MDstuds

2024 - Основна сесія 1 день

2024 - Основна сесія 1 день
Питань: 149
149:00
Питання 1 з 149
Питання 1
Зображення до питання
Яка з наведених сполук під час нагрівання з водовіднімальними реагентами утворює акролеїн?
Питання 2
Зображення до питання
За допомогою якого реагенту можна відрізнити нижченаведену пару сполук?
Питання 3
Під час якого процесу ентропія системи зменшується?
Питання 4
Під час дослідження харкотиння пацієнта з підозрою на пневмонію у препараті виявлено ланцетоподібні коки синьо-фіолетового кольору, розташовані парами, мають капсулу. Який метод забарвлення застосовано для виявлення капсули?
Питання 5
Зображення до питання
Яка з нижченаведених сполук є найстійкішою до дії окисників?
Питання 6
У сталеварному цеху працівник наприкінці робочої зміни відчув запаморочення, температура тіла підвищилася до 38,5°С. Який стан спостерігається в цього працівника?
Питання 7
У титриметрії в розрахункаї часто використовують титр титранту за визначуваною речовиною. На що вказує титр за визначуваною речовиною?
Питання 8
Який параметр визначають під час проведення аналізу крові на швидкість осідання еритроцитів?
Питання 9
До аптечної мережі надійшов сучасний препарат, який Інгібує фермент ГМГ-КоА-редуктазу та зменшує синтез холестерину. Укажіть цей препарат.
Питання 10
Зображення до питання
Які два гетероциклічні кільця містить у своєму складі вітамін В1 (тіамін)?
Питання 11
До груп професійного ризику зараження ВІЛ-інфекцією належать люди різних спеціальностей, у тому числі медичні працівники. Якій найімовірніший механізм їх зараження?
Питання 12
У сучасній лабораторній діагностиці широко застосовується полімеразна ланцюгова реакція – ПЛР. Що виявляють за допомогою цієї реакції?
Питання 13
Яку пару електродів використовують для потенціометричного окисно-відновного титрування ?
Питання 14
Наявність ферментів агресії притаманна патогенним мікрорганізмам. Укажіть серед нижченаведених фермент агресії.
Питання 15
Випорожнення пацієнта з підозрою на шигельоз засіяно на середовище Плоскірєва. Якого кольору будуть колонії збудника дизентерії на цьому середовищі?
Питання 16
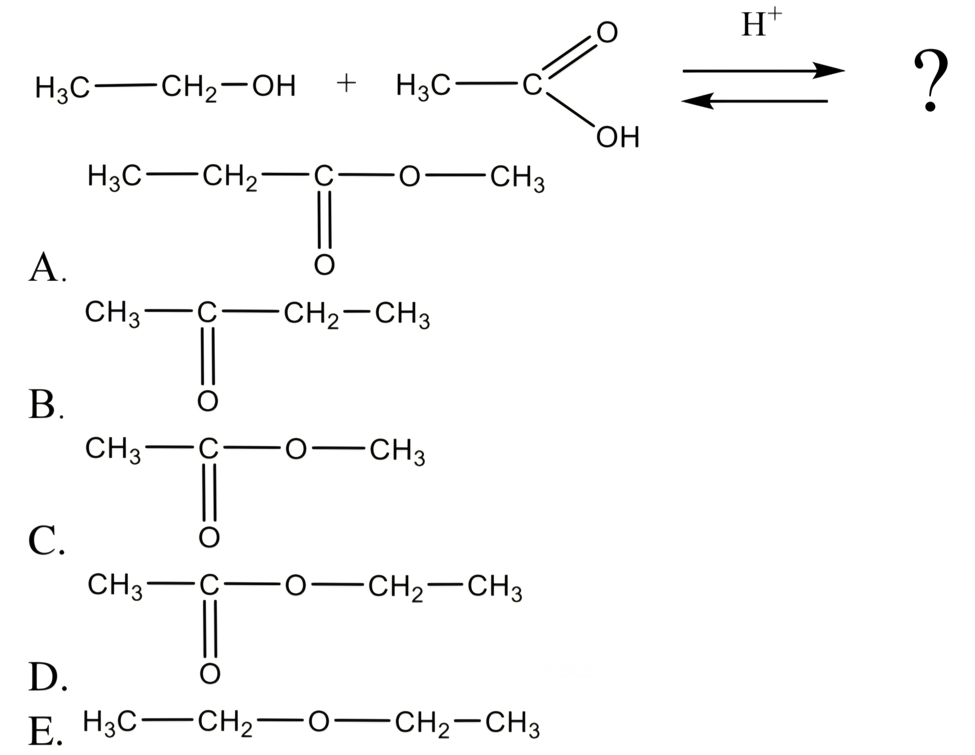
Зображення до питання
Який кінцевий продукт утворюється в результаті реакції естерифікації етанолу з оцтовою кислотою за наведеною нижче схемою?
Питання 17
Зображення до питання
Укажіть реагент, що вступає в реакцію з аміногрупою п-амінобензойної кислоти?
Питання 18
Від чого залежить ізоелектричний стан молекул білка?
Питання 19
Гіпоглікемічна дія якого препарату зумовлена стимуляцією бета-клітин підшлункової залози?
Питання 20
У чоловіка віком 30 років після приймання рослинного лікарського засобу виникла анафілактична алергічна реакція, у крові спостерігався лейкоцитоз. Укажіть, який вид лейкоцитозу є характерним для цієї ситуації.
Питання 21
Зображення до питання
Яка з наведених нижче сполук належить до аліфатичних?
Питання 22
У якому середовищі треба проводити визначення галогенід-іонів аргентометрично згідно з методом Фольгарда?
Питання 23
Яка з наведених сполук має найвищі основні властивості?
Питання 24
До якої групи належить рослина, якщо епідерма одних досліджених листків має товсту кутикулу та віск на поверхні, а інших - луски або численні трихоми, продихів мало?
Питання 25
Оберіть серед нижче наведених варіантів «петльовий» діуретик екстренної, сильної і короткотривалої дії:
Питання 26
Яким методом здійснюють кількісне визначення аміаку ?
Питання 27
Амінокислоти беруть участь у реакціях метилювання під час синтезу ряду біологічно активних речовин – адреналіну, мелатоніну, фосфатидилхоліну, креатину. Активна форма якої амінокислоти використовується для синтезу цих сполук?
Питання 28
У яких координатах будують ізотерми мономолекулярної адсорбції?
Питання 29
Під час аналізу лікарських субстанцій часто застосовують екстракцію. Від чого залежить ступінь вилучення таким методом речовини, що визначається?
Питання 30
Зображення до питання
Яка з вказаних сполук є гідроксамовою кислотою?
Питання 31
Зображення до питання
Укажіть положення в молекулі піразолу, за яким проходять реакції електрофільного заміщення.
Питання 32
Яким методом здійснюють кількісне визначення вісмуту в препараті?
Питання 33
Зображення до питання
За яким механізмом відбувається реакція хлорування метану згідно з нижченаведеним рівнянням?
Питання 34
Який із нижченаведених факторів зумовить збільшення клубочкової фільтрації в нирках?
Питання 35
У листках бегонії виявлено кам’янисті клітини, що мають форму гантелей або трубчастих кісток. До яких із нижченаведених клітин вони належать?
Питання 36
Після тотальної резекції шлунка в пацієнта розвинулась тяжка В12-дефіцитна анемія з порушенням кровотворення і появою у крові змінених еритроцитів. Наявність у крові яких із нижченаведених форм еритроцитів свідчить про це захворювання у пацієнта ?
Питання 37
У пацієнта з харчовою токсикоінфекцією, що супроводжується діареєю та багаторазовою блювотою, розвинулося зневоднення організму. Укажіть, який вид порушення загального об’єму крові спостерігається в цьому разі.
Питання 38
У жінки віком 71 рік, яка хворіє на холецистит, виникла механічна жовтяниця. Який вид аритмії розвинеться у цьому разі?
Питання 39
Розпад гемоглобіну супроводжується утворенням жовчних пігментів. Який пігмент утворюється в реакції окиснення гему?
Питання 40
За якої умови процес солюбілізації є можливим ?
Питання 41
Розчин йоду приготували за методом встановленого титру. Які первинні стандарти можна використовувати для стандартизації?
Питання 42
Одним із вторинних пірогенів при гарячці є інтерлейкін-1. Які клітини є головними продуцентами цього пірогену?
Питання 43
Зображення до питання
Серед нижченаведених речовин укажіть сполуку, що не дає позитивної йодоформної проби.
Питання 44
Фармакологічна дія деяких антидепресантів пов'язана з детоксикацією біогенних амінів у головному мозку. Укажіть, який фермент інактивує біогенні аміни.
Питання 45
Під час систематичного аналізу суміші катіонів катіони заліза (III) можна визначити дробним методом. Який реактив для цього треба використати?
Питання 46
Листки рослини родини Lamiaceae яйцевидні, з городчастим краєм, зверху темніші ніж зі споду, з характерним лимонним запахом. Це ознаки якої рослини?
Питання 47
У однодольних рослин кінцеві продукти метаболізму часто представлені багатьма голчастими кристалами оксалату кальцію, зібраними у пачки. Назвіть ці структури.
Питання 48
Амінокислоти та їхні похідні в нейронах головного мозку виконують функцію нейромедіаторів. Який нейромедіатор утворюється з ароматичної амінокислоти?
Питання 49
Для лікування подагри використовується алопуринол. Який механізм дії цього лікарського засобу?
Питання 50
Від якого показника залежить коагулююча здатність електроліту?
Питання 51
Аміак - це дуже токсична речовина, насамперед для нервової системи. З яким метаболітом циклу трикарбованових кислот зв'язується аміак, утворюючи глутамат і глутамін?
Питання 52
У пацієнта після 5-ти місячного лікування туберкульозу виник неврит лицевого нерва. Який препарат спричинив цю побічну дію?
Питання 53
Який із нижченаведених дисахаридів є відновлювальним?
Питання 54
У ході дослідження харкотиння пацієнта з підозрою на туберкульоз у препараті виявлено тонкі, трохи зігнуті палички, зафарбовані в рубіновий колір і розташовані у вигляді джугів. Який метод фарбування застосовано?
Питання 55
Під час мікроскопічного дослідження кореневище виявлено центроксилемні провідні пучки. Укажіть, якій рослині належить це кореневище.
Питання 56
У пацієнта виявлено гострий панкреатит. Що є провідною ланкою патогенезу цього захворювання?
Питання 57
ацієнт, який хворіє на виразкову хворобу дванадцятипалої кишки, приймав препарат із групи блокаторів Н2-гістамінових рецепторів. Який із нижченаведених препаратів належить до цієї групи?
Питання 58
У пацієнта, який скаржився на набряки, під час обстеження виявлено протеїнурію, артеріальну гіпертензію, гіпопротеїнемію, ретенційну гіперліпідемію. Як називається цей синдром?
Питання 59
Частина енергії, що вивільняється з молекули глюкози, запасається в ході реакції субстратного фосфорилювання. Укажіть макроергічну сполуку, яка утворюється під час гліколізу в реакціях фосфорилювання.
Питання 60
Іони металів у крові транспортуються в комплексі з білками. Який білок крові містить у своєму складі купрум?
Питання 61
Однією з біологічних функцій, яку проявляють глікопротеїни в організмі, є регуляторна (гормональна) функція. Який із нижченаведених гормонів за своєю хімічною природою належить до глікопротеїнів?
Питання 62
Унаслідок тривалого прийому сульфаніламідних, препаратів у пацієнта розвинулася анемія, лейкопенія та тромбоцитопенія. Який механізм розвитку вищенаведених порушень?
Питання 63
У шахтаря, що потрапив під завал, розвинувся синдром тривалого стиснення та виникли ознаки печінкової коми. У крові виявлена гіперамоніємія. Який процес викликав зростання вмісту аміаку в крові пацієнта?
Питання 64
У пацієнта в місці запалення шкіри утворився келоїдний рубець. Із порушенням нормального перебігу якої стадії запалення пов'язаний цей стан ?
Питання 65
Протипухлинний засіб 5-фторурацил блокує фермент, що приєднує метильну групу до дУМФ. Яка саме реакція гальмується при використанні цього лікарського засобу?
Питання 66
Під час мікроскопічного дослідження листка світлолюбної рослини виявлено, що під епідермою розташовано декілька щільних шарів видовжені хлорофілоносних клітин, які орієнтовані перпендикулярно до поверхні листка. Яка це паренхіма?
Питання 67
Під час лікування гнійних ран використовують повʼязки з іммобілізованим на них ферментом. Як називається цей фермент?
Питання 68
Усі бактерій мають ряд фундаментальних ознак, що відрізняють їх від мікроскопічних грибів та найпростіших. Укажіть основну морфологічну відмінність бактеріальної клітини.
Питання 69
До досліджуваного розчину додали 2М розчин HCl. При цьому утворився білий осад, що при нагріванні розчинився. Який катіон присутній у розчині?
Питання 70
У фармації для вилучення БАР із рослинної сировини застосовують екстракцію. Який закон лежить в основі цього процесу?
Питання 71
За яким механізмом відбувається приєднання Br2 до пропену?
Питання 72
Для визнання первинних ароматичних амінів використовують нітритометрію. Який індикатор застосовується під час цього визначення?
Питання 73
3 якою речовиною бутан вступає в реакцію за наведених умов?
Питання 74
Пацієнт віком 23 роки хворіє на дифтерію гортані, яка проявляється класичними клінічними ознаками з розвитком справжнього крупу. Який вид запалення є характерним для цього захворювання?
Питання 75
До досліджуваного розчину додали 2М розчин HCl. При цьому утворився білий осад, який під час обробки розчином аміаку почорнів . Який катіон присутній у розчині?
Питання 76
Пацієнта шпиталізовано з діагнозом: діабетична гіперглікемічна кома. У нього спостерігається повільне, глибоке, шумне дихання. Яке дихання розвинулося у пацієнта ?
Питання 77
Яким методом титриметричного аналізу проводиться кількісне визначення стрептоциду (сульфаніламіду) розчином КВrОз у присутності КВr?
Питання 78
Укажіть, до якого класу належать продукти конденсації альдегідів із гідроксиламіном.
Питання 79
Як називається лужний гідроліз естерів (складних ефірів)?
Питання 80
Під час морфологічного аналізу квітки встановлено наявність редукованої оцвітини у вигляді двох плівочок - лодикул. Тичинки з довгими тичинковими нитками, у маточці - пірчаста приймочка. Для якої родини характерний цей опис?
Питання 81
При активній м’язовій роботі основним джерелом енергії є анаеробний гліколіз, що призводить до накопичення лактату у м’язах, рівень якого поступово знижується. Під час якого міжорганного циклу згодом відбувається утилізація лактату?
Питання 82
Який гетероцикл має ацидофобні властивості?
Питання 83
Розчин містить аніони органічних кислот. Після додавання розчину ферум (ІІІ) хлориду утворився осад рожево-жовтого кольору. Які аніони присутні в розчині?
Питання 84
Для виділення чистої культури збудника захворювання використано його особливі біологічні властивості: ріст за низьких температур, анаеробний тип дихання, патогенність для лабораторних тварин, ріст на селективних середовищах, у тому числі здатність до «повзучого росту «по поверхні середовища. Культуру якого мікроорганізму очікують виділити?
Питання 85
Зображення до питання
Укажіть положення в молекулі індолу, за яким проходить реакція його нітрування.
Питання 86
Під час аналізу частин рослини виявлено шматки кореневищ. Під час їх мікроскопічного аналізу на зрізі виявлено центроксилемні провідні пучки. Укажіть приналежність зразків.
Питання 87
Лікар призначив пацієнту антиагрегантний засіб, який впливає на утворення тромбоксану в тромбоцитах. Укажіть цей препарат:
Питання 88
Чим зумовлена поява сухого кашлю у пацієнтки, яка довгий час для лікування гіпертонічної хвороби приймала лізиноприл?
Питання 89
На фармацевтичне підприємство надійшла партія рослинної сировини, яка за зовнішніми ознаками має вірусне ураження. Який сучасний метод діагностики доцільно використати з метою специфічного виявлення вірусних нуклеїнових кислот у рослин?
Питання 90
У дитини відзначається підвищена нервова збудливість, спонтанні приступи тетанії, сухість шкіри, ламкість нігтів, волосся, виявлені підшкірні кальцифікати в ділянці вушних раковин. Із недостатністю якого гормону пов'язана поява віщенаведених змін?
Питання 91
Який із нижченаведених катіонів має найбільшу рухливість?
Питання 92
У крові пацієнта виявлено підвищену активність АсАТ, ЛДГ1, ЛДГ2, КФК. У якому органі можливий патологічний процес?
Питання 93
Де у рослин відбувається утворення вторинного запасного крохмалю?
Питання 94
У рослин якого відділу в життєвоважливому циклі гаметофіт домінує над спорофітом?
Питання 95
Пацієнтці віком 34 роки, яка хворіє на бронхіт та має сухий непродуктивний навʼязливий кашель, лікар призначив протикашльовий засіб центральної дії. Укажіть цей препарат.
Питання 96
Вагітній жінці для зниження тонусу матки з метою корекції пологової діяльності вводять фенотерол. Який механізм утеролітичної дії препарату ?
Питання 97
Група туристів пішла на екскурсію у гори. Через дві години після початку походу у частини з них спостерігається тахікардія та задишка, що є свідченням наявності в організмі гіпоксії. Яка гіпоксія є причиною вказаних порушень?
Питання 98
Серед нижченаведених дисперсних систем укажіть ліофільну.
Питання 99
У лабораторії проведено дослідження ґрунту з метою виявлення збудників анаеробної інфекції. Для цих бактерій притаманна властивість утворювати спори. Який метод забарвлення застосовують для виявлення спор?
Питання 100
У пацієнта гастроентерологічного відділення порушене травлення білків і тому спостерігається Активація гниття білків у товстому кишечнику. Яка сполука утворюється у великій кількості за цих умов?
Питання 101
Стафілококи добре ростуть на звичайних середовищах, проте під час виділення чистих культур від пацієнтів посів роблять на кров'яний та жовтково-сольовий агар. Із якою метою використовують ці середовища?
Питання 102
Оберіть протипротозойний препарат з антихелікобактерною активністю.
Питання 103
Який метод застосовують для кількісного визначення лікарських речовин з основними властивостями?
Питання 104
У стоматологічній практиці використовуються рідкі лікарські форми, що містять камфору та хлоралгідрат. Які фази перебувають у рівновазі в точці евтектики в таких лікарських формах?
Питання 105
У яких координатах будуть градуювальний графік для кількісного визначення солей міді фотометричним методом?
Питання 106
Для визначення типу ботулінічного токсину на мишах проводять реакцію нейтралізації токсину антитоксином. Як називається цей метод дослідження?
Питання 107
Після посіву на асцитичний агар матеріалу з уретри (гною), на ньому виросли прозорі круглі колонії. Під час їх мікроскопічного дослідження виявлено грамнегативні бобовидні диплококи. Який збудник виявлено під час дослідження?
Питання 108
В електрохімічних методах аналізу для визначення фармпрепаратів застосовують різноманітні електроди. Потенціал якого електрода залежить від концентрації іона, що визначається?
Питання 109
Зображення до питання
Яка з нижченаведених сполук є амфотерною?
Питання 110
Після парентерального введення препаратів заліза у пацієнта спостерігаються почервоніння обличчя, шиї та біль за грудниною. Який лікарський препарат необхідно ввести?
Питання 111
За умов тривалої інтоксикації визначено суттєве зниження активності аміноацил-тРНК-синтетаз. Який метаболічний процес порушений у цьому разі?
Питання 112
У крові пацієнта виявлено мегалобласти та високий колірний показник. Встановлено діагноз: мегалобластна анемія. Який препарат необхідно йому призначити.
Питання 113
Пацієнту, який хворіє на епілепсію, призначено натрію вальпроат. Який механізм дії цього препарату?
Питання 114
Яким правилом описується коагуляція золів під дією електролітів?
Питання 115
У листках досліджуванної рослини по центру проходить чітко виражена головна жилка, від якої рівномірно відходять бічні жилки. Укажіть такий вид жилкування.
Питання 116
У пацієнта віком 65 років діагностовано аденому простати. Який адреноблокатор необхідно йому призначити?
Питання 117
У пацієнта, який хворіє на туберкульоз, після тривалого лікування антибіотиком знизився слух. Який препарат викликав ототоксичну дію?
Питання 118
Хроматографічні методи класифікують за механізмом процесу розділення. До якого типу хроматографії належить метод газорідинної хроматографії?
Питання 119
Пацієнта шпиталізовано з ознаками асциту. Для посилення діуретичної дії гідрохлортіазиду лікар призначив Спіронолактон. Який ефект, окрім сечогінного, має цей препарат?
Питання 120
Жінку, яка працює на підприємстві з виготевлення фенілгідразина, шпиталізовано до лікарні зі скаргами на загальну слабкість, головокружіння, сонливість. Під час лабораторного аналізу крові виявлено ознаки анемії з високим ретикулоцитозом, анізо- та пойкілоцитозом, наявністю поодиноких нормоцитів. Який вид анемії у пацієнткі?
Питання 121
Які з нижченаведених речовин є медіаторами гіперчутливості сповільненого типу?
Питання 122
Який із нижченаведених розчинів має найбільший осмотичний тиск за температури 298 К?
Питання 123
Для якої рослини, що входить до складу грудного збору, характерні прикореневі довгочерешкові широкояйцевидні листки: знизу – білі, опушені, зверху – темнозелені,голі, блискучі?
Питання 124
Укажіть, що використовують як зовнішній індикатор для фіксування кінцевої точки титрування в методі нітритометрії.
Питання 125
Первинні та вторинні нітроалкани є таутомерними сполуками. Яка таутомерія характерна для цих сполук?
Питання 126
У хіміко-аналітичній лабораторії проводять ідентифікацію катіонів нікелю за допомогою реакції з диметил-гліоксимом. Укажіть колір осаду, що утворився.
Питання 127
Для профілактики кашлюка, дифтерії, правця дітям вводять вакцину АКДП. Як називається вакцина, якщо до неї входять мікроорганізми одного із збудників і анатоксини інших?
Питання 128
Протипаркінсонічні засоби класифікують за принципом дії на організм. Який препарат належить до попередників дофаміну?
Питання 129
Які емульсії стабілізуються емульгаторами, якщо розчинність емульгаторів більша у воді, ніж в олії?
Питання 130
Поверхнева активність дифільних молекул описується правилом Траубе-Дюкло. Як зміниться поверхнева активність жирних кислот у зоні низьких концентрацій, якщо довжина вуглеводного радикала зросте на три групи - СН2-?
Питання 131
Розщеплення крохмалю в організмі є каталітичним процесом, який відбувається за допомогою амілази. До якого типу належить цей тип каталізу?
Питання 132
Під час вивчення анатомічної будови кореневища виявлено центроксилемні судинно-волокнисті пучки. До якого відділу належить ця рослина ?
Питання 133
На початку бактеріологічного дослідження проведено мікроскопію досліджуваного матеріалу та виявлено грампозитвні коки, розташовані у вигляді скупчень, що нагадують грона винограду. Далі матеріал посіяно на щільне поживне середовище. Укажіть мету проведених дій.
Питання 134
Перетворення проферменту на активний фермент може відбуватися різними шляхами. Назвіть тип активації, поширений в шлунково-кишковому тракті.
Питання 135
Як називаються поодинокі видовжені кристали із загостреними кінцями, які можна виявити під час мікроскопічного аналізу лікарської сировини однодольної рослини?
Питання 136
Пацієнту, який хворіє на гіпертонічну хворобу, призначено лікарський засіб, що чинить антиангінальну гіпотензивну та антиаритмічну дію. Укажіть цей препарат.
Питання 137
Пацієнту віком 45 років, який хворіє на ревматоїдний артрит, призначили глюкокортикоїд. Укажіть цей препарат.
Питання 138
Матеріал, взятий у пацієнта, хворого на дизентерію, доставлено до бактеріологічної лабораторії. Яку серологічну реакцію потрібно застосувати для індефікації виділеної чистої культури бактерій?
Питання 139
До розчину катіонів пʼятої аналітичної групи додали аміачний буфер і розчин 8-оксихіноліну. Утворився осад жовто-зеленого кольору. Якому катіону відповідає ця якісна реакція?
Питання 140
Завдяки антиагрегатному ефекту ацетилсаліцилова кислота застосовується в лікуванні захворювань серцево-судинної системи. Який механізм лежить в основі цього ефекту?
Питання 141
У дитячому садочку зареєстровано спалах гострої кишкової інфекції. Працівниками епідеміологічної лабораторії проведено обстеження змивів з рук працівників харчоблоку. Які мікроорганізми у змивах з рук можуть свідчити про їх фекальне забруднення?
Питання 142
Який розчин використовують для стандартизації розчину титранту аргентум(І) нітрату в методі Мора?
Питання 143
Для вивчення санітарно-мікробіологічного стану води в лабораторних умовах визначено найменший Об’єм води, у якому виявляються бактерії групи кишкової палички не менше якого з нижченаведених показників повинен бути цей показник згідно із ДСТУ?
Питання 144
Аскорутин застосовують у разі кровоточивості ясен і точкових крововиливів. Який вітамін входить до складу цього препарату?
Питання 145
До досліджуваного лужного розчину катіонів ІV аналітичної групи додали розчин дитизону. Утворилася сполука, яка забарвлює не тільки органічну, але і водну фазу в червоний колір. На присутність якого катіону вказує цей аналітичний ефект?
Питання 146
Одногніздий однонасінний плід має оплодень, у якому виділяється екзокарпій, соковитий мезокарпій та здерев’янілий ендокарпій. Для якої рослини він характерний?
Питання 147
У пацієнта з жовтяницею у крові спостерігається підвищений вміст прямого білірубіну, холалемія, у сечі не виявлено стеркобіліногену. Яке порушення спостерігається в цьому разі?
Питання 148
При гіпертонічному кризі пацієнту ввели магнію сульфат, у результаті чого настало різке зниження артеріального тиску. Введенням якого препарату можна усунути побічні дії магнію сульфату?
Питання 149
Під час аналізу седативного збору виявлено жовто-зелені супліддя – «шишечки», утворені черепичасто розташованими приквітковими плодиками. Для якої рослини характерні такі ознаки?