MDstuds

2024 - Перескладання

2024 - Перескладання
Питань: 150
150:00
Питання 1 з 150
Питання 1
Яким чином можна визначити вміст вологи в термічно нестійких препаратах?
Питання 2
Пацієнтці з кандидомікозом призначено засіб, який застосовується у разі грибкової патології будь-якої локалізації, його побічні дії можуть спричинити діарею, токсичні ураження печінки. Який препарат призначив лікар?
Питання 3
Діагностичною ознакою якої родини є наявність гіпантію, або квіткової трубки?
Питання 4
Біопотенціали, викликані різноманітними фізіологічними процесами, є результатом виникнення на межі поділу фаз:
Питання 5
За яким механізмом відбувається приєднання Вr2 до пропену?
Питання 6
Зображення до питання
Який лікарський препарат утвориться при взаємодії саліцилової кислоти з оцтовим ангідридом?
Питання 7
Яка покривна тканина коренів складається з клітин із тонкими целюлозними оболонками і виростами – кореневими волосками?
Питання 8
Зображення до питання
За якою реакцією і механізмом відбувається перетворення толуолу на бромметилбензол?
Питання 9
В аналізі крові пацієнта, який тривалий час приймав нестероїдні протизапальні препарати, виявлено різке зменшення кількості нейтрофільних гранулоцитів, базофілів та еозинофілів на фоні лейкопенії. Який патологічний стан розвинувся у пацієнта?
Питання 10
Який метод аналізу хімік-аналітик може застосувати для визначення вмісту алюмінію в лікарському препараті алюмаг (малокс) способом непрямого титрування?
Питання 11
Під час дуоденального введення цей лікарський засіб викликає рефлекторне скорочення жовчного міхура та розслаблення сфінктера Одді. Залежно від шляху введення він має заспокійливий, протисудомний, спазмолітичний та послаблювальний ефекти. Вкажіть цей лікарський засіб.
Питання 12
Під час дослідження овочевих консервів домашнього приготування на середовищі Кітта-Тароцці висіяли мікроорганізми за формою, що нагадують тенісну ракетку. Збудником якої хвороби вони можуть бути?
Питання 13
Зображення до питання
Який продукт утворюється під час взаємодії аніліну з оцтовим ангідридом:
Питання 14
Для якого препарату з групи НПЗЗ характерна найменша ушкоджувальна дія на слизову оболонку ШКТ?
Питання 15
На якій стадії реакція естерифікації відбувається за наведеною схемою перетворень?
Питання 16
Яка речовина є унікальним акумулятором, донором і трансформатором енергії в організмі?
Питання 17
Зображення до питання
Вкажіть положення, за яким переважно проходить реакція нітрування саліцилової кислоти?
Питання 18
Для речовин, які володіють малою розчинністю у воді, слабкими основними або слабкими кислотними властивостями застосовують неводне кислотно-основне титрування. Запропонуйте титрант і середовище для титрування речовини зі слабкими основними властивостями.
Питання 19
У вагітної жінки надвечір зʼявляються набряки на ногах, на ранок вони зникають. Який патогенетичний фактор сприяє розвитку набряку?
Питання 20
Жінка звернулася до лікаря зі скаргами на тахікардію, безсоння, зниження ваги, дратівливість і пітливість. Обʼєктивно спостерігається: зоб і невеликий екзофтальм. Порушення функції якої залози і яке саме порушення спостерігається у пацієнтки?
Питання 21
Яка властивість характерна для мікоплазмів?
Питання 22
Зображення до питання
За яким механізмом проходить реакція?
Питання 23
Пацієнт із невритом приймає діазепам. Для зняття суглобового болю, призначено знеболювальний засіб у дозі, меншій за середньотерапевтичну. Яке явище взяв до уваги лікар, зменшивши дозу анальгетика?
Питання 24
У якої болотяної рослини з мечоподібними листками, суцвіттям початок (качан) з покривалом, кореневища товсті, легкі, духмяні, рожеві на зламі, із добре вираженими, зближеними рубцями і придатковими коренями?
Питання 25
Система перебуває в ізобарно-ізотермічній рівновазі. Яку функцію потрібно вибрати для описання процесу?
Питання 26
Зображення до питання
За яким правилом відбувається реакція відщеплення?
Питання 27
За гіпоксії відбувається накопичення в крові молочної кислоти. Вкажіть кінцевий продукт анаеробного гліколізу.
Питання 28
На фоні лікування антигіпертензивними препаратами у жінки зʼявився сухий кашель. Які препарати спричинили цю побічну дію?
Питання 29
Яке живильне середовище використовують для культивування грибів?
Питання 30
У дворічної дитини впродовж року часто виникали інфекційні захворювання бактеріального генезу, що мали тривалий перебіг. Під час аналізу імунограми дитини виявлено гіпогаммаглобулінемію. Порушення функції яких клітин найімовірніше спричиняє таку клініко-лабораторну картину?
Питання 31
Аналіз кристалогідрату натрію сульфату виконали гравіметричним методом, осаджуючи сульфат-іони розчином барію хлориду. Яку промивну рідину використовують під час декантації осаду барію сульфату після його дозрівання?
Питання 32
Який препарат потрібно призначити для лікування пацієнта з малярією?
Питання 33
Під час огляду пацієнта виявлено: надмірне розростання кісток і мʼяких тканин обличчя, збільшені розміри язика, внутрішніх органів, розширені міжзубні проміжки. Підвищена секреція якого гормону могла спричинити цей стан?
Питання 34
Яка структура бактеріальної клітини забезпечує підвищену стійкість мікробів до дії факторів зовнішнього середовища, здатна тривало зберігатись і може бути виявлена під час фарбування мазку за методом Ожешки?
Питання 35
Пацієнту з мікседемою рекомендовано замісну терапію. Які гормони використовують з цією метою?
Питання 36
Завдяки окорковінню, клітинні оболонки не змочуються водою, не пропускають воду і гази, протистоять гниттю. До якої з перелічених тканин можуть входити окорковілі клітини?
Питання 37
Який лікарський засіб за механізмом дії є блокатором ангіотензинперетворювального ферменту?
Питання 38
У пацієнта набряк легень. Який препарат необхідно призначити для зменшення обʼєму циркулюючої крові?
Питання 39
Синтез тиреоїдних гормонів здійснюється з тирозину у складі спеціального білку щитоподібної залозі. Вкажіть цей білок.
Питання 40
Яким загальним правилом визначається коагуляція золів під дією електролітів?
Питання 41
Для якої термодинамічної величини неможливо виміряти її абсолютне значення?
Питання 42
Який антибіотик широкого спектру дії протипоказаний дітям до 14 років, оскільки порушує формування скелету?
Питання 43
Які особливості листа характерні для злаків?
Питання 44
Які групи антибіотиків відносять до β-лактамних?
Питання 45
Для діагностики захворювань підшлункової залози використовують визначення активності ферментів. Який із наведених нижче ферментів необхідно використати у разі гострого панкреатиту?
Питання 46
Зображення до питання
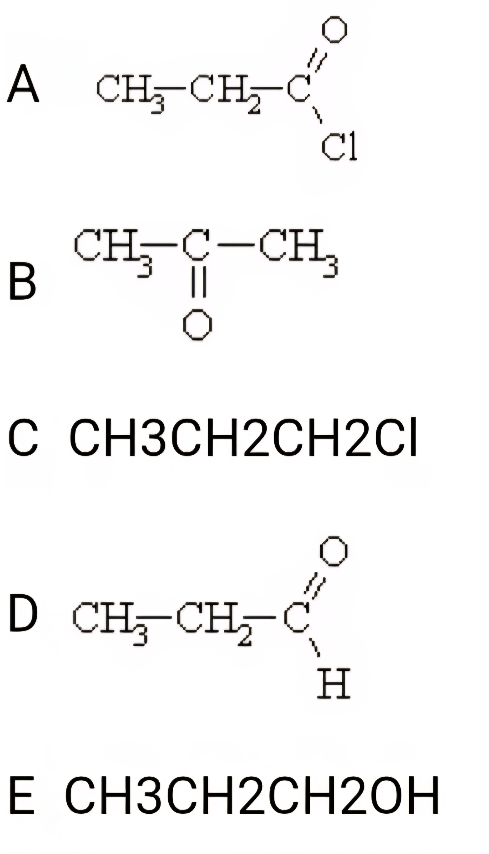
Які сполуки утворюються під час окислення первинних спиртів за наступною схемою:
Питання 47
Який препарат із місцевих анестетиків застосовують для лікування шлуночкових аритмій?
Питання 48
У мазку, забарвленому за Грамом, виявлено великі овальні клітини фіолетового кольору, що утворюють псевдоміцелій. Які це мікроорганізми?
Питання 49
Яка реакція є спільною з реакцією виявлення сполук арсену (III) і арсену (V)?
Питання 50
У пацієнта на введення лідокаїну розвинувся анафілактичний шок. Які антитіла спричиняють розвиток цієї алергічної реакції?
Питання 51
Зображення до питання
Яка з наведених сполук виявляє найсильніші кислотні властивості?
Питання 52
Зображення до питання
Укажіть найактивніший ацилюючий реагент.
Питання 53
Кінетичним рівнянням якого порядку описується процес коагуляції у відповідності до теорії швидкої коагуляції Смолуховського?
Питання 54
До якого типу дисперсних систем відносять піни?
Питання 55
У пацієнта з травмою черепа спостерігаються епілептиформні судоми, які регулярно повторюються. Порушення метаболізму якого біогенного аміну спостерігається за такого стану?
Питання 56
Антидепресанти здатні збільшувати вміст катехоламінів у синаптичній щілині. У чому полягає механізм дії цих препаратів?
Питання 57
У пацієнта внаслідок отруєння ціанідами відбулась блокада ферменту цитохромоксидази. Який вид гіпоксії розви вається у цьому разі?
Питання 58
Алопуринол використовують для зниження утворення сечової кислоти під час лікування подагри. Який фермент гальмує ця сполука?
Питання 59
За допомогою якої реакції можна відрізнити пропін від пропену?
Питання 60
Ізоніазид — препарат із протитуберкульозною активністю. Антивітаміном чого він є?
Питання 61
Під час голодування активується глюконеогенез. Який вітамін бере активну участь у процесі карбоксилювання піровиноградної кислоти?
Питання 62
В яких органелах у рослин відбувається утворення вторинного запасного крохмалю?
Питання 63
Пацієнт хворіє на тиреотоксикоз. Який препарат потрібно призначити для пригнічення синтезу тиреоїних гормонів?
Питання 64
З якою метою в систематичному ході аналізу катіонів IV групи поряд з груповим реагентом додають пероксид водню?
Питання 65
У пацієнтки з хронічною серцевою недостатністю розвинувся набряковий синдром, у крові виявлено підвищення вмісту альдостерону. Який препарат необхідно призначити?
Питання 66
Тканинне дихання супроводжується утворенням вуглекислого газу та води. Який компонент дихального ланцюга мітохондрій забезпечує відновлення кисню та утворення води?
Питання 67
Біологічні рідини (сироватки, розчини ферментів, вітамінів тощо) не витримують високих температур, тому їх стерилізація здійснюється за температури 56-58°С 5-6 разів через добу. Який метод стерилізації використовується?
Питання 68
На використанні якої залежності ґрунтуються потенціометричні методи аналізу?
Питання 69
Вкажіть віруси, які виконують етіологічну роль у виникненні раку шийки матки.
Питання 70
У післяопераційному періоді пацієнт отримував антибіотик. З часом він почав скаржитися на зниження слуху та вестибулярні розлади. Яка група антибіотиків має такі побічні ефекти?
Питання 71
Який специфічний реагент застосовують під час якісного аналізу на катіони Fe^2+ ?
Питання 72
Який вітамінний препарат призначають разом з фолієвою кислотою у разі гіперхромної анемії?
Питання 73
Яка реакція використовується для одержання бутану СН3-СН2-СН2-СН3 із хлороетану СН3-СН2-СІ?
Питання 74
Яка зазвичай одношарова, рідше багатошарова тканина стебел, коренів хвої виконує покривно-захисну та водозапасаючу функцію?
Питання 75
До аптеки по консультацію звернувся чоловік, у якого виник головний біль. Йому призначено інгібітор циклооксигенази - похідне амінофенолу. Який лікарський засіб призначили пацієнту?
Питання 76
Зображення до питання
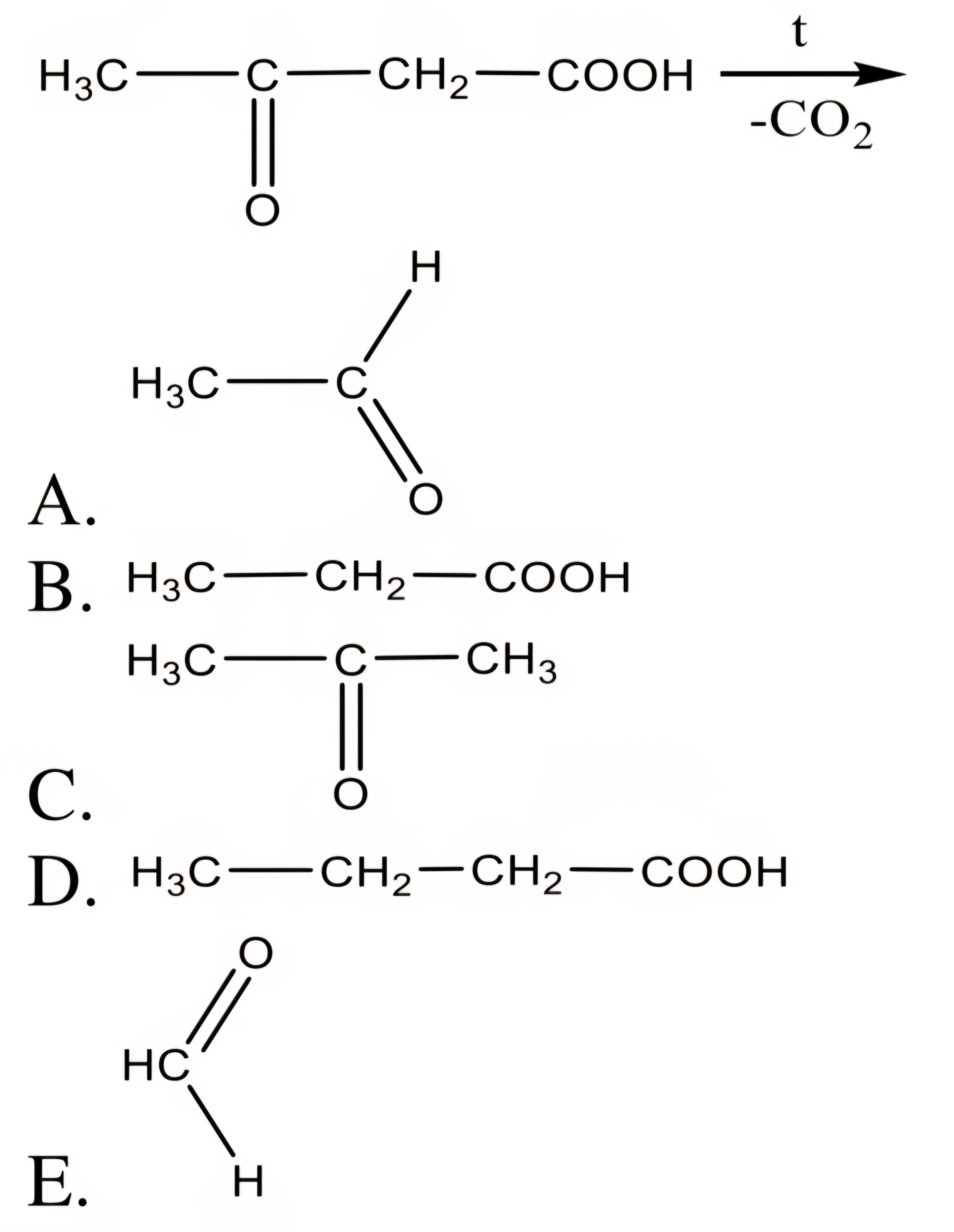
β-Оксомасляна кислота при декарбоксилюванні перетворюється на:
Питання 77
Згідно з правилом Банкрофта дисперсійним середовищем емульсії буде та рідина, з якою емульгатор:
Питання 78
У ВІЛ-інфікованого пацієнта спостерігається пригнічення активності імунної системи. Ураження яких клітин обумовлює стан імунодефіциту?
Питання 79
Для діагностики менінгіту досліджують мазки з осаду спинномозкової рідини, пофарбовані за методом Грама. Які з виявлених ознак підтверджують діагноз менінгококової інфекції?
Питання 80
Колоїдну систему очищують фільтруванням під надлишковим тиском через напівпроникну мембрану. Як називається такий метод очищення?
Питання 81
Яке з оптичних явищ у суспензіях є більш інтенсивним?
Питання 82
Для формування гуморальної імунної відповіді з антигеном повинні провзаємодіяти ряд клітин імунної системи. Які з них першими зустрічаються з антигеном?
Питання 83
Які форми еритроцитів будуть спостерігатися у разі В12-дефіцитній анемії?
Питання 84
Яка з наведених сполук відноситься до складних ефірів (естерів)?
Питання 85
Під час взаємодії з яким реагентом фосфат- та арсенат-аніони утворюють аналогічні осади, нерозчинні у розчині аміаку?
Питання 86
Як називається стан колоїдних частинок під час якого електрокінетичний потенціал дорівнює нулю і який характеризується відсутністю направленого руху гранул в електричному полі?
Питання 87
Зображення до питання
Яка з перелічених сполук при окисленні утворює фталеву кислоту?
Питання 88
В якому методі окисно-відновного титрування для фіксації кінцевої точки титрування застосовують специфічні рН-індикатори?
Питання 89
Які клітини листка мають здеревʼянілі оболонки?
Питання 90
До фармацевта звернувся чоловік віком 54 роки з проханням призначити ліки. З анамнезу відомо, що чоловік протягом 4 років хворіє на хронічний гломерулонефрит та протягом 2 років у нього спостерігається стійке підвищення артеріального тиску. Яка речовина, синтезована нирками, відіграє важливу роль у формуванні артеріальної гіпертензії?
Питання 91
Хроматографічні методи класифікують за механізмом процесу розділення. До якого типу хроматогафії належить метод газо-рідинної хроматографії?
Питання 92
У школі зареєстровано випадок захворювання на гепатит А. Який препарат необхідно застосувати для специфічної профілактики дітям, які перебували в контакті з хворим однокласником?
Питання 93
Лікування абстинентного синдрому у разі відміни морфіну передбачає застосування препарату антагоніста опіатних рецепторів. Вкажіть цей препарат.
Питання 94
Який із перелічених препаратів використовують для лікування кандидозу?
Питання 95
В методі тіоціанатометрії використовують вторинний стандартний розчин калію тіоціанату, який стандартизують за стандартним розчином:
Питання 96
У лабораторію надійшов зразок мідного купоросу (сульфат міді (II) пентагідрат). Виберіть метод кількісного визначення міді (II) в мідному купоросі.
Питання 97
Алкілювання за Фріделем-Крафтсом відбувається в присутності каталізаторів — кислот Льюїса. Які з наведених нижче сполук входять до їх переліку?
Питання 98
Як називається нижня розширена порожниста частина маточки квітки з насінними зачатками?
Питання 99
Який індикатор застосовують під час визначення первинних ароматичних амінів методом нітритометрії?
Питання 100
Яким чином змінюється ентропія ізольованої системи під час самодовільного наближення до рівноважного стану?
Питання 101
Укажіть рідину для якої поверхневий натяг є максимальним.
Питання 102
Серед наведених частинок та молекул виберіть нуклеофіл.
Питання 103
Потенціометрія широко використовується в аналізі лікарських препаратів. ЕРС якого гальванічного елемента не залежить від величини стандартного електродного потенціалу?
Питання 104
Яка речовина відкладається в протеопластах клітин насінин вищих рослин у вигляді кристалів, простих і складних алейронових зерен?
Питання 105
Яким методом здійснюють кількісне визначення розчину магнію сульфату для інʼєкцій?
Питання 106
При постійності яких параметрів енергія Гельмгольца є критерієм напрямку самочинного процесу?
Питання 107
Чим відрізняється радіальний тип листкової пластинки від дорсивентрального?
Питання 108
У пацієнта після гострого отруєння нітритами діагностовано набуту токсичну гемолітичну анемію. В мазку крові виявлено велику кількість регенеративних форм еритроцитів. Вкажіть ці клітини.
Питання 109
У пацієнта виявлено зниження бактерицидної дії шлункового соку, а також непрохідність кишечника, що сприяє розвитку гнилостної мікрофлори. Підвищення виділення якої речовини з сечею під час цього спостерігається?
Питання 110
Зображення до питання
Яку з наведених нижче сполук утворює азобарвник під час взаємодії з бензендіазоній хлоридом?
Питання 111
Під час проведення бактеріоскопічного дослідження мазків, забарвлених за Романовським-Гімзою, виявлено фіолетові кокоподібні мікроорганізми, розташовані в цитоплазмі клітин епітелію. Для якого збудника є характерним внутрішньоклітинне розташування?
Питання 112
Який метод фарбування мікроскопічних препаратів використовується для виявлення мікобактерій туберкульозу?
Питання 113
Амперометричне титрування використовують для аналізу деяких фармацевтичних препаратів. На якому процесі заснований метод амперометричного титрування?
Питання 114
Завдяки відкладанню у клітинній оболонці якої речовини шкаралупа горіхів, кісточки вишні, деревина є твердими?
Питання 115
Який індикатор застосовують в методі Фаянса-Ходакова під час визначення натрію йодиду?
Питання 116
Порушення метаболізму якої амінокислоти лежить в основі альбінізму?
Питання 117
Пацієнту з попереднім діагнозом: туляремія, для його підтвердження ввели підшкірно тулярин. Який метод дослідження використав лікар?
Питання 118
Кінцевим продуктом обміну яких речовин є сечова кислота?
Питання 119
Підвищення секреції якого гормону спричинить гіпернатріємію та гіпокаліємію?
Питання 120
Яка група бронхолітиків використовується для лікування пацієнтів з бронхіальною астмою?
Питання 121
Амінокислоти здатні приймати участь у великій кількості метаболічних процесів. Яка з амінокислот виступає як донор метильних груп (-СН3)?
Питання 122
Пацієнту, що скаржиться на безсоння, лікар призначив нітразепам. Снодійна дія препарату виникає через вплив на які рецептори?
Питання 123
17. Пацієнтка віком 30 років скаржиться на часті носові кровотечі. Обʼєктивно спостерігається: блідість шкірних покривів, дистрофічні зміни з боку нігтів, сухе, посічене волосся. У загальному аналізі крові виявлено: еритроцити — 2,9 • 10^12/л, гемоглобін – 70 г/л, КП – 0,5, сироваткове залізо – 5 мкмоль/л, лейкоцити — 6,0 • 10^9 /л, присутні анулоцити, пойкілоцитоз, мікроцитоз. Яка анемія спостерігається у пацієнтки?
Питання 124
Під час мікробіологічної діагностики сифілісу виникла необхідність вивчення характеру и ступеня рухливості збудника. Який вид мікроскопії використовують із цією метою в бактеріологічній лабораторії?
Питання 125
В умовах абсолютного голодування організм використовує ендогенну воду. Яка речовина є джерелом ендогенної води в організмі людини?
Питання 126
Що є генеративним, відтворюючим органом голо- і покритонасінних рослин?
Питання 127
Зображення до питання
Серед наведених реакцій вкажіть схему утворення біурету.
Питання 128
Під час мікроскопічного дослідження вагінального мазка у пацієнтки виявлено трихомонади. Який із протимікробних препаратів необхідно призначити для лікування?
Питання 129
Для стимуляції пологів та як протизаплідні засоби застосовуються гормоноподібні речовини з групи ейкозаноїдів. Які речовини мають таку дію?
Питання 130
У дитини після вживання овочів, які виявилися насиченими нітритами, виникла гемічна гіпоксія. Накопиченням якої речовини вона обумовлена?
Питання 131
Як називається процес виділення ВМР із розчину за допомогою електролітів?
Питання 132
У пацієнта спостерігається жовтушність шкірних покривів, у крові — збільшений вміст непрямого білірубіну, у сечі — не виявлений прямий білірубін. Уробілін у сечі і стеркобілін у калі наявні у значній кількості. Укажіть патологію, для якої характерні ці ознаки.
Питання 133
Метод поляриметрії використовується для визначення сполук, що містять асиметричний атом карбону. Яку із наведених сполук можна визначати цим методом?
Питання 134
Зображення до питання
Які продукти реакції, що утворюються за механізмом радикального заміщення вказані на нижченаведеній схемі перетворень?
Питання 135
Який препарат вибірково пригнічує секрецію залоз шлунка, блокуючи Н2-гістамінові рецептори?
Питання 136
Пацієнта шпиталізовано до інфекційного відділення обласної лікарні з попереднім діагнозом: черевний тиф. Яку серологічну реакцію потрібно провести з метою підтвердження діагнозу?
Питання 137
Спадкове порушення обміну якої амінокислоти призводить до алкаптонурії?
Питання 138
Ферменти прискорюють біохімічні реакції більш ніж у 10^8 разів. Яке рівняння описує швидкість ферментативного каталізу?
Питання 139
Пацієнта віком 30 років шпиталізовано до лікарні зі скаргами на підвищення температури тіла, жовтяницю, геморагічний висип на шкірі і слизових оболонках. За декілька днів розвинулася гостра ниркова недостатність. Під час мікроскопи мазків, забарвлених за Романовським-Гімзою, виявлено звивисті бактерії з вторинними завитками у вигляді літер S та С. Які бактерії найімовірніше спричинили захворювання?
Питання 140
Реакції фосфорилювання в клітині каталізуються ферментами, що мають тривіальну назву «кінази». До якого класу ферментів вони належать?
Питання 141
У пацієнта діагностовано ішемічну хворобу серця з високим рівнем холестерину. Який препарат потрібно включити до схеми лікування пацієнта?
Питання 142
Яку характеристику в титриметричних методах аналізу використовують під час вибору індикатору?
Питання 143
Під час мікроскопії осьового органа виявлено, що між вторинними флоемою і ксилемою є шар живих тонкостінних, щільнозімкнених, дещо видовжених клітин. Яку структуру утворюють ці клітини?
Питання 144
Реакцію активації амінокислот і приєднання їх до специфічної тРНК каталізує один фермент. Вкажіть цей фермент.
Питання 145
Який із перелічених медіаторів запалення сприяє підвищенню температури тіла?
Питання 146
Хімік-аналітик проводить якісний аналіз фосфат-іонів за допомогою фармакопейної реакції, в результаті якої утворився жовтий осад. Який реактив використав спеціаліст?
Питання 147
Укажіть умови необхідні для утворення кристалічних осадів.
Питання 148
Який з цих типів гінецею має декілька чи багато вільних плодолистиків?
Питання 149
У стоматологічній практиці використовують рідкі лікарські форми, які у своєму складі мають камфору та хлоралгідрат. Які фази перебувають у рівновазі в евтектичній точці діаграми плавкості суміші камфора-хлоралгідрат?
Питання 150
Який компонент рослинної клітини формує внутрішнє водне середовище, регулює водно-сольовий обмін, підтримує тургор, накопичує речовини?