MDstuds

2024 - Основна сесія 2 день

2024 - Основна сесія 2 день
Питань: 150
150:00
Питання 1 з 150
Питання 1
Від якого показника залежить коагулююча здатність електроліту?
Питання 2
Який із нижченаведених розчинів має найбільший Осмотичний тиск за температури 298 К?
Питання 3
Який медичний засіб застосовується для лікування герпетичної інфекції?
Питання 4
Серед нижченаведених дисперсних систем укажіть ліофільну.
Питання 5
У пацієнта віком 65 років діагностовано аденому простати. Який адреноблокатор необхідно йому призначити?
Питання 6
Зображення до питання
За допомогою якого реагенту можна відрізнити нижченаведену пару сполук?
Питання 7
Під час якого процесу ентропія системи зменшується?
Питання 8
Пацієнту, який хворіє на епілепсію, призначено натрію вальпроат. Який механізм дії цього препарату?
Питання 9
У пацієнта після 5-ти місячного лікування туберкульозу виник неврит лицевого нерва. Який препарат спричинив цю побічну дію?
Питання 10
Пацієнт віком 23 роки хворіє на дифтерію гортані, яка проявляється класичними клінічними ознаками з розвитком справжнього крупу. Який вид запалення є характерним для цього захворювання?
Питання 11
Зображення до питання
За яким механізмом відбувається реакція хлорування метану згідно з нижченаведеним рівнянням?
Питання 12
На фармацевтичне підприємство надійшла партія рослинної сировини, яка за зовнішніми ознаками має вірусне ураження. Який сучасний метод діагностики доцільно використати з метою специфічного виявлення вірусних нуклеїнових кислот у рослин?
Питання 13
Які з нижченаведених речовин є медіаторами гіперчутливості сповільненого типу?
Питання 14
Зображення до питання
Укажіть положення в молекулі індолу, за яким проходить реакція його нітрування.
Питання 15
Після парентерального введення препаратів заліза у пацієнта спостерігаються почервоніння обличчя, шиї та біль за грудиною. Який лікарський препарат необхідно ввести?
Питання 16
Який титрант використовують у броматометричному методі титрування?
Питання 17
До реанімаційного відділення шпиталізовано чоловіка, який потрапив у ДТП. Об’єктивно встановлено: потерпілий непритомний, АТ – 90/60 мм рт ст., у крові високий вміст креатиніну та сечовини, добовий діурез – 20 мл. Укажіть характеристику добового діурезу пацієнта.
Питання 18
Пацієнтка віком 30 років скаржиться на часті носові кровотечі. Об’єктивно спостерігається: блідість шкірних покровів, дистрофічні зміни з боку нігтів, сухе посічене волосся. У загальному аналізі крові виявлено: еритроцити – 2,9 × 10^12/л, Hb – 70 г/л, КП – 0,5, Сироваткове залізо – 5 мкм/л, лейкоцити – 6×10^9 /л, присутні Анулоцити, пойкілоцитоз, мікроцитоз. Яка анемія спостерігається в пацієнтки?
Питання 19
У пацієнта, який хворіє на туберкульоз, після тривалого лікування антибіотиком знизився слух. Який препарат викликав ототоксичну дію?
Питання 20
Яким методом здійснюють кількісне визначення вісмуту в препараті?
Питання 21
Розчин містить аніони органічних кислот. Після додавання розчину ферум (ІІІ) хлориду утворився осад рожево-жовтого кольору. Які аніони присутні в розчині?
Питання 22
Через тривале застосування фенобарбіталу в пацієнта, який хворіє на епілепсію, розвинулася Толерантність до цього препарату. Що лежить в основі розвитку толерантності?
Питання 23
В аптеці вирішили провести контроль якості стерилізації інструментарію в автоклаві за допомогою біологічного методу. Які мікроорганізми найдоцільніше використовувати?
Питання 24
До якого виду фармакотерапії належить застосування антибіотиків у разі інфекційних захворювань?
Питання 25
Хроматографічні методи класифікують за механізмом процесу розділення. До якого типу Хроматографії належить метод газо-рідинної хроматографії?
Питання 26
Яка з нижченаведених сполук є основою органічних барвників і належить до класу ізольованих багатоядерних аренів?
Питання 27
У крові пацієнта виявлено підвищену активність АсАТ, ЛДГ1, ЛДГ2, КФК. У якому органі можливий патологічний процес?
Питання 28
Одногніздий однонасінний плід має оплодень, у якому виділяється екзокарпій, соковитий мезокарпій та здерев’янілий ендокарпій. Для якої рослини він характерний?
Питання 29
Однією з біологічних функцій, яку проявляють глікопротеїни в організмі, є регуляторна (гормональна) функція. Який із нижченаведених гормонів за своєю хімічною природою належить до глікопротеїнів?
Питання 30
У пацієнта гастроентерологічного відділення порушене травлення білків і тому спостерігається Активація гниття білків у товстому кишечнику. Яка сполука утворюється у великій кількості за цих умов?
Питання 31
Зображення до питання
Укажіть положення в молекулі піразолу, за яким проходять реакції електрофільного заміщення.
Питання 32
До розчину, що досліджується, додали хлоридну кислоту (HCl). Осад, що випав, відфільтрували та обробили на фільтрі гарячою водою, а після охолодження до фільтру додали розчин КІ. Який катіон присутній у розчині, якщо отриманий осад мав жовтий колір?
Питання 33
У березні в дитячому садку приготували салат зі свіжої капусти, що зберігалася в холодному приміщенні. За декілька годин виявили, що в багатьох дітей з’явилися ознаки харчового отруєння. Які мікроорганізми, враховуючи умови їх розмноження, імовірно, його спричинили?
Питання 34
При гіпертонічному кризі пацієнту ввели магнію сульфат, у результаті чого настало різке зниження артеріального тиску. Введенням якого препарату можна усунути побічні дії магнію сульфату?
Питання 35
У пацієнта внаслідок отруєння ціанідами відбулася блокада ферменту цитохромоксидази. Який вид гіпоксії розвивається в цьому разі?
Питання 36
Листок має 5-7 однакових жилок, які багаторазово розгалужуються. Яке жилкування листка спостерігається в цьому разі?
Питання 37
Для визнання первинних ароматичних амінів використовують нітритометрію. Який індикатор застосовується під час цього визначення?
Питання 38
Під час мікроскопічного дослідження листка світлолюбної рослини виявлено, що під епідермою розташовано декілька щільних шарів видовжені хлорофілоносних клітин, які орієнтовані перпендикулярно до поверхні листка. Яка це паренхіма?
Питання 39
Яким правилом описується коагуляція золів під дією електролітів?
Питання 40
Що відіграє головну роль в утворенні бічних коренів?
Питання 41
За умов тривалої інтоксикації визначено суттєве зниження активності аміноацил-тРНК-синтетаз. Який метаболічний процес порушений у цьому разі?
Питання 42
Пацієнт, який хворіє на виразкову хворобу дванадцятипалої кишки, приймав препарат із групи блокаторів Н2-гістамінових рецепторів. Який із нижченаведених препаратів належить до цієї групи?
Питання 43
Під час вивчення анатомічної будови кореневища виявлено центроксилемні судинно-волокнисті пучки. До якого відділу належить ця рослина?
Питання 44
Зображення до питання
Яка з нижченаведених реакцій доводить, що фенол проявляє кислотні властивості?
Питання 45
Яку пару електродів використовують для потенціометричного окисновідновного титрування?
Питання 46
Який із нижченаведених катіонів має найбільшу рухливість?
Питання 47
У рослин якого відділу в життєвоважливому циклі гаметофіт домінує над спорофітом?
Питання 48
У листках бегонії виявлено кам’янисті клітини, що мають форму гантелей або трубчастих кісток. До яких із нижченаведених клітин вони належать?
Питання 49
Яким методом здійснюють кількісне визначення аміаку?
Питання 50
Поверхнева активність дифільних молекул описується правилом Траубе-Дюкло. Як зміниться поверхнева активність жирних кислот у зоні низьких концентрацій, якщо довжина вуглеводного радикала зросте на три групи - СН2-?
Питання 51
Зображення до питання
Ацетилсаліцилова кислота утворюється в результаті нижченаведеної реакції. До якого типу реакцій вона належить?
Питання 52
Для зупинки післяпологової кровотечі використано інгібітор фібринолізу. Укажіть цей лікарський засіб.
Питання 53
Пацієнту для лікування опіків призначено 2%-ий розчин антисептика, який, взаємодіючи із тканинами, утворює діоксид марганцю, має в’яжучу та протизапальну дію. Укажіть цей препарат.
Питання 54
Який метод визначення молекулярної маси ВМР є фармакопейним?
Питання 55
Як називаються поодинокі видовжені кристали із загостреними кінцями, які можна виявити під час мікроскопічного аналізу лікарської сировини однодольної рослини?
Питання 56
Під час дослідження харкотиння пацієнта з підозрою на пневмонію у препараті виявлено ланцетоподібні коки синьо-фіолетового кольору, розташовані парами, мають капсулу. Який метод вабарвлення застосовано для виявлення капсули?
Питання 57
До якої групи належить рослина, якщо епідерма одних досліджених листків має товсту кутикулу та віск на поверхні, а інших – луски або численні трихоми, продихів мало?
Питання 58
Іони металів у крові транспортуються в комплексі з білками. Який білок крові містить у своєму складі купрум?
Питання 59
Для якої рослини, що входить до складу грудного збору, характерні прикореневі довгочерешкові широкояйцевидні листки: знизу – білі, опушені, зверху – темнозелені,голі, блискучі?
Питання 60
У дитини відзначається підвищена нервова збудливість, спонтанні приступи тетанії, сухість шкіри, ламкість нігтів, волосся, виявлені підшкірні кальцифікати в ділянці вушних раковин. Із недостатністю якого гормону пов’язана поява вищенаведених змін?
Питання 61
Після тотальної резекції шлунка в пацієнта розвинулася тяжка В12-дефіцитна анемія з порушенням кровотворення і появою у крові змінених еритроцитів. Наявність у крові яких із нижченаведених форм еритроцитів свідчить про це захворювання у пацієнта?
Питання 62
Який побічний ефект характерний для Каптоприлу?
Питання 63
Який індикатор використовується під час титрування розчину калію йодиду за допомогою розчину срібла нітрату (пряме титрування)?
Питання 64
Пацієнта віком 50 років шпиталізовано у тяжкому стані. Об’єктивно спостерігається: шкіра та видимі слизові оболонки ціанотичні, сатурація артеріальної крові – 88%, АТ – 90/60 мм рт ст, пульс – 177 уд/хв, частота дихання – 22/хв. Із анамнезу відомо, що пацієнт хворіє на хронічну серцеву недостатність. Який із нижченаведених типів гіпоксії найімовірніше розвивається у цьому разі?
Питання 65
Завдяки антиагрегатному ефекту ацетилсаліцилова кислота застосовується в лікуванні захворювань серцево-судинної системи. Який механізм лежить в основі цього ефекту?
Питання 66
У яких координатах будують ізотерми мономолекулярної адсорбції?
Питання 67
Зображення до питання
Серед нижченаведених речовин укажіть сполуку, що не дає позитивної йодоформної проби.
Питання 68
Реакції фосфорилювання в клітині каталізуються ферментами, які мають тривіальну назву «кінази». До якого класу ферментів вони належать?
Питання 69
Як в аналітичному аналізі називається прийом зв’язування сторонніх іонів?
Питання 70
Під час аналізу седативного збору виявлено жовто-зелені супліддя – «шишечки», утворені черепичасто розташованими приквітковими плодиками. Для якої рослини характерні такі ознаки?
Питання 71
Який титриметричний метод аналізу застосовують для кількісного визначення хлориду Кальцію?
Питання 72
Люди з альбінізмом погано переносять дію сонця: засмага не розвивається, а опіки з’являються дуже легко. Порушення синтезу якої речовини лежить в основі цього явища?
Питання 73
Пацієнту, який хворіє на гіпертонічну хворобу, призначено лікарський засіб, що чинить антиангінальну гіпотензивну та антиаритмічну дію. Укажіть цей препарат.
Питання 74
Під час мікробіологічного дослідження висушених лікарських рослин виявлено, що вони забруднені клостридіями. Яка з нижченаведених властивостей характеризує цю групу мікроорганізмів?
Питання 75
Укажіть, до якого класу належать продукти конденсації альдегідів із гідроксиламіном.
Питання 76
У якому середовищі треба проводити визначення галогенід-іонів аргентометричного згідно з методом Фольгарда?
Питання 77
Зображення до питання
Під дією якого реагенту метиламонію хлорид перетвориться на метиламін?
Питання 78
До досліджуваного розчину додали 2М розчин HCl. При цьому утворився білий осад, що при нагріванні розчинився. Який катіон присутній у розчині?
Питання 79
Який розчин використовують для стандартизації розчину титранту аргентум(І) нітрату в методі Мора?
Питання 80
Який індикатор використовують під час проведення титриметричного визначення речовин методом меркуриметричного титрування?
Питання 81
Рослинні жирні кислоти містять непарну кількість атомів вуглецю. Який продукт утворюється внаслідок б-окиснення жирних кислот із непарним числом вуглецевих атомів?
Питання 82
Який із нижченаведених дисахаридів є відновлювальним?
Питання 83
Який препарат із групи антихолінестеразних засобів використовується у пацієнтів у післяопераційний період із метою стимуляції перистальтики кишечника?
Питання 84
У жінки віком 71 рік, яка хворіє на холецистит, виникла механічна жовтяниця. Який вид аритмії розвинеться у цьому разі?
Питання 85
Під час морфологічного аналізу квітки встановлено наявність редукованої оцвітини у вигляді двох плівочок – лодикул. Тичинки з довгими тичинковими нитками, у маточці – пірчаста приймочка. Для якої родини характерний цей опис?
Питання 86
Одним з електрохімічних методів аналізу є полярографія. За яким показником ідентифікується досліджувана речовина під час полярографічного аналізу?
Питання 87
У фармації для вилучення БАР із рослинної сировини застосовують екстракцію. Який закон лежить в основі цього процесу?
Питання 88
Одним із вторинних пірогенів при гарячці є інтерлейкін-1. Які клітини є головними продуцентами цього пірогену?
Питання 89
. Хто є автором (авторами) правила: «На поверхні кристалічної речовини переважно адсорбуються іони, які входять до складу кристалічної ґратки або є ізоморфними з ними, утворюючи при цьому з іонами кристалу важкорозчинну сполуку»?
Питання 90
Дією якого реагенту можна відрізнити етанол (С2Н5ОН) від гліцерину ( CH2OH – CHOH - CH2OH)?
Питання 91
У чоловіка віком 65 років виникла атріо-вентрикулярна блокада ІІІ ступеня з нестабільною гемодинамікою. Який лікарський засіб потрібно призначити пацієнту?
Питання 92
Амінокислоти беруть участь у реакціях метилювання під час синтезу ряду біологічно активних речовин – адреналіну, мелатоніну, фосфатидилхоліну, креатину. Активна форма якої амінокислоти використовується для синтезу цих сполук?
Питання 93
Для виділення чистої культури збудника захворювання використано його особливі біологічні властивості: ріст за низьких температур, анаеробний тип дихання, патогенність для лабораторних тварин, ріст на селективних середовищах, у тому числі здатність до «повзучого росту «по поверхні середовища. Культуру якого мікроорганізму очікують виділити?
Питання 94
Для лікування подагри використовується алопуринол. Який механізм дії цього лікарського засобу?
Питання 95
Стафілококи добре ростуть на звичайних середовищах, проте під час виділення чистих культур від пацієнтів посів роблять на кров’яний та жовтково-сольовий агар. Із якою метою використовують ці середовища?
Питання 96
Лікар призначив пацієнту Метопролол, який допоміг знизити його артеріальний тиск. До якої фармакологічної групи належить цей лікарський засіб?
Питання 97
На плантації лікарських рослин розповсюдилась інфекція, викликана фітопатогенними мікоплазмами. Яка властивість характеризує цю групу мікроорганізмів?
Питання 98
Який із нижченаведених факторів зумовить збільшення клубочкової фільтрації в нирках?
Питання 99
При активній м’язовій роботі основним джерелом енергії є анаеробний гліколіз, що призводить до накопичення лактату у м’язах, рівень якого поступово знижується. Під час якого міжорганного циклу згодом відбувається утилізація лактату?
Питання 100
Під час мікроскопічного дослідження препарату, виготовленого зі збільшеною пахвинного лімфовузла пацієнта та зафарбованого за Леффлером (метиленовим синім), виявлено бактерії овоїдної форми, інтенсивніше забарвлені на полюсах, розташовані хаотично. Якому з нижченаведених мікроорганізмів притаманні ці властивості?
Питання 101
У пацієнта з жовтяницею у крові спостерігається підвищений вміст прямого білірубіну, холалемія, у сечі не виявлено стеркобіліногену. Яке порушення спостерігається в цьому разі?
Питання 102
Вагітній жінці для зниження тонусу матки щ метою корекції пологової діяльності вводять фенотерол. Який механізм утеролітичної дії препарату?
Питання 103
За допомогою якого ферменту здійснюється синтез різних генів із матричних РНК на ДНК у геній інженерії (цей фермент каталізує процес, відкритий у РНК-вмісних вірусів)?
Питання 104
За якої умови процес солюбілізації є можливим?
Питання 105
Яку реакцію використовують для одержання бутану СН3-СН2-СН2-СН3 із хлоретану СН3-Сн2-Cl?
Питання 106
Пацієнта шпиталізовано з діагнозом: малярія. Який механізм передачі інфекції характерний для цього захворювання?
Питання 107
До аптечної мережі надійшов сучасний препарат, який Інгібує фермент ГМГ-КоА-редуктазу та зменшує синтез холестерину. Укажіть цей препарат.
Питання 108
Пацієнт, який хворіє на гіпертонічну хворобу, за призначенням лікаря приймав петльові діуретики. Які порушення водно-сольового обміну можуть виникнути в цьому разі?
Питання 109
Хімік-аналітик проводить якісний аналіз фосфат-іонів за допомогою фармакопейної реакції, внаслідок якої утворився жовтий осад. Який реактив використав спеціаліст?
Питання 110
Обчислення температури фазових перетворень за різного тиску має важливе практичне значення для сучасного фармацевтичного виробництва. За яким принципом здійснюється це обчислення?
Питання 111
Під час вживання гриба бліда поганка, у складі якого є отрута а-аманітин, відбувається отруєння організму людини. Який фермент інгібується цією отрутою?
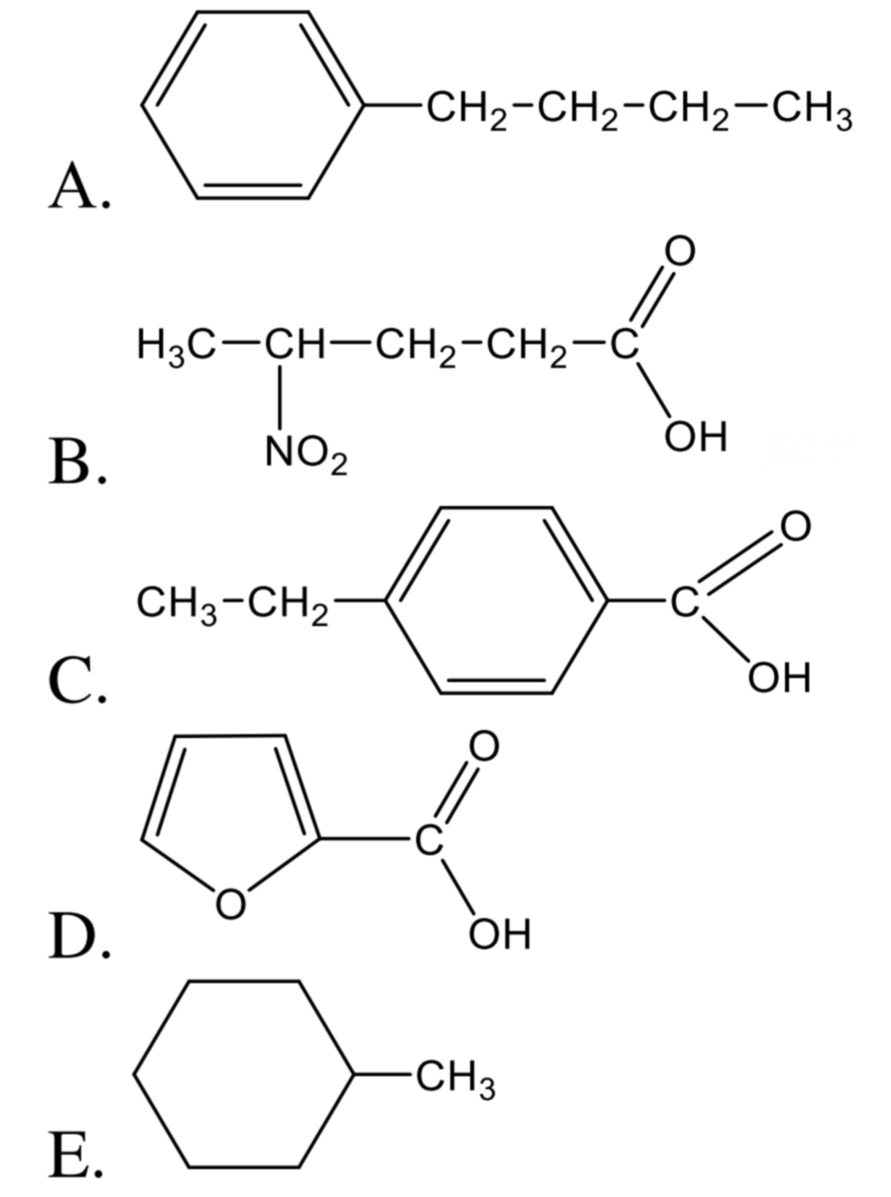
Питання 112
Зображення до питання
Яка з наведених нижче сполук належить до аліфатичних?
Питання 113
Наявність ферментів агресії притаманна патогенним мікроорганізмам. Укажіть серед нижченаведених фермент агресії.
Питання 114
Зображення до питання
Укажіть реагент, що вступає в реакцію з аміногрупою п-амінобензойної кислоти?
Питання 115
Розчин йоду приготували за методом встановленого титру. Які первинні стандарти можна використовувати для стандартизації?
Питання 116
Зображення до питання
Яка сполука утвориться в результаті окиснення 3-метилпіридину за нижченаведеною схемою?
Питання 117
На початку бактеріологічного дослідження проведено мікроскопію досліджуваного матеріалу та виявлено грампозитвні коки, розташовані у вигляді скупчень, що нагадують грона винограду. Далі матеріал посіяно на щільне поживне середовище. Укажіть мету проведених дій.
Питання 118
У пацієнта в місці запалення шкіри утворився келоїдний рубець. Із порушенням нормального перебігу якої стадії запалення пов’язаний цей стан?
Питання 119
Зображення до питання
Яка з нижченаведених сполук є амфотерною?
Питання 120
У пацієнта з харчовою токсикоінфекцією, що супроводжується діареєю та багаторазовою блювотою, розвинулося зневоднення організму. Укажіть, який вид порушення загального об’єму крові спостерігається в цьому разі.
Питання 121
У крові пацієнта виявлено мегалобласти та високий колірний показник. Встановлено діагноз: мегалобластна анемія. Який препарат необхідно йому призначити.
Питання 122
Трав’яниста рослина має прямостійкі стебла, що галузяться у верхній частині, листки і квітки пронизані темними вмістищами, суцвіття – верхівкові щитоподібні з жовтими квітками, плід – тригранна коробочка. Для якої рослини характерні такі ознаки?
Питання 123
Розщеплення крохмалю в організмі є каталітичним процесом, який відбувається за допомогою амілази. До якого типу належить цей тип каталізу?
Питання 124
За яким механізмом відбувається приєднання Br2 до пропену?
Питання 125
Шкарлупа горіхів, кісточки вишні, деревина є твердими завдяки відкладанню у клітинній оболонці певної речовини. Укажіть цю речовину.
Питання 126
Випорожнення пацієнта з підозрою на шигельоз засіяно на середовище Плоскірєва. Якого кольору будуть колонії збудника дизентерії на цьому середовищі?
Питання 127
Пацієнта шпиталізовано з ознаками асциту. Для посилення діуретичної дії гідрохлортіазиду лікар призначив Спіронолактон. Який ефект, окрім сечогінного, має цей препарат?
Питання 128
Важливим субстратом глюконеогенезу в печінці є аланін. Як називається реакція, у процесі якої аланін утворюється в скелетних м’язах з пірувату?
Питання 129
Що входить до складу атенуйованих вакцин?
Питання 130
Первинні та вторинні нітроалкани є таутомерними сполуками. Яка таутомерія характерна для цих сполук?
Питання 131
У разі отруєння чадним газом у людини пригнічується тканинне дихання. Активність якого ферменту дихального ланцюга різко знижується за таких умов?
Питання 132
У сучасній лабораторній діагностиці широко застосовується полімеразна ланцюгова реакція – ПЛР. Що виявляють за допомогою цієї реакції?
Питання 133
До досліджуваного розчину додали розчин калію хромату. Випав осад жовтого кольору, який розчиняється в оцтовій кислоті. Про присутність яких катіонів свідчить ця якісна реакція?
Питання 134
Як називається процес, під час якого відбувається хімічна взаємодія між молекулами адсорбату й активними центрами адсорбенту?
Питання 135
До досліджуваного лужного розчину катіонів ІV аналітичної групи додали розчин дитизону. Утворилася сполука, яка забарвлює не тільки органічну, але і водну фазу в червоний колір. На присутність якого катіону вказує цей аналітичний ефект?
Питання 136
У дитини з розумовою відсталістю діагностовано кретинізм. Дефіцит яких гормонів є головним у розвитку порушення функції нервової системи у раз цього захворювання?
Питання 137
Окремі клітини листка мають здерев’янілі оболонки. Які це клітини?
Питання 138
Чим зумовлена поява сухого кашлю у пацієнтки, яка довгий час для лікування гіпертонічної хвороби приймала лізиноприл?
Питання 139
Зображення до питання
Яка сполука утворюється під час повного гідрування нафталіну?
Питання 140
Під час голодування активується глюконеогенез. Який вітамін бере участь у процесі карбоксилювання піровиноградної кислоти?
Питання 141
Якого кольору набуває розчин, що утворився внаслідок взаємодії саліцилат-іонів з іонами Fe3+ у кислому середовищі?
Питання 142
Унаслідок тривалого прийому сульфаніламідних, препаратів у пацієнта розвинулася анемія, лейкопенія та тромбоцитопенія. Який механізм розвитку вищенаведених порушень?
Питання 143
Як називається процес самочинного злиття краплинок дисперсної фази в емульсіях, що призводить до розшарування цієї системи?
Питання 144
До якої родини належать рослини, що мають коренеплоди, ребристі порожнисті стебла, суцвіття, у вигляді складного зонтика та схизокарпні плоди-вислоплідники з ефіроолійними канальцями?
Питання 145
У лабораторії проведено дослідження ґрунту з метою виявлення збудників анаеробної інфекції. Для цих бактерій притаманна властивість утворювати спори. Який метод забарвлення застосовують для виявлення спор?
Питання 146
Протипухлинний засіб 5-фторурацил блокує фермент, що приєднує метильну групу до дУМФ. Яка саме реакція гальмується при використанні цього лікарського засобу?
Питання 147
До якого типу дисперсних систем належать піни?
Питання 148
Розпад гемоглобіну супроводжується утворенням жовчних пігментів. Який пігмент утворюється в реакції окиснення гему?
Питання 149
Зображення до питання
Серед наведених сполук виберіть формулу хіноліну
Питання 150
Для вивчення санітарно-мікробіологічного стану води в лабораторних умовах визначено найменший Об’єм води, у якому виявляються бактерії групи кишкової палички не менше якого з нижченаведених показників повинен бути цей показник згідно із ДСТУ?