MDstuds

2019 - Основна сесія

2019 - Основна сесія
Питань: 150
150:00
Питання 1 з 150
Питання 1
Хворому з виразковою хворобою призначено ранітидин. Кислотність шлункового соку значно знизилась. Який механізм лежить в основі дії даного препарату?
Питання 2
Хворому з глаукомою лікар призначив прозерин у вигляді очних крапель. До якої фармакологічної групи відноситься цей препарат?
Питання 3
Зображення до питання
Серед наведених нижче сполук вкажіть сполуку, що містить пірольний та піридиновий атоми азоту:
Питання 4
Хворому з гострим медикаментозним отруєнням слід провести форсований діурез. Який препарат необхідно застосувати?
Питання 5
Зображення до питання
Серед наведених сполук вкажіть один з найпоширеніших полімерів - поліпропілен:
Питання 6
Одним із показників обміну речовин в організмі є рівень загального білку у сироватці крові. Яка реакція зазвичай використовується у клінічних лабораторіях для визначення його вмісту?
Питання 7
Для визначення масово-об’ємної частки аміаку в розчині використовують розчин:
Питання 8
Хворому на трахеїт призначили протикашльовий засіб центральної дії, який не пригнічує дихання, не викликає медикаментозну залежність, знижує артеріальний тиск. Який це препарат?
Питання 9
У хворого сильний кашель з в’язким харкотинням. Який препарат сприяє розрідженню і виведення харкотиння?
Питання 10
Зображення до питання
Кінцевим продуктом при нагріванні брометану з водним розчином калій гідроксиду є:
Питання 11
У хворого виражені блідість, ”гусяча шкіра”, озноб. Для якої стадії гарячки характерні такі прояви?
Питання 12
Хворий на гострий інфаркт міокарда у складі комплексної терапії отримував гепарин. Через деякий час з’явилася гематурія. Який препарат показаний у якості антидоту?
Питання 13
Солі та естери щавлевої кислоти називають:
Питання 14
Зображення до питання
Вкажіть реакцію Вюрца:
Питання 15
Для розрахунків теплових ефектів реакцій синтезу лікарських препаратів при підвищених температурах слід використовувати:
Питання 16
В інфекційне відділення надійшов хворий 23-х років зі скаргами на здуття живота та проноси. Діагностовано лямбліоз. Який вид лейкоцитозу характерний для даного захворювання?
Питання 17
Вкажіть препарат, який застосовується для лікування отруєння фосфорорганічними сполуками:
Питання 18
У хворого після перенесеної операції спостерігався сильний больовий синдром. Яку найбільш імовірну зміну гормонального статусу можна очікувати у даному випадку?
Питання 19
У хворої дитини виявлені аскариди. Які зміни в лейкоцитарній формулі крові будуть найбільш характерні для глистяної інвазії?
Питання 20
Ліполітичні ферменти ШКТ каталізують гідроліз ліпідів. Вкажіть хімічний зв’язок, який вони розщеплюють:
Питання 21
Які два методи одержання дисперсних систем відносяться до фізичної конденсації?
Питання 22
Зображення до питання
Яка із наведених формул відповідає саліциловій кислоті?
Питання 23
У однодольних рослин кінцеві продукти метаболізму часто представлені багатьма голчастими кристалами оксалату кальцію, зібраними у пачки, це:
Питання 24
При вивченні рослинної клітини за допомогою електронного мікроскопа виявлено, що цитоплазму від клітинної оболонки відділяє така структура:
Питання 25
З досліджених гербарних зразків лікарських рослин до родини Rosaceae відносяться:
Питання 26
Для створення штучного активного імунітету тримісячній дитині перорально ввели живу культуральну вакцину з штамів Себіна. Для профілактики якого захворювання використовували цю вакцину?
Питання 27
Відомо, що при ВІЛ-інфекції відбуваються важкі імунологічні порушення в організмі, що призводять до СНІДу (синдрому набутого імунодефіциту). Вкажіть клітини організму людини, найбільш чутливі до інфікування ВІЛ:
Питання 28
Фотоелектроколориметричний метод аналізу дозволяє визначити концентрацію:
Питання 29
I.Мечников, вивчаючи запальний процес, описав певну закономірність еміграції лейкоцитів в осередок запалення. Клітини емігрують у такій послідовності:
Питання 30
Для купірування гострого психозу хворому був призначений психотропний препарат швидкої і короткої дії. Який це препарат?
Питання 31
До досліджуваного розчину додали розчин амонію тіоціанату. Розчин забарвився в червоний колір. На присутність якого катіону вказує цей аналітичний ефект?
Питання 32
У дитини через 1 годину після вживання полівітамінів у вигляді сиропу з’явилась висипка по всьому тілу за типом кропив’янки з вираженим відчуттям свербіння. До якого типу алергічної реакції відносяться дані прояви?
Питання 33
Серед дерев родини Бобові визначений ранньоквітучий медонос з перистоскладними листками, прилистниками у вигляді колючок і пониклими китицями білих ароматних квіток. Це:
Питання 34
Злоякісні пухлини мають цілий ряд морфологічних функціональних відмінностей від доброякісних. Що з нижчеперерахованого характерно тільки для злоякісних пухлин?
Питання 35
Вкажіть електрод порівняння, який можна застосувати у потенціометричному дослідженні лікарської субстанції:
Питання 36
Як називається процес вилучення одного або декількох речовин з складних систем селективним розчинником?
Питання 37
При кількісному визначенні глюкози поляриметричним методом вимірюють:
Питання 38
Люди, що знаходяться у приміщенні при пожежі, страждають від отруєння чадним газом. Який вид гіпоксії при цьому спостерігається?
Питання 39
Промисловим джерелом рутину і кверцетину є квітки рослини з родини Fabaceae:
Питання 40
Для отримання бактеріальних екзотоксинів мікроорганізми культивують у рідкому живильному середовищі, в яке і виділяються токсини. За допомогою якого методу можна очистити середовище від мікроорганізмів та отримати при цьому чисті екзотоксини?
Питання 41
До горіховидних плодів відносять однонасінний плід, який при дозріванні не розтріскується, при основі облямований чашовидною плюскою, що утворилась з розширеної осі, на якій була розташована квітка. Це:
Питання 42
В аптеку звернувся хворий, який протягом місяця приймав феназепам. Хворий наполягав на придбанні ще двох упаковок цього препарату, пояснюючи тим, що він без феназепаму погано себе почуває. Що лежить в основі побічної дії препарату, що розвинулася у хворого?
Питання 43
При гідролізі целюлози утворюється дисахарид:
Питання 44
Для ароматичних вуглеводнів найбільш характерними є реакції:
Питання 45
Для стандартизації титрованого розчину трилону Б використовують стандартний розчин:
Питання 46
Перетравлювання ліпідів потребує наявності ліпаз, емульгаторів та слабколужного рН. У якому відділі ШКТ формуються дані умови?
Питання 47
Фізіологічний розчин 0,9% NaCl по відношенню до сироватки крові є:
Питання 48
Виберіть індикатор для арґентометричного визначення хлорид-іонів методом Мора:
Питання 49
Для профілактики правця використовують токсин, знешкоджений формаліном (0,4%) при температурі 39°C впродовж чотирьох тижнів. Як називається цей препарат?
Питання 50
У хворого виникають тривалі кровотечі, крововиливи у м’язи і суглоби при будь-яких мікротравмах. У крові дефіцит VIII плазменного фактора згортання крові. Яке захворювання системи крові у даного хворого?
Питання 51
Плоди селерових містять ефірноолійні канальці і можуть розпадатися на два напівплодики. Цей плід:
Питання 52
У хворого проноси, дерматит, деменція. З нестачею якого вітаміну це найбільш ймовірно пов’язано?
Питання 53
При санітарно-мікробіологічному дослідженні водопровідної води міською СЕС було виявлено мікроорганізми, наявність яких свідчить про свіже фекальне забруднення води. Які мікроорганізми було виявлено?
Питання 54
Для якісного виявлення сечової кислоти та інших сполук, що містять пуринове ядро використовується:
Питання 55
У дитини 9-ти років, після підвищення температури тіла до 38,5°C, що зберігалася впродовж тижня, у зв’язку з гострим бронхітом, відзначалося зниження температури до 37,0°C. Який з перерахованих механізмів є провідним у 3 стадії гарячки?
Питання 56
Який із перелічених моносахаридів відноситься до кетоз?
Питання 57
Допоможіть студенту медичного вузу обрати адренергічний препарат для лікування анафілактичного шоку:
Питання 58
Зображення до питання
Барбітурова кислота є найважливішим похідним:
Питання 59
Який з перерахованих препаратів при сублінгвальному застосуванні швидко купірує напад стенокардії?
Питання 60
Найбільш частим побічним ефектом при застосуванні інгаляційних кортикостероїдів є:
Питання 61
Виберіть рослину із родини Brassicaceae, що містить у своєму складі глікозиди, що близькі за дією до наперстянки:
Питання 62
Хворому тривалий час з лікувальною метою призначали кортизол. Вкажіть, похідним якої сполуки є ця речовина:
Питання 63
Після обстеження хворого лікар встановив діагноз: кліщовий енцефаліт. Назвіть механізм передачі даного захворювання:
Питання 64
Яку сполуку додають при визначенні катіонів кальцію с індикатором мурексидом для створення рН>12?
Питання 65
Постановка багатьох серологічних реакцій вимагає суворого дотримання асептичних умов. Який метод стерилізації доцільніше використовувати для знезараження лабораторного посуду?
Питання 66
Термолабільний лікарський препарат для екстемпорального використання піддали нагріванню до 65°C тричі з інтервалом в 1 день. До якого методу стерилізації вдалися у даному випадку?
Питання 67
До груп професійного ризику зараження на ВІЛ-інфекцію відносяться люди різних спеціальностей, у тому числі медичні робітники. Вкажіть найбільш імовірний механізм їх зараження:
Питання 68
У хворого 42-х років відзначається блідість шкірних покривів, слабкість, збільшення лімфатичних вузлів. У периферичній крові виявлені: лейкоцитоз, відсутність перехідних форм лейкоцитів (”лейкемічний провал”), прискорена ШОЕ. Розвиток якого захворювання слід запідозрити лікарю?
Питання 69
У хворого діагностовано гострий панкреатит. Визначення активності якого ферменту в крові необхідно провести з діагностичною метою?
Питання 70
Зображення до питання
Вкажіть порядок реакції розкладання ацетону:
Питання 71
Зображення до питання
Вкажіть сполуку, яка відноситься до конденсованих аренів:
Питання 72
При додаванні до розчину, що аналізується, розчину барію хлориду утворився білий осад, нерозчинний у кислотах і лугах. Це свідчить про присутність у розчині, що аналізується:
Питання 73
фазових перетворень при різних тисках має важливе практичне значення для сучасного фармацевтичного виробництва і здійснюється відповідно до:
Питання 74
Після фізичного навантаження у людини спостерігаються позачергові (передчасні) скорочення серцевого м’яза. Який це вид аритмії?
Питання 75
Ступінь впливу сторонніх іонів на потенціал іоноселективного електроду визначається величиною:
Питання 76
Після огляду хворої дитини лікар встановив діагноз: скарлатина. Який мікроорганізм є збудником цього захворювання?
Питання 77
Подружжя звернулось у медикогенетичну консультацію для обстеження їх новонародженої дитини. Під час дослідження каріотипу виявлено додаткову хромосому в 21-й парі хромосом. Який діагноз можна поставити?
Питання 78
В барбарису звичайного утворюються колючки, які є видозмінами:
Питання 79
Зображення до питання
Вкажіть назву наведеного алкену за замісниковою номенклатурою IUPAC:
Питання 80
При проведенні оперативного втручання в якості міорелаксанту було застосовано тубокурарину хлорид. Який засібантагоніст слід ввести хворому для відновлення у нього самостійного дихання?
Питання 81
При змащуванні скипидаром язик у кроля червоніє, його кровонаповнення збільшується. Артеріальна гіперемія якого типу виникає в цьому випадку?
Питання 82
У хворого на гіпертонічну хворобу підвищений рівень реніну в плазмі крові. Якій з перерахованих фармакологічних груп треба віддати перевагу для лікування даного хворого?
Питання 83
Яким має бути значення молярних концентрацій реактантів, щоб константа швидкості чисельно дорівнювала швидкості реакції?
Питання 84
Рослини, які зростають в умовах середнього зволоження, віднесено до такої екологічної групи, як:
Питання 85
Аспартам застосовується як підсолоджувач та препарат для лікування цукрового діабету. Яка амінокислота входить до його складу?
Питання 86
У хворого скарги на поліурію. При аналізі сечі не виявлено патологічних компонентів, але її щільність нижча за норму. Порушення секреції якого гормону може бути у цього хворого?
Питання 87
Аскорутин застосовують при кровоточивості ясен та точкових крововиливах. Який вітамін входить до складу цього препарату?
Питання 88
В ході аналізу катіонів VI аналітичної групи (кислотно-основна класифікація) при дії групового реагенту можна не тільки відокремити групу, але і ідентифікувати іони:
Питання 89
Ви працюєте в аптеці, яка розташована на території шкірно-венерологічного диспансеру. Проконсультуйте лікаря-інтерна, який антибіотик є препаратом вибору для лікування сифілісу?
Питання 90
Із сечі хворого на пієлонефрит виділені мікроорганізми, що утворюють на МПА колонії жовто-зеленого кольору і мають характерний запах. Який це мікроорганізм?
Питання 91
Кількісне визначення фотометричним методом солей міді проводять за градуювальним графіком, який будують у координатах:
Питання 92
У чому полягає механізм непрямого впливу іонізуючого випромінювання на клітини?
Питання 93
Який продукт буде утворюватися при гідролізі крохмалю?
Питання 94
Однією з важливих діагностичних ознак для визначення видів сосни є кількість хвоїнок на вкорочених пагонах. У сосни звичайної їх:
Питання 95
Через добу після вживання в їжу у столовій котлет декілька учнів звернулися в медпункт зі скаргами на біль у шлунку, блювання, підвищену температуру, діарею. Одного з учнів у важкому стані було госпіталізовано. Які мікроорганізми могли викликати цю харчову токсикоінфекцію?
Питання 96
У чоловіка внаслідок посиленого гемолізу еритроцитів підвищився вміст Феруму в плазмі крові. Який білок плазми забезпечує його транспорт?
Питання 97
При виробництві лікарських препаратів необхідно дотримуватися комплексу заходів, спрямованих на попередження їхньої мікробної контамінації. Як називається цей комплекс заходів?
Питання 98
Зображення до питання
Дибазол - гіпотензивний, спазмолітичний засіб. Механізм його дії пов’язаний зі здатністю блокувати активність фермента фосфодіестерази IV типу. В структурі препарату дибазол (бендазол)
Питання 99
Кокарбоксилаза використовується в медицині як фармацевтичний засіб для лікування дистрофій міокарда, уражень м’язів та периферичної і ЦНС. Який вітамін є компонентом цього препарату?
Питання 100
У лабораторній практиці широко застосовують фільтри Зейтца. Вкажіть мету застосування цих фільтрів:
Питання 101
При бактеріологічному дослідженні випорожнень хворого з діареєю була виділена чиста культура паличкоподібних, дещо зігнутих мікроорганізмів, які у мікропрепараті нагадували зграйки риб. При культивуванні на лужних середовищах (лужна пептонна вода) через шість годин утворювали плівку з блакитним відтінком. Для якого збудника притаманні такі властивості?
Питання 102
У медицині та фармації спостерігаються явища: адсорбції, змочування, адгезії тощо. Вони мають назву:
Питання 103
При розкритті абсцесу в ротовій порожнині з’явилися виділення жовтозеленого кольору. Які клітини завжди представлені і переважають в гнійному ексудаті?
Питання 104
Зображення до питання
При повному відновленні піролу одержують:
Питання 105
Для відтворення карциноми Ерліха кролю щоденно наносилась певна кількість бензпірену (поліциклічний ароматичний вуглеводень) на депільовану ділянку шкіри. Який метод використовується для моделювання пухлини?
Питання 106
Чому катіони I аналітичної групи (кислотно-основна класифікація) не мають групового реагенту?
Питання 107
Здатність ВМС перешкоджати випадінню в осад ліофобних золів та відкладенню в стінках судин холестеринових бляшок має назву:
Питання 108
Підберіть посуд, що використовується в титриметричних методах аналізу для вимірювання точного об’єму титранту:
Питання 109
До досліджуваного розчину додали 2М розчин HCl. При цьому утворився білий осад, який при обробці розчином аміаку почорнів. Який катіон присутній у розчині?
Питання 110
Щитоподібна залоза виробляє гормон, який регулює рівень Ca2+ у крові, що сприяє мінералізації кісткової тканини. Який гормон має цю дію?
Питання 111
Концентрацію етилового спирту у деяких лікарських формах і настоянках визначають рефрактометрично. Для цієї мети вимірюють:
Питання 112
Для потенціометричного визначення у розчині, що містить аміак і натрію гідроксид, слід використати індикаторний електрод:
Питання 113
В розчині присутні катіони кальцію, барію, алюмінію, калію, натрію. До розчину додали невелику кількість гідроксиду амонію і розчин алізарину. Утворився червоний осад. Який іон виявили цією реакцією?
Питання 114
Одним з алкалоїдів чаю та кави є кофеїн. Що є протипоказанням для використання кофеїну?
Питання 115
Частина сечовини в кишечнику гідролізується ферментом бактерій до вільного аміаку. Який фермент бактерій гідролізує сечовину?
Питання 116
Розчини ВМР за певних умов втрачають свою текучість, тобто виникають зв’язки між макромолекулами та з’являється просторова сітка. Цей процес має назву:
Питання 117
Інгібітори синтезу холестеролу застосовуються як антиатеросклеротичні препарати. Вкажіть такий препарат:
Питання 118
Багаторічна трав’яниста рослина сімейства Asteraceae з дрібними жовтими язичковими квітками, зібраними в кошики. Цвіте рано навесні до появи великих округлих серцеподібних виїмчастозубчастих листків, що зверху темнозелені, голі, знизу сильно опушені. Назвіть цю рослину:
Питання 119
Як називається прилад, за допомогою якого можна виміряти поверхневий натяг рідини?
Питання 120
При лікуванні натрію бромідом у хворого виникло явище бромізму: нежить, кашель, кон’юнктивіт, висипи на шкірі. Що потрібно призначити для усунення даного явища?
Питання 121
Які лікарські засоби мають використовуватися для усунення бронхоспазму?
Питання 122
Як називається група інфекційних та інвазивних хвороб загальних для тварин та людей?
Питання 123
Серед зібраних рослин наявний Capsella bursa-pastoris, для якої характерно:
Питання 124
При мікроскопії мазка, виготовленого з харкотиння хворого і пофарбованого методом Ціля-Нільсена, лікар-лаборант виявив наявність яскраво-червоних паличок, які розміщувалися поодиноко або групами, не чутливі до дії кислот. Які мікроорганізми були виявлені?
Питання 125
В грудному зборі виявлено шматочки кореня яскраво жовтого забарвлення солодкого на смак. При визначені встановлено, що це корені:
Питання 126
В лабораторіях різного профілю для визначення загальної твердості питної води використовують метод:
Питання 127
За допомогою якого реагенту можна відрізнити мальтозу (відновний дисахарид) від сахарози (невідновний дисахарид)?
Питання 128
Зображення до питання
Яка з наведених сполук є гетерофункціональною?
Питання 129
Реакція утворення золотисто-жовтого осаду (реакція ”золотого дощу”) - це реакція:
Питання 130
Колаген, желатин, кератин, міозин білки, що утворені за рахунок пептидних зв’язків, та являють собою витягнуті нитки. Такі білки називаються:
Питання 131
Для відокремлення катіонів 6 аналітичної групи від катіонів 5 аналітичної групи (кислотно-основна класифікація) використовують:
Питання 132
Лікар-бактеріолог приготував з досліджуваного матеріалу мазки, зафарбував за Нейссером, посіяв його на кров’яний телуритовий агар, виділив чисту культуру мікробів і перевірив її на токсигенність. На мікробіологічну діагностику якого захворювання направлені ці дослідження?
Питання 133
Якщо при молекулярній адсорбції розчинена речовина адсорбується сильніше за розчинник, то відбувається:
Питання 134
Хворому з алергічним ринітом був призначений лоратадин. До якої групи антиалергічних засобів належить цей препарат?
Питання 135
Оберіть препарат, активний відносно вірусу герпесу, який застосовується для профілактики та лікування герпетичних уражень шкіри та слизових оболонок:
Питання 136
Кінетику термічного розкладу лікарської речовини досліджують у бомбовому калориметрі. До якого типу відноситься цей процес?
Питання 137
Які робочі розчини (титранти) використовують у методі Фольгарда (осаджувального титрування)?
Питання 138
При гіповітамінозі одного з вітамінів визначають порушення проліферації епітеліальної і сполучної тканин. У пацієнтів з цим гіповітамінозом спостерігається порушення зору та орієнтації у просторі. Назвіть цей вітамін:
Питання 139
Для якої з цих систем характерна седиментація?
Питання 140
Енергія Гельмгольця - критерій напрямку самовільного процесу при постійності:
Питання 141
Зображення до питання
Яка з наведених сполук є ароматичною?
Питання 142
Зображення до питання
Фруктоза - це моносахарид, ізомер глюкози. Використовується в медицині при ураженнях печінки, дієтичному харчуванні тощо. Яка з наведених формул відповідає D-фруктозі :
Питання 143
У реанімаційне відділення доставили хворого без свідомості. Відмічаються запах ацетону з рота, різка гіперглікемія та кетонемія. Яке з ускладнень цукрового діабету має місце в даному випадку?
Питання 144
Антигістамінні препарати застосовують при лікуванні алергічних реакцій організму, тому що гістамін виконує функцію медіатора алергічної реакції. Назвіть амінокислоту, з якої він утворюється:
Питання 145
В шлунковому зборі присутні овальні коричневі здерев’янілі ”шишечки” до 1 , 5 см довжиною, які є:
Питання 146
У хворої при обстеженні виявлено збільшення щитоподібної залози, витрішкуватість, підвищення основного обміну і теплопродукції, тахікардія, плаксивість, знервованість. Для якого захворювання характерна така картина?
Питання 147
Для зняття марення і галюцинацій у хворої на шизофренію лікар використав аміназин. Який механізм антипсихотичної дії препарату?
Питання 148
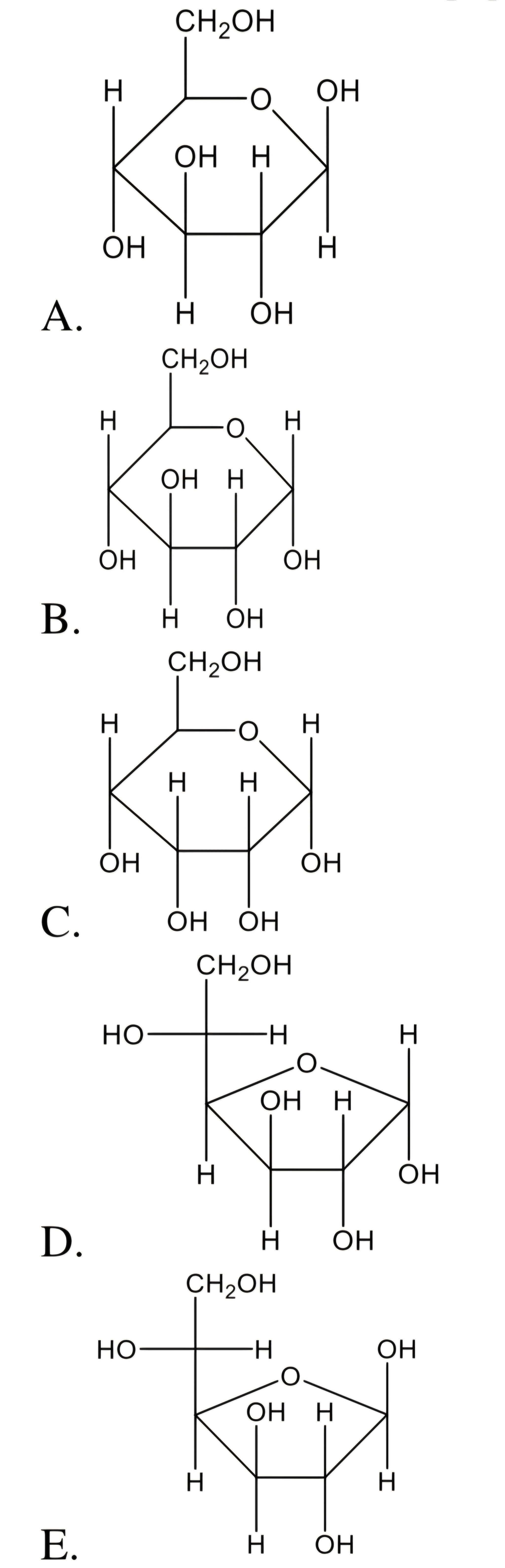
Зображення до питання
Яка з наведених формул відповідає β-D-глюкопіранозі?
Питання 149
В клініку потрапив чоловік з гострим нападом подагри. Вміст сечової кислоти в сироватці крові хворого значно підвищений, в сечі підвищена добова кількість цієї сполуки. Зміна активності якого ферменту призводить до даної патології?
Питання 150
У квіткових рослин чоловічим гаметофітом є: