MDstuds

2022 - Основна сесія

2022 - Основна сесія
Питань: 150
150:00
Питання 1 з 150
Питання 1
Хворому з глаукомою лікар призначив прозерин у вигляді очних крапель. До якої фармакологічної групи належить цей препарат?
Питання 2
У хворої дитини виявлені аскариди. Які зміни в лейкоцитарній формулі крові будуть найбільш характерні для глистяної інвазії?
Питання 3
За 20 хвилин після порізу шкіри жінка звернула увагу на те, що рана не припиняє кровоточити. Недостатність якого вітаміну в організмі спричиняє такий стан?
Питання 4
При проходженні спрямованого пучка світла крізь розчин золю MnO2 відбувається явище:
Питання 5
Колоїдні системи широко застосовуються в медичній практиці. В емульсіях:
Питання 6
Інгібітори синтезу холестеролу застосовуються як антиатеросклеротичні препарати. Вкажіть такий препарат:
Питання 7
Який із катіонів IV аналітичної групи можна виявити крапельним методом з алізарином із використанням аналітичного маскування?
Питання 8
В якісному аналізі характерною реакцією на катіони срібла є:
Питання 9
Який анальгетичний засіб під час взаємодіє з опіатними рецепторами викликає толерантність та залежність?
Питання 10
У хворого після бджолиних укусів розвинувся набряк Квінке. Який препарат треба негайно ввести хворому з метою усунення цього стану?
Питання 11
У однодольних рослин кінцеві продукти метаболізму часто представлені багатьма голчастими кристалами оксалату кальцію, зібраними у пачки, це:
Питання 12
Для аналізу чистоти антибіотиків застосовується фармакопейний метод, який базується на русі частинок дисперсної фази в сталому електричному полі. Цей метод називається:
Питання 13
Через слабкість пологової діяльності лікар призначив роділлі гормональний препарат для стимуляції пологів. Назвіть препарат:
Питання 14
Укажіть, яка із наведених нижче речовин відноситься до колоїдних поверхнево-активних речовин?
Питання 15
Вміст пероксиду водню без застосування індикаторів можна визначити таким методом редоксиметричного титрування:
Питання 16
Яку роль у організмі відіграють білки актин та міозин?
Питання 17
Оберіть препарат, активний відносно вірусу герпесу, який застосовується для профілактики та лікування герпетичних уражень шкіри та слизових оболонок:
Питання 18
В барбарису звичайного утворюються колючки, які є видозмінами:
Питання 19
Який розчин використовують для визначення масової та об'ємної частки аміаку в розчині?
Питання 20
Виберіть індикатор для арґентометричного визначення хлорид-іонів методом Мора:
Питання 21
Для зняття марення і галюцинацій у жінки, яка хворіє на шизофренію, лікар використав аміназин. Який механізм антипсихотичної дії цього засобу?
Питання 22
Постановка багатьох серологічних реакцій вимагає суворого дотримання асептичних умов. Який метод стерилізації доцільніше використовувати для знезараження лабораторного посуду?
Питання 23
Унаслідок дії розчину метиленового синього на зріз кореня алтеї лікарської утворюється помітне блакитне або синє забарвлення. Наявністю якої речовини це зумовлено?
Питання 24
До лікарні доставили 50-річного пацієнта у тяжкому стані. Об'єктивно: шкіра та видимі слизові оболонки ціанотичні, сатурація артеріальної крові -- 88%, АТ -- 90/60 мм рт.ст, пульс -- 117/хв., частота дихання -- 22/хв. В анамнезі вказана хронічна серцева недостатність. Який з наведених типів гіпоксії найімовірніше розвивається в такому разі?
Питання 25
Відомо, що деякі вуглеводи не перетравлюються в ШКТ організму людини. Виберіть такий вуглевод:
Питання 26
Подружжя звернулось у медико-генетичну консультацію для обстеження їх новонародженої дитини. Під час дослідження каріотипу виявлено додаткову хромосому в 21-й парі хромосом. Який діагноз можна поставити?
Питання 27
У хворого 57 років, який страждає на цукровий діабет 2-го типу, рівень глікемії становить 19 ммоль/л, що клінічно виявляється глюкозурією, поліурією і полідипсією. Назвіть патогенетичний механізм розвитку поліурії в цій клінічній ситуації:
Питання 28
Як називається процес вилучення однієї або декількох речовин зі складних систем селективним розчинником?
Питання 29
Онкогенні віруси для перенесення своєї інформації з РНК на ДНК використовують зворотну транскрипцію. Вкажіть, за допомогою якого фермента відбувається цей процес:
Питання 30
До горіховидних плодів відносять однонасінний плід, який при дозріванні не розтріскується, при основі облямований чашовидною плюскою, що утворилась з розширеної осі, на якій була розташована квітка. Це:
Питання 31
Під час проведення комбінованої терапії включення до її складу активованого вугілля змінює ефективність всмоктування інших лікарських засобів, які приймає пацієнт. Як діє активоване вугілля у цьому разі?
Питання 32
Відрізнити дисперсні системи від істиних розчинів можна завдяки блакитнуватому світінню колоїдних розчинів на темному фоні під час бокового освітлення. Це явище має назву:
Питання 33
Яка сполука утвориться внаслідок декарбоксилювання щавлевої кислоти НООС-СООН?
Питання 34
До лікаря звернувся чоловік 55 років зі скаргами на гострий біль у великих пальцях ніг. Він постійно вживає м'ясо та вино. Виникла підозра на подагру. Для підтвердження діагнозу вміст якої речовини слід визначити у крові?
Питання 35
Визначте порядок простої реакції типу 2А + В = 3Д.
Питання 36
Який іон міститься в розчині, якщо при дії на нього дифеніламіну у присутності концентрованої сульфатної кислоти спостерігається синє забарвлення?
Питання 37
Яку сполуку можна використовувати як індикатор під час проведення титриметричного визначення речовин методом меркуриметричного титрування?
Питання 38
У хворого після фізичного навантаження розвинувся напад стенокардії внаслідок ішемії міокарда. Яке з формулювань найточніше відображає визначення ішемії?
Питання 39
Для потенціометричного визначення у розчині, що містить аміак і натрію гідроксид, слід використати індикаторний електрод:
Питання 40
Які стандартні розчини використовують у перманганатометрії для кількісного визначення окисників методом зворотнього титрування?
Питання 41
Морфологічне дослідження рослин родини Хрестоцвіті показало, що здебільшого їх квітки зібрані у такі суцвіття:
Питання 42
Наявні ефірно-олійні залозки, плід - сім'янка, суцвіття - кошик. Це - характерні діагностичні ознаки родини:
Питання 43
Скляний електрод часто застосовують у фармацевтичному аналізі. До якого типу електродів його відносять?
Питання 44
Концентрацію калію перманганату у розчині визначають фотометричним методом аналізу. Вкажіть величину, яку при цьому вимірюють:
Питання 45
Інсулін - гормон підшлункової залози з гіпоглікемічною дією. Що він являє собою за хімічною природою?
Питання 46
Які робочі розчини (титранти) використовують у методі Фольгарда (осаджувального титрування)?
Питання 47
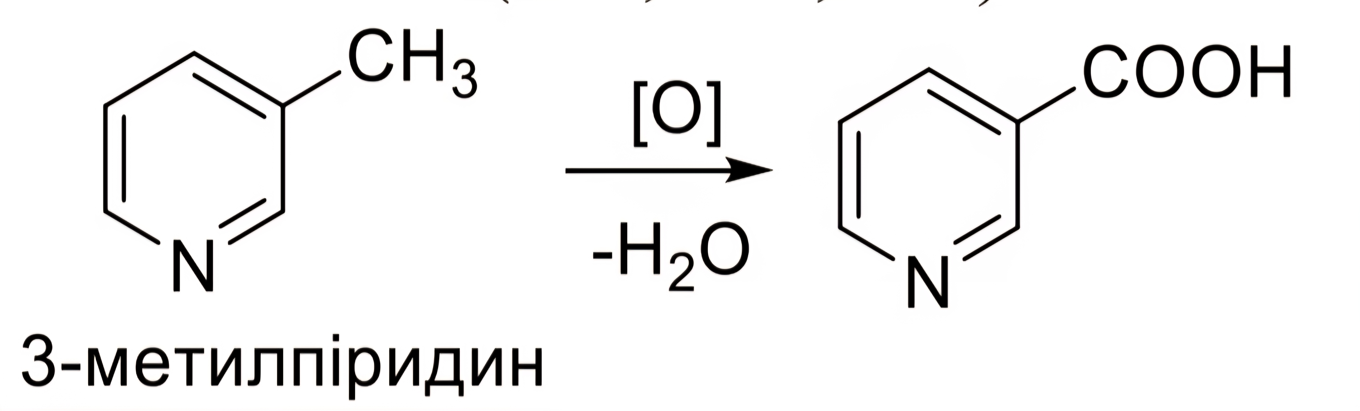
Зображення до питання
Яка сполука утвориться під час окиснення 3-метилпіридину?
Питання 48
Пацієнту, який часто хворіє на рецидивні хронічні бронхіти, призначають сульфаніламідний препарат. Аналогом якої кислоти є цей препарат?
Питання 49
Для лікування кропив'янки та усунення сверблячого шкірного висипу, пацієнту призначили антигістамінний препарат димедрол. Який механізм забезпечує його дію?
Питання 50
Вкажіть, які катіони є в розчині, якщо після додавання до нього реактиву Чугаєва та аміачного буферного розчину утворюється червоно-малиновий осад:
Питання 51
Під час вивчення токсичних властивостей патогенного мікроба встановлено його здатність продукувати білкову токсичну речовину, яка виділяється в навколишнє середовище. До яких токсинів належить ця токсична речовина?
Питання 52
Реакція утворення золотисто-жовтого осаду (реакція 'золотого дощу') - це реакція:
Питання 53
При розкритті абсцесу в ротовій порожнині з'явилися виділення жовто-зеленого кольору. Які клітини завжди представлені і переважають в гнійному ексудаті?
Питання 54
При виробництві лікарських препаратів необхідно дотримуватися комплексу заходів, спрямованих на попередження їхньої мікробної контамінації. Як називається цей комплекс заходів?
Питання 55
Людина несприйнятлива до чуми рогатої худоби і собак. З яким видом імунітету це пов'язано?
Питання 56
У хворого діагностовано гострий панкреатит. Визначення активності якого ферменту в крові необхідно провести з діагностичною метою?
Питання 57
В аптеку звернувся хворий, який протягом місяця приймав феназепам. Хворий наполягав на придбанні ще двох упаковок цього препарату, пояснюючи тим, що він без феназепаму погано себе почуває. Що лежить в основі побічної дії препарату, що розвинулася у хворого?
Питання 58
Який катіон V аналітичної групи (кислотно-основна класифікація) наявний у розчині, якщо під дією розчину хлориду олова (ІІ) у лужному середовищі випадає чорний осад?
Питання 59
Як називається кількість лікарського засобу, що виражена в одиницях маси (міліграм, грам), об'єму (мілілітр) або біологічної активності (одиниці дії)?
Питання 60
В інфекційне відділення надійшов хворий 23-х років зі скаргами на здуття живота та проноси. Діагностовано лямбліоз. Який вид лейкоцитозу характерний для даного захворювання?
Питання 61
Деякі лікарські рослини необхідно збирати з великою обережністю, оскільки серед них є отруйні. До таких рослин належить представник родини зонтичних:
Питання 62
Для виявлення аніонів у розчині дробним методом провели реакцію з антипірином. Розчин набув смарагдово-зеленого забарвлення. Який аніон зумовив цей аналітичний ефект?
Питання 63
Насіння льону використовують у медицині як обволікаючий засіб, завдяки здатності вторинних оболонок до:
Питання 64
Ви провізор-інформатор, працюєте в аптеці. Порадьте хворому із загостренням ревматоїдного артриту знеболювальний протизапальний препарат, що найменше шкодить шлунку:
Питання 65
Відомо, що у більшості видів відділу Голонасінні листки представлені хвоєю. Який з нижчеперерахованих видів має листки довгочерешкові, шкірясті, з цілісною віялоподібною листковою пластинкою, дихотомічним жилкуванням та однією або кількома виїмками по верхньому краю?
Питання 66
На аналізований розчин подіяли лугом. Під час його нагрівання виділяється газ, що змінює червоне забарвлення вологого лакмусового паперу на синє. Про присутність яких іонів у розчині свідчить такий аналітичний ефект?
Питання 67
До досліджуваного розчину додали 2М розчин HCl. При цьому утворився білий осад, який при обробці розчином аміаку почорнів. Який катіон присутній у розчині?
Питання 68
Під час дослідження санітарно-протиепідемічного режиму в асептичному відділенні аптеки працівники бактеріологічної лабораторії здійснили перевірку повітряного середовища. Які мікроорганізми є санітарно-показовими для повітря асептичних приміщень?
Питання 69
У пацієнта внаслідок значної крововтрати, що становила 40% об'єму крові, виникла анурія. Який провідний механізм її виникнення у цьому разі?
Питання 70
Визначте, які додаткові функції кореня пов'язані з накопиченням поживних речовин.
Питання 71
Вкажіть фізико-хімічний метод аналізу, заснований на вимірюванні того, як змінюється внаслідок хімічної реакції електропровідність досліджуваних розчинів:
Питання 72
В аналітичній практиці якісного аналізу використовують специфічні реакції, які дають можливість:
Питання 73
Виберіть сполуку із назвою 2-амінооцтова кислота:
Питання 74
У пацієнта спостерігаються блідість, <<гусяча шкіра>>, озноб. Для якої стадії гарячки характерні такі прояви?
Питання 75
У хворого сильний кашель з в'язким харкотинням. Який препарат сприяє розрідженню і виведення харкотиння?
Питання 76
Кумарини --- антивітаміни вітаміну K перешкоджають процесам згортання крові. Утворення якого білку вони блокують?
Питання 77
Пацієнт скаржиться на збільшення добової кількості сечі та спрагу. Під час лабораторного аналізу у сечі виявлено ацетон і високий рівень цукру. Порушення секреції якого гормону викликало ці зміни?
Питання 78
З-поміж розглянутих гербарних зразків рослин виявлено вид із родини Барбарисові. Це:
Питання 79
Хворому, що страждає на невроз з явищами тривоги і страху, лікар призначив діазепам. Який фармакологічний ефект препарату дозволяє застосовувати його для лікування даного захворювання?
Питання 80
Чоловік віком 65 років переніс інфаркт міокарда. За місяць у нього розвинулась серцева недостатність. Що зумовило її виникнення?
Питання 81
Із сечі пацієнта, який хворіє на пієлонефрит, виділено мікроорганізм, що утворює на МПА колонії жовто-зеленого кольору і має характерний запах. Який це мікроорганізм?
Питання 82
Для відокремлення катіонів 6 аналітичної групи від катіонів 5 аналітичної групи (кислотно-основна класифікація) використовують:
Питання 83
У дитини 9-ти років, після підвищення температури тіла до 38,5°C, що зберігалася впродовж тижня, у зв'язку з гострим бронхітом, відзначалося зниження температури до 37,0°Який з перерахованих механізмів є провідним у 3 стадії гарячки?
Питання 84
При проведенні оперативного втручання в якості міорелаксанту було застосовано тубокурарину хлорид. Який засіб-антагоніст слід ввести хворому для відновлення у нього самостійного дихання?
Питання 85
Вкажіть структурну формулу пропену:
Питання 86
Серед зібраних рослин наявний Capsella bursa-pastoris, для якої характерно:
Питання 87
Яку сполуку додають при визначенні катіонів кальцію с індикатором мурексидом для створення рН>12?
Питання 88
У пацієнта після тривалого вживання антибіотиків розвинувся дисбактеріоз кишечника. Які препарати слід призначити для відновлення нормальної мікрофлори?
Питання 89
1915 року японські вчені Ішикава та Ямагіва вперше під час експерименту викликали появу пухлини, змащуючи шкіру вуха кролів кам'яновугільною смолою. Який метод експериментального відтворення пухлин був застосований?
Питання 90
З досліджених гербарних зразків лікарських рослин до родини Rosaceae відносяться:
Питання 91
У хворого встановлено зменшення секреторної функції шлунку, що супроводжувалось анемією. Вкажіть, який з вітамінів має антианемічну дію:
Питання 92
У синтезі АТФ у клітині беруть участь ціла низка ферментів. Ферменти дихального ланцюга локалізовані в:
Питання 93
До реанімаційного відділення шпиталізовано чоловіка, який потрапив у ДТП. Об'єктивно встановлено: постраждалий непритомний, АТ --- 90/60 мм рт. ст., у крові високий вміст креатиніну і сечовини, добовий діурез --- 20 мл. Дайте характеристику добового діурезу пацієнта.
Питання 94
Яка група антибіотиків протипоказана в дитячому віці через її вплив на формування кісткової тканини?
Питання 95
У хворого виникають тривалі кровотечі, крововиливи у м'язи і суглоби при будь-яких мікротравмах. У крові дефіцит VIII плазменного фактора згортання крові. Яке захворювання системи крові у даного хворого?
Питання 96
Відомо, що подагра є однією з найпоширеніших причин розвитку гострих і хронічних рецидивних артритів. Який із наведених лабораторних показників є провідним для диференційної діагностики подагричного артриту?
Питання 97
Перетравлювання ліпідів потребує наявності ліпаз, емульгаторів та слабколужного рН. У якому відділі ШКТ формуються дані умови?
Питання 98
Концентрацію етилового спирту в деяких лікарських формах і настоянках визначають рефрактометрично. З цією метою вимірюють:
Питання 99
Індикатор фенолфталеїн часто використовують у титриметричному аналізі. Вкажіть метод титрування, в якому його застосовують:
Питання 100
Хворому на ішемічну хворобу серця лікар рекомендував вживати поліненасичені вищі жирні кислоти [ПНЖК]. Яка з наведених жирних кислот є поліненасиченою?
Питання 101
У хворого на інфекційну хворобу одночасно з розмноженням бактерій у крові виявлена їх присутність у внутрішніх органах, де утворилися гнійні осередки. Як називається цей стан?
Питання 102
До досліджуваного розчину додали 2М розчин HCl. При цьому утворився білий осад, який при обробці розчином аміаку почорнів. Який катіон присутній у розчині?
Питання 103
Ліполітичні ферменти ШКТ каталізують гідроліз ліпідів. Вкажіть хімічний зв'язок, який вони розщеплюють:
Питання 104
Як називається явище підсилення коагулюючої дії електролітів у суміші?
Питання 105
У пацієнта з діагнозом: рак легень, розвинувся плеврит. Для аналізу отримано велику кількість геморагічного ексудату. Який компонент є специфічним для геморагічного ексудату?
Питання 106
У пацієнтки розвинувся алергічний дерматит після вживання цитрусових. Порекомендуйте їй лікарський засіб із групи блокаторів Н₁-гістамінорецепторів:
Питання 107
Для кількісного визначення хлорид-іонів у лікарському препараті використали метод Мора. Кінцева точка титрування була зафіксована за утворенням цегляно-червоного осаду. Якою сполукою він був утворений?
Питання 108
Під час голодування активується глюконеогенез. Який вітамін бере активну участь у процесі карбоксилювання піровиноградної кислоти?
Питання 109
Вкажіть речовину, яка є вихідною сполукою в реакції полімеризації.
Питання 110
Комплексонометричне визначення загальної твердості води проводять із металохромними індикаторами. Який індикатор можна використовувати у цьому разі?
Питання 111
Для профілактики правця використовують токсин, знешкоджений формаліном (0,4%) при температурі 39°C впродовж чотирьох тижнів. Як називається цей препарат?
Питання 112
У хворого виражені блідість, ''гусяча шкіра'', озноб. Якій стадії гарячки характерні такі прояви?
Питання 113
У якої з наведених рідин поверхневий натяг найбільший?
Питання 114
Народна медицина застосовує квітки глухої кропиви білої (Lamium album) при захворюваннях селезінки, катарі дихальних шляхів тощо. До якої родини належить ця рослина?
Питання 115
Під час бактеріологічного дослідження матеріалу з опікової рани було виділено грамнегативні бактерії паличковидної форми, які на МПА утворювали пласкі, слизькі колонії зеленуватого кольору зі специфічним ароматичним запахом. Якому з наведених мікроорганізмів найбільше відповідає така характеристика?
Питання 116
Під час проведення лабораторної діагностики вірусного гепатиту В лаборант через необережність розбив пробірку з кров'ю хворого і уламком скла розсік шкіру на руці. Який препарат необхідно ввести лаборанту для екстреної профілактики гепатиту?
Питання 117
Фітопатогенні мікроорганізми можуть істотно впливати на врожайність лікарських рослин, зменшуючи їх біомасу та кількість активних речовин. Одними з ознак ураження рослин фітопатогенними мікроорганізмами є поява гнилі на органах і тканинах, багатих на воду, зі зміною кольору, смаку, появою запаху. Які з мікроорганізмів найчастіше спричиняють появу гнилі?
Питання 118
Під час вивчення квітки встановлено: маточка одна, утворена одним вільним плодолистком. Це допомагає визначити гінецей, як:
Питання 119
В розчині присутні катіони кальцію, барію, алюмінію, калію, натрію. До розчину додали невелику кількість гідроксиду амонію і розчин алізарину. Утворився червоний осад. Який іон виявили цією реакцією?
Питання 120
Кількісне визначення фотометричним методом солей міді проводять за градуювальним графіком, який будують у координатах:
Питання 121
Рослини, які зростають в умовах середнього зволоження, віднесено до такої екологічної групи, як:
Питання 122
Під час вживання грибу (бліда поганка), у складі якого є отрута α-аманітин, відбувається отруєння організму людини. Який фермент інгібується цією отрутою?
Питання 123
Яким стандартним розчином стандартизують вторинний розчин калію тіоціанату, що використовується в методі тіоціанатометрії?
Питання 124
Для кількісного фотоколориметричного визначення іонів феруму(ІІІ) спеціаліст проводить реакцію із сульфосаліциловою кислотою і вимірює:
Питання 125
Який титрант використовують у броматометричному методі титрування?
Питання 126
Під час випадкового споживання грибів (наприклад, бліда поганка), у складі яких є отрута α-аманітин, відбувається отруєння організму людини. Укажіть який фермент інгібується цією отрутою?
Питання 127
У клітинах організму еукаріотів ДНК перебуває у зв'язаній з білками формі. Вкажіть білки, що з'єднані з молекулою ДНК та стабілізують її:
Питання 128
Назвіть провідний механізм протиатеросклеротичної дії клофібрату (фенофібрату).
Питання 129
Хворий на гострий інфаркт міокарда у складі комплексної терапії отримував гепарин. За деякий час з'явилася гематурія. Який препарат показано як антидот?
Питання 130
Завод бактерійних препаратів виготовляє кілька видів вакцин. Яка з них належить до вакцин обов'язкового застосування?
Питання 131
Кількісне визначення йодидів за методом Фаянса проводять з адсорбційними індикаторами. Як такий індикатор можна застосовувати:
Питання 132
Пацієнту, який проживає на специфічній геохімічній території, встановлено діагноз: ендемічний зоб. Недостатність якого мікроелементу призводить до виникнення такої патології?
Питання 133
Який метод треба використати для кількісного визначення магнію сульфату в розчині?
Питання 134
Для оцінювання якості води, яку використовують в аптеці, проведено бактеріологічне дослідження. Який показник характеризує кількість бактерій групи кишкових паличок на 1 літр води?
Питання 135
Високі терапевтичні властивості активованого вугілля обумовлені його великою питомою поверхнею. Як називається явище поглинання газів лише поверхнею твердого тіла?
Питання 136
Для визначення збудника фурункульозу підготували мазок хворого і зафарбували за Грамом. У мазку виявлено стафілококи. За якою мікроскопічною картиною зробили цей висновок?
Питання 137
З метою отримання бактеріальних екзотоксинів мікроорганізми культивують у рідкому живильному середовищі, в яке і виділяються токсини. За допомогою якого методу можна очистити середовище від мікроорганізмів та отримати при цьому чисті екзотоксини?
Питання 138
Для стандартизації титрованого розчину трилону Б використовують стандартний розчин:
Питання 139
До груп професійного ризику зараження на ВІЛ-інфекцію входять люди різних спеціальностей, зокрема медичні робітники. Вкажіть найімовірніший механізм їх зараження:
Питання 140
До реанімаційного відділення надійшов хворий без свідомості. Діагностовано діабетичну кетоацидотичну кому. Який патологічний тип дихання є характерним для такого стану?
Питання 141
За допомогою якого ферменту здійснюється шлях синтезу різних генів із матричних РНК на ДНК у генній інженерії (цей фермент каталізує процес, відкритий у РНК-вмісних вірусів)?
Питання 142
Гемоглобін є складним білком, який транспортує кисень в організм і виводить із нього вуглекислий газ. Вкажіть, до якого класу речовин він належить:
Питання 143
При додаванні до розчину, що аналізується, розчину барію хлориду утворився білий осад, нерозчинний у кислотах і лугах. Це свідчить про присутність у розчині, що аналізується:
Питання 144
Як називається плід шипшини травневої, який складається з горішків, що лежать на внутрішній, щетинистоопушеній поверхні соковитого гіпантія?
Питання 145
Для поліпшення впливу біологічно активної речовини на осередок ураження як лікарські форми використовують емульсії, що можуть бути виготовлені шляхом подрібнення рідких речовин у рідкому середовищі. Як називають цей процес?
Питання 146
У пацієнтки під час обстеження виявлено збільшення щитоподібної залози, витрішкуватість, підвищення основного обміну і теплопродукції, тахікардію, плаксивість, знервованість. Для якого захворювання характерні ці симптоматичні явища?
Питання 147
Лікар-бактеріолог приготував з досліджуваного матеріалу мазки, зафарбував за Нейссером, посіяв його на кров'яний телуритовий агар, виділив чисту культуру мікробів і перевірив її на токсигенність. На мікробіологічну діагностику якого захворювання направлені ці дослідження?
Питання 148
В шлунковому зборі присутні овальні коричневі здерев'янілі 'шишечки' до 1,5 см довжиною, які є:
Питання 149
Для планової вакцинації проти поліомієліту використовують пероральну полівалентну вакцину Себіна. Яка категорія дітей має абсолютні протипоказання до вакцинації цим типом вакцин?
Питання 150
Під час додавання суміші алюмінію нітрату та калію сульфату до золю лікарського засобу спостерігається послаблення коагулюючої дії, яке називається: