському виду родини Верескові належать листя з наступними морфологічними ознаками: короткочерешкові, довгасто-лінійні, з завернутими донизу краями, зверху - шкірясті, блискучі, буровато-зелені, знизу - рудоповстяні?
Питання 190
Зображення до питання
З оцтової кислоти необхідно отримати оцтовий ангідрид за схемою. Виберіть водовіднімаючий реагент для проведення цього перетворення:
Питання 191
Хлопчик 15-ти років страждає на інсулінозалежний цукровий діабет, який виник внаслідок панкреатичної недостатності інсуліну. Чим зумовлено виникнення даної патології?
Питання 192
Який катіон III аналітичної групи (кислотно-основна класифікація) знаходиться у розчині, якщо при нагрівання з гіпсовою водою через деякий час розчин мутніє?
Питання 193
Як називається явище, коли один препарат послаблює дію іншого?
Питання 194
Пагони хмелю обвиваються навколо опори і піднімаються вгору, тобто вони:
Питання 195
При дії на досліджувану суміш катіонів розчином KOH випав білий осад, що розчинився у надлишку реактиву. При дії розчину K4[Fe(CN)6] утворився білий осад. Який катіон присутній у розчині?
Питання 196
Плоди селерових містять ефірноолійні канальці і можуть розпадатися на два напівплодики. Цей плід:
Питання 197
В хіміко-аналітичній лабораторії спеціаліст досліджував розчини, що містять суміші катіонів. В якому з розчинів містяться лише катіони II аналітичної групи?
Питання 198
Для ароматичних вуглеводнів найбільш характерними є реакції:
Питання 199
Серед вказаних видів плід стручок має:
Питання 200
Зображення до питання
Який амін при взаємодії з нітритною кислотою утворює етиловий спирт?